油气田开发

深部煤岩气产出过程碳同位素分馏与吸附气/游离气产出规律

  • 端祥刚 , 1, 2 ,
  • 李文镖 , 3 ,
  • 胡志明 1, 2 ,
  • 王峻 4 ,
  • 赵群 1, 2 ,
  • 夏勇辉 5 ,
  • 马占荣 5 ,
  • 许莹莹 1, 2 ,
  • 孙明岩 1, 2
展开
  • 1 中国石油勘探开发研究院,北京 100083
  • 2 中国石油煤岩气重点实验室,北京 100083
  • 3 东北石油大学三亚海洋油气研究院,海南三亚 572025
  • 4 中国石油大学(华东)地球科学与技术学院,山东青岛 266580
  • 5 中国石油长庆油田公司,西安 710018
李文镖(1996-),男,江西上饶人,博士,东北石油大学三亚海洋油气研究院教授,主要从事非常规油气地质与地球化学相关研究。地址:海南省三亚市崖州区崖州湾科技城雅布伦科技产业园2号楼,邮政编码:572024。E-mail:

端祥刚(1987-),男,安徽宿州人,博士,中国石油勘探开发研究院高级工程师,主要从事非常规油气渗流相关研究。地址:北京市海淀区学院路20号,中国石油勘探开发研究院渗流流体力学研究所,邮政编码:100083。E-mail:

Copy editor: 胡苇玮

收稿日期: 2025-06-13

  修回日期: 2025-09-10

  网络出版日期: 2025-09-15

基金资助

国家自然科学基金青年基金(42302170)

中国石油天然气集团有限公司科技创新基金(2022DQ02-0104)

中国石油勘探开发研究院开放课题基金(2024-KFKT-31)

Carbon isotope fractionation and production patterns of adsorbed and free gas during deep coal-rock gas production

  • DUAN Xianggang , 1, 2 ,
  • LI Wenbiao , 3 ,
  • HU Zhiming 1, 2 ,
  • WANG Jun 4 ,
  • ZHAO Qun 1, 2 ,
  • XIA Yonghui 5 ,
  • MA Zhanrong 5 ,
  • XU Yingying 1, 2 ,
  • SUN Mingyan 1, 2
Expand
  • 1 PetroChina Research Institute of Petroleum Exploration & Development, Beijing 100083, China
  • 2 Key Laboratory of Coal-rock Gas, CNPC, Beijing 100083, China
  • 3 Sanya Offshore Oil & Gas Research Institute, Northeast Petroleum University, Sanya 572025, China
  • 4 School of Geosciences, China University of Petroleum (East China), Qingdao 266580, China
  • 5 PetroChina Changqing Oilfield Company, Xi'an 710018, China

Received date: 2025-06-13

  Revised date: 2025-09-10

  Online published: 2025-09-15

摘要

以鄂尔多斯盆地榆林和大吉地区深部煤岩气为研究对象,选取石炭系本溪组不同割理/裂缝发育程度的全直径煤岩样品,开展煤岩气全生命周期衰竭开发物理模拟和同位素监测实验,基于实验结果构建割理/裂缝-基质孔耦合的双重介质同位素分馏模型,并建立游离气产出规律评价方法,揭示深部煤岩气开发过程碳同位素分馏机理及吸附气、游离气产出特征。研究表明:深部煤岩气开发过程中碳同位素存在“稳定(Ⅰ)→变轻(Ⅱ)→变重(Ⅲ)”的3阶段分馏特征,第Ⅲ阶段边界压力的快速降低会导致同位素值出现“快速变轻后继续变重”的波动特征,呈现游离气优先动用、吸附气长期供给的特点;同位素分馏模型能够较好地同时拟合实测气体压力、累产气量和产出气δ13C1值,煤岩样品同位素分馏前两阶段累产气以游离气为主,在压降缓慢的生产中后期通过阶段式逐级控压开采方式能有效提高气体采收程度;吸附气动用主要受控于岩石的吸附能力和次级渗流通道,在生产后期有效提高吸附气的动用程度仍是深部煤岩气保持稳产和提高采收率的关键。

本文引用格式

端祥刚 , 李文镖 , 胡志明 , 王峻 , 赵群 , 夏勇辉 , 马占荣 , 许莹莹 , 孙明岩 . 深部煤岩气产出过程碳同位素分馏与吸附气/游离气产出规律[J]. 石油勘探与开发, 2025 , 52(5) : 1166 -1179 . DOI: 10.11698/PED.20250337

Abstract

Taking deep coal-rock gas in the Yulin and Daning-Jixian areas of the Ordos Basin as the research object, full-diameter coal rock samples with different cleat/fracture development degrees from the Carboniferous Benxi Formation were selected to conduct physical simulation and isotope monitoring experiments of the full-life-cycle depletion development of coal-rock gas. Based on the experimental results, a dual-medium carbon isotope fractionation (CIF) model coupling cleats/fractures and matrix pores was constructed, and an evaluation method for free gas production patterns was established to elucidate the carbon isotope fractionation mechanism and adsorbed/free gas production characteristic during deep coal-rock gas development. The results show that the deep coal-rock gas development process exhibits a three-stage carbon isotope fractionation pattern: “Stable (I) → Decrease (Ⅱ) → Increase (Ⅲ)”. A rapid decline in boundary pressure in stage Ⅲ leads to fluctuations in isotope value, characterized by a “rapid decrease followed by continued increase”, with free gas being produced first and long-term supply of adsorbed gas. The CIF model can effectively match measured gas pressure, cumulative gas production, and δ13C1 value of produced gas. During the first two stages of isotope fractionation, free gas dominated cumulative production. During the mid-late stages of slow depletion production, staged pressure control development method can effectively increase the gas recovery. The production of adsorbed gas is primarily controlled by the rock's adsorption capacity and the presence of secondary flow channels. Effectively enhancing the recovery of adsorbed gas during the late stage remains crucial for maintaining stable production and improving ultimate recovery factor of deep coal-rock gas.

0 引言

近年来,鄂尔多斯、准噶尔等盆地深部煤岩储层中天然气勘探开发取得重大突破,初步估算埋深超过2 000 m的煤岩气地质资源量超过30×1012 m3[1]。2024年,中国石油天然气股份有限公司新投产煤岩气井超百口,年产量突破23×108 m3,较上年增长130%,建成全球首个煤岩气田[2]。煤岩气已成为中国天然气增长及可持续发展的重要战略接替资源[1-3]。与浅部煤层相比,深部煤岩储层具有较高的地应力、地层流体压力和地层温度,使得深部煤岩气具有投产即见气、见气即高产且生产周期长的特点[4-5]。目前深部煤岩气开发参考了页岩气的开发模式,但其储层特征及生产规律与页岩气存在较大差异,对深部煤岩气开发机理的研究整体还处于起步阶段,尤其是对深部煤岩气生产过程中气体产出特征及吸附气、游离气产出比例的认识尚不充分[6-7],在一定程度上制约了生产制度的优化和单井产量的提高。
深部煤岩基质微纳米孔与宏观割理/裂缝均发育,具有双重孔隙结构特征,吸附能力强,吸附气占比65%~90%[8]。与中浅部煤层气相比,深部煤岩气储层保存条件好,游离气含量相对较高,但目前对深部煤岩原始吸附气、游离气量及其比例尚有争议[9-11],对煤岩气产出机理及吸附气、游离气定量评价研究较少。目前业内定量评价吸附气、游离气主要基于物质平衡法和在线核磁共振法[12-14]。物质平衡法通过监测岩心的视平均压力与累产气量的关系,确定产出过程的游离气量,用总产气量减去游离气量得到产出过程的吸附气量[12,15]。核磁共振是一种确定流体赋存状态的重要手段[16],通过横向弛豫时间(T2)谱图可将甲烷气体分为游离气和吸附气。但由于核磁共振的监测时间较长,多用于研究等温吸附实验中特定条件下的平衡状态[17-19],难以对气体产出的动态过程进行实时、连续监测,在煤岩开发过程研究方面的应用也相对较少[13-14]。此外,划分游离气和吸附气的界限(T2截止值)主要通过主观判断,缺少统一标准和理论支撑。
近年来,不同学者通过开展岩心现场解析实验[20-22]、渗流-扩散-解析实验[23-25]、井口气监测[26-29]、数值模拟[30-32]和分子模拟[33]等研究发现甲烷运移过程中存在明显的多阶段同位素分馏,且各阶段的分馏特征与气体产出进程[34-36]、岩石物质组成[23,37 -38]、含气量[21,39-41]和吸附气与游离气比例[32,42 -43]等密切相关。这为利用同位素分馏确定深部煤岩气生产过程中的吸附气、游离气产出比例提供了新的思路。上述研究多聚焦于页岩气和浅部煤层气,对深部煤岩气的探究相对较少,模拟实验也局限于现场解析过程,对模拟气井生产的开发过程关注不足。
本文以鄂尔多斯盆地石炭系本溪组深部煤岩全直径样品为研究对象,开展深部煤岩气井全生命周期衰竭开发物理模拟实验。基于实验结果,构建煤岩裂缝/割理-基质孔耦合的双重介质同位素分馏模型,形成全生命周期的吸附气/游离气产出规律评价方法,明确不同生产时间与控压生产方式下吸附气/游离气产出规律,为深部煤岩气开发技术升级和生产制度优化提供理论支撑。

1 深部煤岩气井全生命周期衰竭开发物理模拟实验

1.1 地质背景与实验样品

实验中1#和2#样品分别取自鄂尔多斯盆地大吉(大宁—吉县)和榆林地区的深部煤岩(见图1a)。1#和2#样品均为本溪组8号煤(见图1b),埋深分别为2 153.45 m和2 585.16 m,沉积背景为澙湖—潮坪相。1#样品的宏观煤岩类型为原生结构的半亮煤,裂缝欠发育;2#样品为原生结构的光亮型煤,发育大致垂直于层理面的两组割理,两组割理垂直或斜交(见图1c)。2块煤岩样品均为直径10 cm的全直径岩心,从岩心照片可以看出,与1#样品相比,2#样品割理/裂缝更为发育。
图1 鄂尔多斯盆地区域概况图(a)、本溪组—山西组地层综合柱状图(b)和实验岩心照片(c)(据文献[44]修改)
1#和2#样品的基础物性参数和工业分析、显微组分分析结果如表1所示。1#样品和2#样品的孔隙度分别为7.07%和9.19%,渗透率分别为0.006 34×10-3 μm2和1.12×10-3 μm2。2#样品的渗透率远高于1#样品,这与在图1c中观察到的2#样品割理/裂缝较为发育相符。1#样品的Ro值为2.61%,属于高阶煤岩,2#样品的Ro值为1.74%,属于中阶煤岩。工业分析结果显示:1#样品的空干基灰分为22.13%,空干基挥发分为7.09%,水分为0.71%,固定碳为70.09%;2#样品的空干基灰分为7.53%,空干基挥发分为13.62%,水分为0.42%,固定碳为78.43%。对于中—高阶煤岩,兰氏体积随着固定碳的增加而增加[45],2#样品的固定碳比1#样品高,表明2#样品相较于1#样品具有更大的吸附气量。1#和2#样品的显微组分都以镜质组为主,其含量分别为84.89%和79.00%;其次为惰质组,含量分别为8.75%和17.40%;壳质组和矿物组含量较低,壳质组含量分别为0%和1.20%,矿物组含量分别为6.36%和2.40%。一般镜质组和惰质组对甲烷的吸附能力要高于壳质组[46],2#样品的镜质组和惰质组含量总和大于1#样品,表明2#样品对甲烷的吸附能力可能高于1#样品。
表1 1#和2#样品的基本物性参数、工业分析结果和显微组分分析结果
样品 井号 井深/m 类型 Ro/% 层位 长度/cm 直径/cm 孔隙度/% 渗透率/10-3 μm2 质量/g 实验压力/MPa
1# DJ5 2 153.45 8号煤 2.61 本溪组 12.28 9.97 7.07 0.006 34 1 528.99 24.09
2# YY2 2 585.16 8号煤 1.74 本溪组 10.51 9.92 9.19 1.120 00 1 076.38 26.08
样品 工业分析 显微组分
水分/% 灰分 挥发分 固定碳/% 镜质组/% 惰质组/% 壳质组/% 矿物组/%
空干基
灰分/%
干燥基
灰分/%
空干基
挥发分/%
干燥基
挥发分/%
干燥无灰基
挥发分/%
1# 0.71 22.13 22.28 7.09 7.14 9.19 70.09 84.89 8.75 0 6.36
2# 0.42 7.53 7.56 13.62 13.68 14.80 78.43 79.00 17.40 1.20 2.40

1.2 实验方法

1.2.1 样品预处理

实验之前,需要对两块全直径样品进行预处理。首先对样品的端面进行线切割,以减小端面与仪器之间的死体积。同时对样品侧面的不平处进行切割与补胶处理,提高样品与仪器之间的密封性。为了防止样品在衰竭开发过程中由于围压的变化沿着裂隙发生破碎,在样品侧面加装了一层热塑套(见图1c)。由于样品中的水分会影响煤岩气的富集和流动[47],在完成补胶和热塑套加装后需要将样品放入105 ℃的烘箱进行烘干。

1.2.2 深部煤岩气井全生命周期衰竭开发模拟

采用自主设计的解吸-扩散-渗流耦合物理模拟实验装置(见图2),实验系统最高压力可达60 MPa。前人室内模拟研究表明,温度对同位素分馏整体规律的影响相对较小[48],为便于与其他多数在室温条件开展的模拟实验结果进行对比分析,本文在25 ℃条件下开展模拟实验。具体实验步骤为:①施加围压。将预处理后的岩心放入全直径岩心夹持器中,打开阀门4,先通过围压泵对岩心施加围压到15 MPa。②甲烷初步饱和。将甲烷气体注入中间容器1,打开阀门1,通过Quizix泵1对中间容器1中的甲烷增压,再打开阀门2和3,关闭阀门5,开始饱和甲烷。③逐渐增压饱和。为避免围压施加过程中有效应力过大导致孔隙闭合,在充入甲烷过程中同步增加围压,使围压与孔隙压力差值始终在15 MPa左右(大吉地区8号煤岩与顶板垂向应力差主体为8~18 MPa[49-50],为了反应实际储层的有效应力情况,本文选取15 MPa作为围压与孔隙压力的差值)。④吸附饱和平衡。饱和甲烷至模拟地层压力(pf)后,采用恒压模式继续饱和5 d以上,然后关闭阀门1和2,观察岩心的出/入口压力,直到压力不再降低,认为充分饱和结束,关闭阀门3,撤掉高压气源,准备开始衰竭开发(1#和2#样品的pf值分别为24.09 MPa和26.08 MPa,1#和2#样品增压饱和分别持续了66 d和23 d)。⑤安装回压阀。通过Quizix泵2对中间容器2的水端加压至phph>pf),同时将岩心夹持器的出口端连接到回压阀顶端,回压阀的出口端连接管线进入水槽,用于计量采集气体。⑥开始衰竭开发。保持围压不变,打开阀门5和7,由于ph>pf,一开始出口端未产出气体,再打开阀门8,降低中间容器2水端压力,当其小于模拟地层压力时,气体开始产出,通过控制阀门8来调整出口端的降压速率。⑦数据监测与样品采集、测试。开发全过程中样品的围压、入口压力和出口压力分别由压力传感器1、2和3连接压力采集系统进行实时连续监测记录,从回压阀出口端产出的气体通过量筒进行连续读数,并定期采用盐水瓶采集气体,进行甲烷碳同位素组成的测试分析。为了减小甲烷在玻璃瓶中储存时由于逸散发生的同位素分馏[51],确保每个气瓶内水的体积占瓶子体积的1/3且一直保持气水倒置,并在采集后的1个月之内完成同位素组成测试。
图2 深部煤岩气井全生命周期衰竭开发物理模拟实验装置示意图

1.2.3 甲烷碳同位素组成测试

产出气的甲烷碳同位素组成(δ13C1)采用稳定同位素比质谱仪和气相色谱仪进行测试分析,仪器的碳同位素组成测量精度为±0.3‰。采用PoraPLOT Q色谱柱(25 m×0.32 mm×10 μm)以氦气为载气(1.5 mL/min)分离气体成分。气相色谱仪烘箱温度最初设置为50 ℃,保持3 min,然后以15 ℃/min的速度升至150 ℃,并保持2 min。

2 实验结果及分析

2.1 压力递减和产气曲线

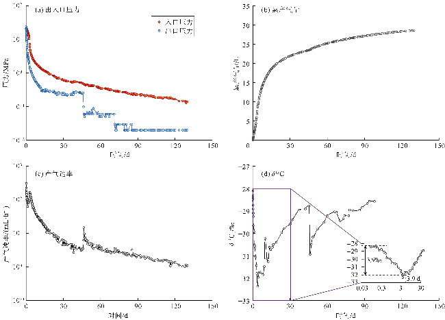
为模拟深部煤岩气衰竭开发模式,1#样品衰竭开发采用了缓慢控压生产方式,出口压力在12.9 d内从24.09 MPa降至0.2 MPa,压降速率为1.85 MPa/d。考虑到回压阀要保持一定的压力,1#样品的出口压力降至0.2 MPa后稳定生产至33 d,然后继续放压式生产。由于样品渗透率较低,入口压力降低的速率远低于出口压力(见图3a)。累产气量和产气速率后期随着出口压力的变化波动较小,截至130 d时,累计产出气量28.63 L,产气速率由306 mL/h降至1.09 mL/h(见图3b图3c)。监测产出气的δ13C1值在生产初期呈现出明显的“稳定→变轻→变重”的现象,变轻→变重拐点处对应的时间为3.9 d,变轻的分馏幅度为3.9‰。当出口压力突然降低时,δ13C1值出现“快速变轻后继续变重”的现象(见图3d)。
图3 1#样品衰竭开发过程中出入口压力、累产气量、产气速率和δ13C1值的时变规律
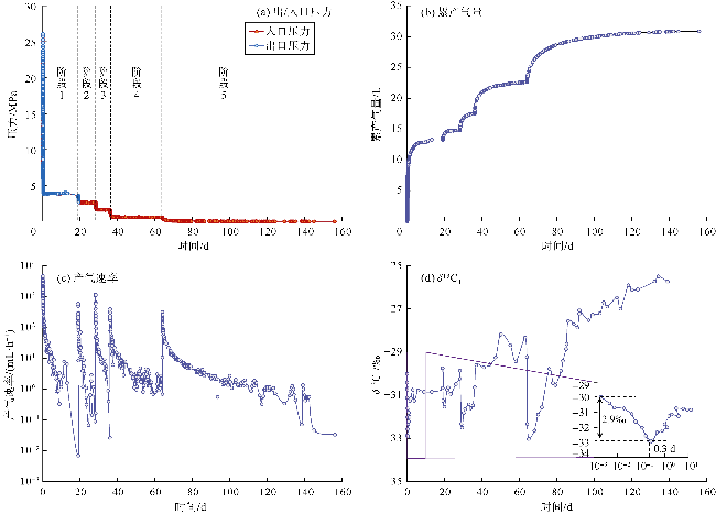
由于2#样品割理/裂缝发育,采用了阶段式逐级控压开采方式:①阶段1为快速降压阶段,出口压力以4 MPa/h的压降速率从初始压力26.08 MPa降低到3.8 MPa(模拟井底压力)之后,以3.8 MPa定压生产;②阶段2降低出口压力至2.5 MPa后定压生产;③阶段3降低出口压力至1.5 MPa后定压生产;④阶段4降低出口压力至0.5 MPa后定压生产;⑤阶段5降低出口压力至大气压后放压生产。由于2#样品的割理/裂缝较为发育、渗透率较高,入口压力和出口压力随着时间增加呈现出几乎相同的下降规律(见图4a)。每个阶段末,随着出口压力的降低,累产气量和产气速率随之增大,截至156 d时,累计产出气量30.84 L,产气速率由4 023.53 mL/h降至0.03 mL/h(见图4b图4c)。产出气的δ13C1值在生产初期(阶段1)呈现出“变轻→变重”的现象,变轻→变重拐点处对应的时间为0.3 d,变轻的分馏幅度为2.9‰;当出口压力突然降低时,δ13C1值重新变轻之后再变重,且每一次降压都会发生“快速变轻后继续变重”的现象,直到生产后期(阶段5)出口压力恒定为大气压时,δ13C1值变轻后呈现持续变重的特征(见图4d)。
图4 2#样品衰竭开发过程中出入口压力、累产气量、产气速率和δ13C1值的时变规律

2.2 煤岩气同位素分馏机理

从实验结果可以看出,在出口压力突变前的生产前期,1#样品和2#样品的同位素分馏过程分别观察到了“稳定→变轻→变重”和“变轻→变重”的现象。前人通过开展页岩样品吸附-解析模拟实验发现页岩完整解析过程中甲烷碳同位素普遍存在“稳定→变轻→变重→再变轻”的4阶段分馏特征[23]。结合本文实验现象,提出深部煤岩气产出过程同位素分馏机理和一般模式:①第Ⅰ阶段,δ13C1值处于波动较小的“稳定”阶段,产出气以割理/裂缝气为主,12CH413CH4高压差下同步运移,不产生明显分馏(见图5a图5d);②第Ⅱ阶段,δ13C1值“变轻”,割理/裂缝气和基质气共同产出,其中基质气以游离气为主,基质气优先补给的是扩散速度较快、吸附能力更弱的12CH4,随着基质气的混入导致δ13C1值开始“变轻”(见图5b图5d);③第Ⅲ阶段,δ13C1值“变重”,产出气以基质孔中的吸附气为主,游离气次之,由于前期12CH4的大量消耗,后期岩心内残余气中13CH4占比增加(含量仍然低于12CH4),使得δ13C1值单调“变重”(见图5c图5d)。1#样品对应模式中的第Ⅰ—Ⅲ阶段,而2#样品主要对应模式中的第Ⅱ阶段和第Ⅲ阶段,原因在于2#样品的渗透率较高,生产初期产出气为割理/裂缝气和基质气的混合气,故直接进入了第Ⅱ阶段。在相同的实验条件下,2#样品变轻的幅度要低于1#样品(2.9‰<3.9‰),这与2#样品割理/裂缝较为发育有关。与前人页岩解析实验[23]不同的是,本文两块煤岩样品均未出现“再变轻”的第Ⅳ阶段,这可能与样品中干酪根固溶气难以脱附有关。
图5 鄂尔多斯盆地深部煤岩气产出过程同位素分馏机理及一般模式(图a—图c中箭头粗细代表阶段贡献率相对大小)
上述同位素分馏现象是在出口压力(或边界条件)未发生突变的情况下得到的。在同位素分馏的第Ⅲ阶段,如果进行突然的降压调产会导致远端基质气快速补给,由于远端基质气相对富集12CH4,因此产出气δ13C1值呈现出“快速变轻后继续变重”的特征(见图6)。实际气井生产过程中关井、试井和重复压裂等措施造成的井底压力突变也会相应引起同位素分馏的变化。例如,2017年Gao等[34]报道了Barnett页岩气井在δ13C1值本应一直变重的第Ⅲ阶段由于产气速率的突变出现了δ13C1值再次变轻的现象。
图6 δ13C1值随出口压力突变的变化特征示意图

2.3 基于物质平衡法计算吸附气/游离气量

根据物质平衡方程,对于不考虑吸附气的封闭气藏,视平均压力随着累产游离气量的增加而线性降低:
$G_{\text {free }}=G_{0}\left(1-\frac{p / Z_{\mathrm{g}}}{p_{0} / Z_{0}}\right)$
(1)式中p/Zg为任意时刻的岩心视平均压力,可以由岩心出、入口压力及气体压缩因子计算得到:
$\frac{p}{Z_{\mathrm{g}}}=\sqrt{\left(\frac{p_{\text {in }} / Z_{\text {in }}}{2}\right)^{2}+\left(\frac{p_{\text {out }} / Z_{\text {out }}}{2}\right)^{2}}$
由于生产初期受岩心端面与管线中死体积气体产出影响,一般采用生产一段时间后累产气量和视平均压力的线性段数据进行产出规律分析。在高压段,随着岩心视平均压力的降低,累产气量与岩心视平均压力呈现出良好的线性关系,该阶段游离气占主导;随着岩心视平均压力继续降低,实测累产气量逐渐偏离拟合线(即物质平衡线),任一压力对应的实测累产气量大于物质平衡线对应的累产气量,说明吸附气开始大量解吸(见图7a图7c)。通过物质平衡线后推可以确定任意时刻的累产游离气量,再用实测总累产气量减去累产游离气量可计算出产出过程中任意时刻累产吸附气量(见图7b图7d)。1#样品生产130 d时,采用物质平衡法计算累产气量为18.72 m3/t,其中游离气量为5.05 m3/t,吸附气量为13.67 m3/t,游离气产量贡献率为27.0%;2#样品生产156 d时,累产气量为28.66 m3/t,其中游离气量为4.81 m3/t,吸附气量为23.85 m3/t,游离气产量贡献率仅为16.8%。2#样品割理/裂缝发育,实际上游离气量及贡献率应该更高一些,出现上述计算结果的主要原因是物质平衡法是通过监测的岩心入口压力和出口压力计算岩心视平均压力,而在割理/裂缝发育的情况下监测的岩心出/入口压力难以代表岩心内部基质孔隙及割理/裂缝的平均压力,使得物质平衡法计算的吸附气/游离气量存在很大偏差。同时,该方法只能计算有实测累产气量数据部分的游离气量和吸附气量,无法对未来生产过程中吸附气量及其比例进行预测。
图7 基于物质平衡法的吸附气/游离气量计算结果

3 煤岩裂缝/割理-基质孔耦合的双重介质同位素分馏模型

鉴于物质平衡法的计算偏差,且已有研究表明煤岩气生产过程中的同位素分馏现象与吸附气/游离气的原始赋存状态和产出进程等密切相关,本文考虑利用同位素分馏效应计算深部煤岩气产出过程吸附气/游离气量。Xia等建立了考虑单孔介质中扩散和吸附/解吸耦合的同位素分馏模型[30];Li等建立了考虑时变边界的多尺度孔隙半耦合同位素分馏模型[31];Wang等[32]考虑煤岩内部复杂孔隙结构和流动机理,建立了双分散孔隙结构与多种气体传输机理耦合的同位素分馏模型。由于深部煤岩割理和微孔发育,具有双孔双渗特征,因此本文在前人研究基础上,考虑深部煤岩的双重介质(割理/裂缝系统和基质孔系统)特性和多种气体传输机理耦合,构建适用于表征深部煤岩衰竭开发过程的甲烷碳同位素分馏模型,具体的控制方程组如下:
$\left\{\begin{array}{l} C_{1} \frac{\partial p_{\mathrm{m}}}{\partial t}+B_{1} \frac{\partial p_{\mathrm{m}}^{*}}{\partial t}=\nabla \cdot\left(D_{\mathrm{m}_{-} \text {app }} \nabla p_{\mathrm{m}}\right)-D_{\mathrm{m}} \alpha^{*}\left(p_{\mathrm{m}}-p_{\mathrm{f}}\right) \\ C_{2} \frac{\partial p_{\mathrm{m}}}{\partial t}+B_{2} \frac{\partial p_{\mathrm{m}}^{*}}{\partial t}=\nabla \cdot\left(D_{\mathrm{m}_{-} \text {app }}^{*} \nabla p_{\mathrm{m}}^{*}\right)-D_{\mathrm{m}}^{*} \alpha^{*}\left(p_{\mathrm{m}}^{*}-p_{\mathrm{f}}^{*}\right) \\ \phi_{\mathrm{f}} \frac{\partial p_{\mathrm{f}}}{\partial t}=\nabla \cdot\left(D_{\mathrm{f}} \nabla p_{\mathrm{f}}\right)+D_{\mathrm{m}} \alpha^{*}\left(p_{\mathrm{m}}-p_{\mathrm{f}}\right) \\ \phi_{\mathrm{f}} \frac{\partial p_{\mathrm{f}}^{*}}{\partial t}=\nabla \cdot\left(D_{\mathrm{f}}^{*} \nabla p_{\mathrm{f}}^{*}\right)+D_{\mathrm{m}}^{*} \alpha^{*}\left(p_{\mathrm{m}}^{*}-p_{\mathrm{f}}^{*}\right) \end{array}\right.$
其中$B_{1}=-\frac{\left(1-\phi_{\mathrm{m}_{\mathrm{L} \_ \text {eff }}}\right) c K K^{*} p_{\mathrm{m}}}{\left(1+K p_{\mathrm{m}}+K^{*} p_{\mathrm{m}}^{*}\right)^{2}}$
$\begin{array}{c} C_{1}=\phi_{\mathrm{m}_{-} \text {eff }}+\frac{\left(1-\phi_{\mathrm{m}_{-} \text {eff }}\right) c\left(K+K K^{*} p_{\mathrm{m}}^{*}\right)}{\left(1+K p_{\mathrm{m}}+K^{*} p_{\mathrm{m}}^{*}\right)^{2}} \\ B_{2}=\phi_{\mathrm{m}_{-} \text {eff }}+\frac{\left(1-\phi_{\mathrm{m}_{-} \text {eff }}\right) c\left(K^{*}+K K^{*} p_{\mathrm{m}}\right)}{\left(1+K p_{\mathrm{m}}+K^{*} p_{\mathrm{m}}^{*}\right)^{2}} \\ C_{2}=-\frac{\left(1-\phi_{\mathrm{m}_{\text {eff }}}\right) c K K^{*} p_{\mathrm{m}}^{*}}{\left(1+K p_{\mathrm{m}}+K^{*} p_{\mathrm{m}}^{*}\right)^{2}} \end{array}$
$c=\rho_{\mathrm{s}} V_{\mathrm{L}} Z_{\mathrm{m}} R T / V_{\text {std }} \quad \alpha^{*}=4 N(N+2) / L^{2}$
(3)式中,$D_{\mathrm{m}_{-} \mathrm{app}}$$D_{\mathrm{m} \_\mathrm{app}}^{*}$分别为基质孔中12CH413CH4的表观扩散系数(黏性流、克努森扩散和表面扩散的耦合),$D_{\mathrm{f}}$$D_{\mathrm{f}}^{*}$分别为割理/裂缝中12CH413CH4的扩散系数,ϕm_eff为基质孔的有效孔隙度,其具体计算公式参见文献[32]。
根据表1中的岩心尺寸建立几何模型,将上述方程组导入模型。初始条件设置为:初始压力为p0;边界条件设置为:出口端连接管线处压力等于实验实际监测的出口压力pout。通过COMSOL Multiphysics或MATLAB等软件可对上述模型进行求解,得到岩心内部压力场的时空分布。通过对割理/裂缝和基质孔中的分压($p_{f}$$p_{\mathrm{f}}^{*}$$P_{\mathrm{m}}$$p_{m}^{*}$)进行积分可以计算出入口压力、累产气量和δ13C1值。其中入口压力为:
$p_{\text {in }}=\frac{1}{S} \iint\left[\phi_{\text {m_eff }^{-}}\left(p_{\mathrm{m}}+p_{\mathrm{m}}^{*}\right)+\phi_{\mathrm{f}}\left(p_{\mathrm{f}}+p_{\mathrm{f}}^{*}\right)\right] /\left(\phi_{\mathrm{m}_{-} \text {eff }}+\phi_{\mathrm{f}}\right) \mathrm{d} s$
割理/裂缝中12CH413CH4的累产气量、基质孔游离态12CH413CH4的累产气量、基质孔吸附态12CH413CH4的累产气量以及总的累产气量分别为:
$Q_{\mathrm{f}}(t)=V_{\mathrm{m}} \iiint\left[\frac{\phi_{\mathrm{f}}(0) p_{\mathrm{f}}(0)}{Z_{\mathrm{f}}(0) R T}-\frac{\phi_{\mathrm{f}}(t) p_{\mathrm{f}}(t)}{Z_{\mathrm{f}}(t) R T}\right] \mathrm{d} V$
$Q_{\mathrm{f}}^{*}(t)=V_{\mathrm{m}} \iiint\left[\frac{\phi_{\mathrm{f}}(0) p_{\mathrm{f}}^{*}(0)}{Z_{\mathrm{f}}(0) R T}-\frac{\phi_{\mathrm{f}}(t) p_{\mathrm{f}}^{*}(t)}{Z_{\mathrm{f}}(t) R T}\right] \mathrm{d} V$
$Q_{\mathrm{m} \_ \text {free }}(t)=V_{\mathrm{m}} \iiint\left[\frac{\phi_{\mathrm{m} \_ \text {eff }}(0) p_{\mathrm{m}}(0)}{Z_{\mathrm{m}}(0) R T}-\frac{\phi_{\mathrm{m} \_ \text {eff }}(t) p_{\mathrm{m}}(t)}{Z_{\mathrm{m}}(t) R T}\right] \mathrm{d} V$
$Q_{\mathrm{m} \_ \text {fiee }}^{*}(t)=V_{\mathrm{m}} \iiint\left[\frac{\phi_{\mathrm{m} \_ \text {eff }}(0) p_{\mathrm{m}}^{*}(0)}{Z_{\mathrm{m}}(0) R T}-\frac{\phi_{\mathrm{m} \_ \text {eff }}(t) p_{\mathrm{m}}^{*}(t)}{Z_{\mathrm{m}}(t) R T}\right] \mathrm{d} V$
$\begin{array}{c} Q_{\mathrm{m}_{-} \text {ads }}(t)=\iiint\left\{\rho_{\mathrm{r}} V_{\mathrm{L}} \frac{\left[1-\phi_{\mathrm{m}_{-} \text {eff }}(0)\right] K p_{\mathrm{m}}(0)}{1+K p_{\mathrm{m}}(0)+K^{*} p_{\mathrm{m}}^{*}(0)}-\right. \\ \left.\rho_{\mathrm{r}} V_{\mathrm{L}} \frac{\left[1-\phi_{\mathrm{m}_{-} \text {eff }}(t)\right] K p_{\mathrm{m}}(t)}{1+K p_{\mathrm{m}}(t)+K^{*} p_{\mathrm{m}}^{*}(t)}\right\} \mathrm{d} V \end{array}$
$\begin{array}{c} Q_{\mathrm{m} \_ \text {ads }}^{*}(t)=\iiint\left\{\rho_{\mathrm{r}} V_{\mathrm{L}} \frac{\left[1-\phi_{\mathrm{m} \_ \text {eff }}(0)\right] K^{*} p_{\mathrm{m}}^{*}(0)}{1+K p_{\mathrm{m}}(0)+K^{*} p_{\mathrm{m}}^{*}(0)}-\right. \\ \left.\rho_{\mathrm{r}} V_{\mathrm{L}} \frac{\left[1-\phi_{\mathrm{m} \_ \text {eff }}(t)\right] K^{*} p_{\mathrm{m}}^{*}(t)}{1+K p_{\mathrm{m}}(t)+K^{*} p_{\mathrm{m}}^{*}(t)}\right\} \mathrm{d} V \end{array}$
$\begin{aligned} Q_{\text {total }}(t)= & Q_{\mathrm{f}}(t)+Q_{\mathrm{f}}^{*}(t)+Q_{\mathrm{m} \_ \text {free }}(t)+Q_{\mathrm{m} \_ \text {free }}^{*}(t)+ \\ & Q_{\mathrm{m} \_ \text {ads }}(t)+Q_{\mathrm{m} \_ \text {ads }}^{*}(t) \end{aligned}$
产出气的δ13C1值可按下式计算:
$\delta^{13} \mathrm{C}_{1}(t)=\frac{\frac{\mathrm{d} Q_{\mathrm{f}}^{*}(t)}{\mathrm{d} t}+\frac{\mathrm{d} Q_{\mathrm{m} \_ \text {fiee }}^{*}(t)}{\mathrm{d} t}+\frac{\mathrm{d} Q_{\mathrm{m} \_ \text {ads }}^{*}(t)}{\mathrm{d} t}}{\left[\frac{\mathrm{~d} Q_{\mathrm{f}}(t)}{\mathrm{d} t}+\frac{\mathrm{d} Q_{\mathrm{m} \_ \text {free }}(t)}{\mathrm{d} t}+\frac{\mathrm{d} Q_{\mathrm{m} \_ \text {ads }}(t)}{\mathrm{d} t}\right] R_{\text {std }}}-1$
通过模型计算的入口压力、累产气量和δ13C1值对实验实测的入口压力、累产气量和δ13C1值(未突然降压的阶段1部分数据)同时进行历史拟合,确定模型中的关键待定参数,如表2所示。从图8可以看出同位素分馏模型对两块岩心的多组实验数据拟合效果良好,表明该模型可较好地表征深部煤岩气产出过程中的气体流动行为和同位素分馏特征。
表2 同位素分馏模型中参数取值
参数 1#样品取值 2#样品取值
基质孔平均孔径 5.50 nm 5.16 nm
基质孔初始渗透率 5.02×10-19 m2 1.52×10-18 m2
割理/裂缝初始渗透率 1.71×10-18 m2 1.04×10-15 m2
初始基质孔隙度 1.5% 1.4%
初始割理/裂缝孔隙度 2.31% 3.75%
Langmuir体积 22.2 m3/t 23.6 m3/t
Langmuir压力 2.31 MPa 1.82 MPa
初始δ13C1 -28.05‰ -31.04‰
$D_{\mathrm{m}_{-} \mathrm{app}}^{*} / D_{\mathrm{m}_{-} \mathrm{app}}$ 0.991 0.998
图8 同位素分馏模型对实测入口压力、累产气量和δ13C1值同时历史拟合结果图

4 吸附气/游离气产出规律评价

采用同位素分馏模型可计算出深部煤岩气全生命周期衰竭开发过程的吸附气/游离气阶段贡献率和采出程度。吸附气/游离气阶段贡献率指某一阶段吸附气/游离气累产气量与该阶段总累产气量的比值,吸附气/游离气采出程度是指某一时刻吸附气/游离气累产气量与原始总吸附气/游离气量的比值。从图9a可以看出,通过同位素分馏模型计算出的1#样品吸附气/游离气的累产气量与物质平衡法计算结果整体上较为吻合,通过同位素分馏模型计算出的2#样品吸附气/游离气的累产气量与物质平衡法计算结果初期较为吻合,后期物质平衡法计算结果出现偏差,说明同位素分馏模型比物质平衡法准确性高。根据岩心基础物性参数和同位素分馏模型,计算出1#样品的原始含气量为23.9 m3/t,其中原始游离气为5.5 m3/t,原始吸附气为18.4 m3/t,游离气占比23.0%;2#样品的原始含气量为30.7 m3/t,其中原始游离气为9.4 m3/t,原始吸附气为21.3 m3/t,游离气占比30.6%。相较于1#样品,2#样品具有更高的原始游离气量和吸附气量,这和2#样品具有更大的孔隙度和更高的固定碳含量的测试结果相符。
图9 1#和2#样品游离气和吸附气量拟合结果
随着气体的产出,岩心内部压力降低,两块样品都呈现出游离气阶段贡献率减小,吸附气阶段贡献率增大的特点。1#样品同位素分馏第Ⅱ、Ⅲ阶段拐点(P2点)在3.9 d左右(见图10a),对应的游离气阶段贡献率为55.7%(见图10e);2#样品的P2点在0.3 d左右(见图10b),对应的游离气阶段贡献率为73.1%(见图10f)。可见两块割理/裂缝发育程度不同的煤岩样品,在同位素分馏的第Ⅱ阶段都表现出以游离气为主的特征(阶段贡献率大于50%)。1#和2#样品在P2点对应的游离气采出程度分别为89.6%和84.9%,吸附气采出程度分别为16.9%和8.6%(见图10g、10h),这表明在深部煤岩气同位素分馏的第Ⅰ、Ⅱ阶段,大部分游离气已产出(采出程度大于80%),而仍有大量的吸附气有待产出,这也是深部煤岩气井生产初期产量高且稳产时间长的原因。生产初期(P2点以前),岩心视平均压力快速降低(见图10c图10d),吸附气和游离气采出程度显著增大,且游离气采出程度增大速率大于吸附气(见图10g图10h);生产中后期(P2点以后),压力降低缓慢(见图10c图10d),游离气采出程度增大速率缓慢且低于吸附气(见图10g图10h)。通过阶段式逐级控压开采方式有效地增大了吸附气和游离气采出程度,特别是难以动用的吸附气。当压力降低至常压后(150 d后),游离气采出程度接近100%,吸附气动用的难易取决于岩石的解吸能力。虽然2#样品的渗透率要高于1#样品,但在第150 d到第200 d的生产时间内,2#样品的吸附气阶段采出程度(3.9%)要小于1#样品(4.8%)。这是由于相较于1#样品,2#样品具有更高的“镜质组+惰质组”含量和更低的Langmuir压力,前者的两个值分别为93.6%和2.31 MPa,后者的两个值分别为96.4%和1.82 MPa。一般镜质组和惰质组对甲烷的吸附能力要高于壳质组,Langmuir压力越小,岩石的吸附能力也越强。实测的“镜质组+惰质组”含量和历史拟合确定的Langmuir压力都反映出2#样品具有更强的吸附能力,使得生产后期吸附气动用能力要弱于1#样品。
图10 1#和2#样品生产过程中吸附气/游离气产出规律
实验结果表明,煤岩产气具有高渗流通道、低供给能力的特征,这与煤岩微孔和割理/裂缝均发育的U型孔隙结构紧密相关。不同割理/裂缝发育程度下鄂尔多斯盆地8号煤岩主体渗透率在(0.01~0.50)×10-3 μm2[2]。但从图11所示的实验结果来看,当实验出口压力降低至4 MPa(接近现场井底压力)时,采出程度较低(1#样品为19%、2#样品为39%);降低至0.1 MPa时,采出程度也分别仅为57%和69%;即使开采到最后,1#样品仍有16%的气体没有被采出,说明煤岩基质内部渗流通道小,解吸和供气速度异常缓慢。与页岩相比,深部煤岩孔径更小、毛管压力更强,在储层含水条件下,气体在解吸后通过微孔渗流时更容易受到毛管阻力,体现在后期存在较长的低产期。本文实验岩心采用干岩心,未考虑水的影响,一旦在渗流通道上叠加水或者压裂液,气体分子更难以突破水相封锁。因此,在生产后期有效提高气体的脱附能力是提高煤岩吸附气采出程度的关键。尽管本文实验较真实地模拟了煤岩气产出过程,但几何尺度与时间跨度的影响可能导致实验的同位素分馏特征(各阶段分馏幅度与持续时间)与实际煤岩气井仍存在差异,未来需结合现场生产监测与数值模拟进一步拓展验证。
图11 1#和2#样品不同出口压力下的采出程度

5 结论

深部煤岩气产出过程中δ13C1值存在“稳定(Ⅰ)→变轻(Ⅱ)→变重(Ⅲ)”的3阶段同位素分馏特性。边界压力(井底流压)的突然降低会导致δ13C1值趋于前一阶段的气源值,若在第Ⅲ阶段突然降压,δ13C1值会呈现出“快速变轻后继续变重”的特征。
不同于浅部煤层气,深部煤岩气产出具有游离气优先动用、吸附气长期供给的特征。实验中1#样品的原始游离气占比为23.0%,2#样品的原始游离气占比为30.6%。1#和2#样品同位素分馏的第Ⅱ、Ⅲ阶段拐点对应的游离气阶段贡献率分别为55.7%和73.1%,表明同位素分馏的前两阶段累产气以游离气贡献为主。
煤岩储层具有高渗流通道、低供给能力的特征,吸附气高效动用仍然是煤岩气长期稳产的关键。实验中井底压力降低至4 MPa时,采出程度不超过40%,开采结束时1#样品仍有16%的气体没有被采出。对于吸附气为主的煤岩气,如何有效提高吸附气采出程度仍是提高采收率的关键。生产中需要深入研究阶段式控压开采、高压主动解吸(如压裂液吸附置换、注CO2吸附置换、加热)等方式进一步提高煤岩气的采出程度。
符号注释:
c——质量平衡系数,Pa;Df——割理/裂缝中12CH4的扩散系数,m2/s;$D_{\mathrm{f}}^{\mathrm{*}}$——割理/裂缝中13CH4的扩散系数,m2/s;Dm——基质孔中12CH4的扩散系数,m2/s;$D_{\mathrm{m}}^{\mathrm{*}}$——基质孔中13CH4的扩散系数,m2/s;Dm_app——基质孔中12CH4的表观扩散系数,m2/s;$D_{\mathrm{m}_{-} \mathrm{app}}^{*}$——基质孔中13CH4的表观扩散系数,m2/s;G0——岩心总游离气量,m3Gfree——压力p下对应的游离气量,m3K——12CH4的Langmuir常数(K=1/pL),Pa-1K*——13CH4的Langmuir常数,Pa-1L——割理/裂缝间距,m;N——割理/裂缝的组数(1,2或3);p——任意时刻岩心内平均压力,Pa;p0——初始时刻岩心内平均压力,Pa;pf——割理/裂缝中12CH4的压力,Pa;$p_{\mathrm{f}}^{\mathrm{*}}$——割理/裂缝中13CH4的压力,Pa;pin——任意时刻岩心的入口压力,Pa;pL——Langmuir压力,Pa;pm——基质孔中12CH4的压力,Pa;$p_{\mathrm{m}}^{\mathrm{*}}$——基质孔中13CH4的压力,Pa;pout——任意时刻岩心的出口压力,Pa;Qf——割理/裂缝中12CH4的累产气量,m3$Q_{\mathrm{f}}^{\mathrm{*}}$——割理/裂缝中13CH4的累产气量,m3Qm_ads——基质孔吸附态12CH4的累产气量,m3$Q_{\mathrm{m}_{-} \mathrm{ads}}^{*}$——基质孔吸附态13CH4的累产气量,m3Qm_free——基质孔游离态12CH4的累产气量,m3$Q_{\mathrm{m}_{-} \mathrm{free}}^{*}$——基质孔游离态13CH4的累产气量,m3Qtotal——总的累产气量,m3R——气体常数,8.314 J/(mol·K);Ro——镜质体反射率,%;Rstd——标样中13CH412CH4的物质的量比值,无因次;s——微元面积,m2S——入口端面积,m2t——时间,s;T——岩石温度,K;V——体积微元,m3VL——Langmuir体积,m3/kg;Vm——气体摩尔体积,m3/mol;Vstd——标况下气体摩尔体积,0.022 4 m3/mol;Z0——压力p0对应的气体压缩因子,无因次;Zf——割理/裂缝中的气体压缩因子,无因次;Zg——压力p对应的气体压缩因子,无因次;Zin——压力pin对应的气体压缩因子,无因次;Zm——基质孔中的气体压缩因子,无因次;Zout——压力pout对应的气体压缩因子,无因次;α*——割理/裂缝的特征参数,m-2ρr——岩石密度,kg/m3ρs——岩石骨架密度,kg/m3ϕf——割理/裂缝孔隙度,%;ϕm_eff——基质孔有效孔隙度,%。
[1]
李国欣, 张水昌, 何海清, 等. 煤岩气: 概念、内涵与分类标准[J]. 石油勘探与开发, 2024, 51(4): 783-795.

DOI

LI Guoxin, ZHANG Shuichang, HE Haiqing, et al. Coal-rock gas: Concept, connotation and classification criteria[J]. Petroleum Exploration and Development, 2024, 51(4): 783-795.

[2]
邹才能, 赵群, 刘翰林, 等. 中国煤岩气突破及意义[J]. 天然气工业, 2025, 45(4): 1-18.

ZOU Caineng, ZHAO Qun, LIU Hanlin, et al. China's breakthrough in coal-rock gas and its significance[J]. Natural Gas Industry, 2025, 45(4): 1-18.

[3]
周立宏, 熊先钺, 丁蓉, 等. 煤岩气内涵、富集机理及实践意义[J]. 天然气工业, 2025, 45(3): 1-15.

ZHOU Lihong, XIONG Xianyue, DING Rong, et al. Connotation, enrichment mechanism and practical significance of coal-rock gas[J]. Natural Gas Industry, 2025, 45(3): 1-15.

[4]
秦勇, 申建. 论深部煤层气基本地质问题[J]. 石油学报, 2016, 37(1): 125-136.

DOI

QIN Yong, SHEN Jian. On the fundamental issues of deep coalbed methane geology[J]. Acta Petrolei Sinica, 2016, 37(1): 125-136.

DOI

[5]
周德华, 陈刚, 陈贞龙, 等. 中国深层煤层气勘探开发进展、关键评价参数与前景展望[J]. 天然气工业, 2022, 42(6): 43-51.

ZHOU Dehua, CHEN Gang, CHEN Zhenlong, et al. Exploration and development progress, key evaluation parameters and prospect of deep CBM in China[J]. Natural Gas Industry, 2022, 42(6): 43-51.

[6]
徐凤银, 王成旺, 熊先钺, 等. 深部(层)煤层气成藏模式与关键技术对策: 以鄂尔多斯盆地东缘为例[J]. 中国海上油气, 2022, 34(4): 30-42.

XU Fengyin, WANG Chengwang, XIONG Xianyue, et al. Deep (layer) coalbed methane reservoir forming modes and key technical countermeasures: Taking the eastern margin of Ordos Basin as an example[J]. China Offshore Oil and Gas, 2022, 34(4): 30-42.

[7]
闫霞, 徐凤银, 熊先钺, 等. 深部煤层气勘探开发关键实验技术及发展方向[J]. 煤田地质与勘探, 2025, 53(1): 128-141.

YAN Xia, XU Fengyin, XIONG Xianyue, et al. Key experimental technologies and their development directions for the exploration and production of deep coalbed methane[J]. Coal Geology & Exploration, 2025, 53(1): 128-141.

[8]
李明宅, 曹毅民, 丁蓉, 等. 大宁—吉县区块深层煤岩气赋存产气特征与储量估算方法指标探讨[J]. 中国石油勘探, 2024, 29(4): 142-155.

LI Mingzhai, CAO Yimin, DING Rong, et al. Gas occurrence and production characteristics of deep coal measure gas and reserve estimation method and indicators in Daning-Jixian block[J]. China Petroleum Exploration, 2024, 29(4): 142-155.

[9]
李国欣, 贾承造, 赵群, 等. 煤岩气成藏机理与煤系全油气系统[J]. 石油勘探与开发, 2025, 52(1): 29-43.

DOI

LI Guoxin, JIA Chengzao, ZHAO Qun, et al. Coal-rock gas accumulation mechanism and the whole petroleum system of coal measures[J]. Petroleum Exploration and Development, 2025, 52(1): 29-43.

[10]
周立宏, 闫霞, 熊先钺, 等. 深部煤层气超临界状态下赋存特征及分配规律[J]. 煤炭科学技术, 2025, 53(3): 73-90.

ZHOU Lihong, YAN Xia, XIONG Xianyue, et al. Characteristics of occurrence and distribution rule of deep coalbed methane in supercritical state[J]. Coal Science and Technology, 2025, 53(3): 73-90.

[11]
傅雪海, 张宝鑫, 康俊强. “煤岩气” 概念的探讨与辨析[J]. 天然气工业, 2025, 45(3): 46-53.

FU Xuehai, ZHANG Baoxin, KANG Junqiang. Discussion and analysis on the concept of “coal-rock gas”[J]. Natural Gas Industry, 2025, 45(3): 46-53.

[12]
高树生, 刘华勋, 叶礼友, 等. 页岩气井全生命周期物理模拟实验及数值反演[J]. 石油学报, 2018, 39(4): 435-444.

GAO Shusheng, LIU Huaxun, YE Liyou, et al. Physical simulation experiment and numerical inversion of the full life cycle of shale gas well[J]. Acta Petrolei Sinica, 2018, 39(4): 435-444.

DOI

[13]
端祥刚, 胡志明, 顾兆斌, 等. 应用核磁共振在线检测技术研究不同赋存状态下的页岩气动用规律[J]. 天然气工业, 2021, 41(5): 76-83.

DUAN Xianggang, HU Zhiming, GU Zhaobin, et al. Study on the production laws of shale gas in different occurrence states in the use of NMR online detection technology[J]. Natural Gas Industry, 2021, 41(5): 76-83.

[14]
ZHOU G Z, DUAN X G, CHANG J, et al. Investigation of CH4/CO2 competitive adsorption-desorption mechanisms for enhanced shale gas production and carbon sequestration using nuclear magnetic resonance[J]. Energy, 2023, 278(Part B): 127964.

[15]
HU Z M, DUAN X G, SHAO N, et al. Experimental study on the characteristics of adsorbed gas and gas production in shale formations[J]. Geofluids, 2021, 2021: 2448044.

[16]
WANG J J, LU S F, ZHANG P F, et al. Characterization of shale oil and water micro-occurrence based on a novel method for fluid identification by NMR T2 spectrum[J]. Fuel, 2024, 374: 132426.

[17]
YAO Y B, LIU D M, XIE S B. Quantitative characterization of methane adsorption on coal using a low-field NMR relaxation method[J]. International Journal of Coal Geology, 2014, 131: 32-40.

[18]
罗明坤, 李胜, 荣海, 等. CH4与N2, CO2间竞争吸附关系的核磁共振实验研究[J]. 煤炭学报, 2018, 43(2): 490-497.

LUO Mingkun, LI Sheng, RONG Hai, et al. Experimental study on competitive adsorption relationship between CH4 and N2, CO2 by NMR[J]. Journal of China Coal Society, 2018, 43(2): 490-497.

[19]
郑司建, 桑树勋, 姚艳斌, 等. 基于核磁共振的煤岩注CO2吸附置换CH4试验研究[J]. 煤炭学报, 2022, 47(10): 3738-3745.

ZHENG Sijian, SANG Shuxun, YAO Yanbin, et al. Experimental study on CO2 adsorption and displacement of methane in coals: An NMR relaxation method[J]. Journal of China Coal Society, 2022, 47(10): 3738-3745.

[20]
STRĄPOĆ D, SCHIMMELMANN A, MASTALERZ M. Carbon isotopic fractionation of CH4 and CO2 during canister desorption of coal[J]. Organic Geochemistry, 2006, 37(2): 152-164.

[21]
LI W B, LI X, ZHAO S X, et al. Evaluation on carbon isotope fractionation and gas-in-place content based on pressure-holding coring technique[J]. Fuel, 2022, 315: 123243.

[22]
张道锋, 孟康, 黄有根, 等. 鄂尔多斯盆地石炭系本溪组煤岩解析气甲烷碳同位素特征及其地质意义[J/OL]. 天然气地球科学: 1-24[2025-05-19]. https://link.cnki.net/urlid/62.1177.te.20250225.1906.006.

ZHANG Daofeng, MENG Kang, HUANG Yougen, et al. Characteristics and geological significance of methane carbon isotope of released gas from Carboniferous Benxi coal rock in Ordos Basin[J/OL]. Natural Gas Geoscience: 1-24[2025-05-19]. https://link.cnki.net/urlid/62.1177.te.20250225.1906.006.

[23]
李文镖, 卢双舫, 李俊乾, 等. 页岩气运移过程中的碳同位素分馏: 机理、表征及意义[J]. 中国科学: 地球科学, 2020, 50(4): 553-569.

LI Wenbiao, LU Shuangfang, LI Junqian, et al. Carbon isotope fractionation during shale gas transport: Mechanism, characterization and significance[J]. SCIENCE CHINA Earth Sciences, 2020, 63(5): 674-689.

[24]
LI W B, WANG J, JIA C Z, et al. Carbon isotope fractionation during methane transport through tight sedimentary rocks: Phenomena, mechanisms, characterization, and implications[J]. Geoscience Frontiers, 2024, 15(6): 101912.

[25]
李佳玥, 李文镖, 张鹏飞, 等. 天然气水合物形成/分解过程中的同位素分馏效应及其能源-环境意义[J]. 华东地质, 2024, 45(4): 387-401.

LI Jiayue, LI Wenbiao, ZHANG Pengfei, et al. Isotope fractionation during the formation-decomposition of natural gas hydrate and its energy-environmental implications[J]. East China Geology, 2024, 45(4): 387-401.

[26]
ZHAO S X, KANG S J, ZHENG M J, et al. Prediction of decline in shale gas well production using stable carbon isotope technique[J]. Frontiers of Earth Science, 2021, 15(4): 849-859.

DOI

[27]
赵圣贤, 杨学锋, 刘永旸, 等. 深层页岩气产出过程碳同位素分馏特征及其地质意义: 以川南地区泸州区块奥陶系五峰组-志留系龙马溪组为例[J]. 天然气工业, 2024, 44(8): 72-84.

ZHAO Shengxian, YANG Xuefeng, LIU Yongyang, et al. Characteristics and geological implications of carbon isotope fractionation during deep shale gas production: A case study of the Ordovician Wufeng Formation-Silurian Longmaxi Formation in the Luzhou Block of southern Sichuan Basin[J]. Natural Gas Industry, 2024, 44(8): 72-84.

[28]
黄道军, 周国晓, 杨兆彪, 等. 鄂尔多斯盆地深部煤岩气井产出气-水地球化学特征及其地质响应[J]. 石油与天然气地质, 2024, 45(6): 1617-1627.

HUANG Daojun, ZHOU Guoxiao, YANG Zhaobiao, et al. Geochemical characterization of gas-water output from deep coalrock methane wells in the Ordos Basin and its geological responses[J]. Oil & Gas Geology, 2024, 45(6): 1617-1627.

[29]
李文镖, 卢双舫, 李俊乾, 等. 页岩气/煤层气运移过程中的同位素分馏研究进展[J]. 石油勘探与开发, 2022, 49(5): 929-942.

DOI

LI Wenbiao, LU Shuangfang, LI Junqian, et al. Research progress on isotopic fractionation in the process of shale gas/coalbed methane migration[J]. Petroleum Exploration and Development, 2022, 49(5): 929-942.

[30]
XIA X Y, TANG Y C. Isotope fractionation of methane during natural gas flow with coupled diffusion and adsorption/desorption[J]. Geochimica et Cosmochimica Acta, 2012, 77: 489-503.

[31]
LI W B, LU S F, LI J Q, et al. Geochemical modeling of carbon isotope fractionation during methane transport in tight sedimentary rocks[J]. Chemical Geology, 2021, 566: 120033.

[32]
WANG J, WANG F, CHEN F W, et al. Dynamic fractionation of methane carbon isotope during mass transport in coal with bidisperse pore structures: Experiments, numerical modeling, and applications[J]. Chemical Engineering Journal, 2024, 498: 154942.

[33]
LIU Y, LIANG F, SHANG F H, et al. Carbon isotope fractionation during shale gas release: Experimental results and molecular modeling of mechanisms[J]. Gas Science and Engineering, 2023, 113: 204962.

[34]
GAO L, WU S, DEEV A, et al. The gas isotope interpretation tool: A novel method to better predict production decline[J]. AAPG Bulletin, 2017, 101(8): 1263-1275.

[35]
慈兴华, 张立生, 牛强, 等. 碳同位素录井技术在页岩气勘探与开发中的应用[C]// 2019油气田勘探与开发国际会议论文集. 西安: 西安石油大学, 2019: 413-424.

CI Xinghua, ZHANG Lisheng, NIU Qiang, et al. Application of carbon isotope logging technology in shale gas exploration and development[C]// Proceedings of the 2019 International Conference on Oil and Gas Field Exploration and Development. Xi'an: Xi'an Shiyou University, 2019: 413-424.

[36]
WANG J, CHEN F W, LI W B, et al. A multi-scale and multi-mechanism coupled model for carbon isotope fractionation of methane during shale gas production[J]. Petroleum Science, 2025, 22(7): 2719-2746.

[37]
WANG X F, LI X F, WANG X Z, et al. Carbon isotopic fractionation by desorption of shale gases[J]. Marine and Petroleum Geology, 2015, 60: 79-86.

[38]
WEI Y B, LU S F, LI J Q, et al. Impacts of gas pressure on carbon isotope fractionation during methane degassing: An experimental study on shales from Wufeng and Longmaxi Formations in southeast Sichuan, China[J]. Marine and Petroleum Geology, 2021, 128: 105001.

[39]
ZHAO S X, LU S F, WU J F, et al. Comparison and verification of gas-bearing parameter evaluation methods for deep shale based on the pressure coring technique[J]. Energy & Fuels, 2023, 37(3): 2066-2077.

[40]
LI X, LU S F, LIU S J, et al. Determination of shale gas-bearing properties based on carbon isotope fractionation model: A case study from Longmaxi Formation shales in Jiaoshiba area, Sichuan Basin, China[J]. Energy & Fuels, 2023, 37(15): 11055-11066.

[41]
LI X, LU S F, ZHAO S X, et al. Gas-in-place content and occurrence state of deep shale gas in the Luzhou area, Sichuan Basin, China[J]. Marine and Petroleum Geology, 2024, 160: 106662.

[42]
LIU Y, ZHANG J C, TANG X. Predicting the proportion of free and adsorbed gas by isotopic geochemical data: A case study from lower Permian shale in the southern North China Basin (SNCB)[J]. International Journal of Coal Geology, 2016, 156: 25-35.

[43]
LI W B, LI J Q, LU S F, et al. Evaluation of gas-in-place content and gas-adsorbed ratio using carbon isotope fractionation model: A case study from Longmaxi shales in Sichuan Basin, China[J]. International Journal of Coal Geology, 2022, 249: 103881.

[44]
赵喆, 徐旺林, 赵振宇, 等. 鄂尔多斯盆地石炭系本溪组煤岩气地质特征与勘探突破[J]. 石油勘探与开发, 2024, 51(2): 234-247.

DOI

ZHAO Zhe, XU Wanglin, ZHAO Zhenyu, et al. Geological characteristics and exploration breakthroughs of coal rock gas in Carboniferous Benxi Formation, Ordos Basin, NW China[J]. Petroleum Exploration and Development, 2024, 51(2): 234-247.

[45]
李丹丹. 煤的工业分析参数对多煤阶煤岩吸附性能的影响研究[J]. , 2020, 29(6): 62-65.

LI Dandan. Study on influence of proximate analysis parameters upon adsorption performance of multi-rank coal[J]. Coal, 2020, 29(6): 62-65.

[46]
陶传奇. 鄂尔多斯盆地东缘临兴地区深部煤层气富集成藏规律研究[D]. 北京: 中国矿业大学(北京), 2019.

TAO Chuanqi.Deep coalbed methane accumulation and reservoiring in Linxing area, eastern Ordos Basin, China[D]. Beijing: China University of Mining and Technology (Beijing), 2019.

[47]
LI Y E, CHEN G H, CAI Z X, et al. Occurrence of methane in organic pores with surrounding free water: A molecular simulation study[J]. Chemical Engineering Journal, 2024, 497: 155597.

[48]
黄越. 页岩气析出过程中甲烷稳定碳同位素分馏机制[D]. 北京: 中国石油大学(北京), 2021.

HUANG Y. Stable carbon isotope fractionation mechanism of methane during shale gas desorption[D]. Beijing: China University of Petroleum (Beijing), 2021.

[49]
皇甫展鸿, 吕文雅, 唐英航, 等. 深层煤层气储层现今地应力测井计算方法: 以大宁—吉县地区本溪组煤层为例[J]. 地质科学, 2024, 59(6): 1662-1674.

HUANGFU Zhanhong, LYU Wenya, TANG Yinghang, et al. Present‑day in‑situ stress calculation by conventional logs of deep coalbed methane reservoirs: A case study in the deep coal reservoir of the Benxi Formation in Daning‑Jixian area, Ordos Basin[J]. Chinese Journal of Geology, 2024, 59(6): 1662-1674.

[50]
闫霞, 徐凤银, 聂志宏, 等. 深部微构造特征及其对煤层气高产“甜点区”的控制: 以鄂尔多斯盆地东缘大吉地区为例[J]. 煤炭学报, 2021, 46(8): 2426-2439.

YAN Xia, XU Fengyin, NIE Zhihong, et al. Microstructure characteristics of Daji area in east Ordos Basin and its control over the high yield dessert of CBM[J]. Journal of China Coal Society, 2021, 46(8): 2426-2439.

[51]
LI W B, LU S F, LI J Q, et al. Concentration loss and diffusive fractionation of methane during storage: Implications for gas sampling and isotopic analysis[J]. Journal of Natural Gas Science and Engineering, 2022, 101: 104562.

文章导航

/