油气田开发

陆相页岩CO2前置压裂缝面微观力学损伤与支撑剂嵌入规律

  • 孙廉贺 , 1 ,
  • 王海柱 , 1, 2 ,
  • 李根生 1, 2 ,
  • 王斌 1, 2 ,
  • STANCHITS Sergey 3 ,
  • 毛泽龙 1 ,
  • 张耀辰 1 ,
  • CHEREMISIN Alexey 3 ,
  • 郑永 4 ,
  • 金家成 1
展开
  • 1 中国石油大学(北京)石油工程学院,北京 102249
  • 2 中国石油大学(北京)油气资源与工程全国重点实验室,北京 102249
  • 3 斯科尔科沃科学技术研究院,莫斯科 121205
  • 4 西安石油大学石油工程学院,西安 710018
王海柱(1981-),男,河北遵化人,博士,中国石油大学(北京)教授,主要从事超临界CO2钻完井技术研究。北京市昌平区府学路18号,中国石油大学(北京)石油工程学院,邮政编码:102249。E-mail:

孙廉贺(1997-),男,河南漯河人,现为中国石油大学(北京)在读博士研究生,主要从事前置CO2压裂的数值模拟与实验研究。地址:北京市昌平区府学路18号,中国石油大学(北京)石油工程学院,邮政编码:102249。E-mail:

Copy editor: 胡苇玮

收稿日期: 2025-01-05

  修回日期: 2025-07-03

  网络出版日期: 2025-07-03

基金资助

国家自然科学基金杰出青年基金(52425402)

国家自然科学基金青年科学基金(52204021)

国家自然科学基金青年科学基金(52404038)

中国石油大学(北京)科研基金(2462022BJRC002)

Micromechanical damage and proppant embedment patterns of fracture surfaces in lacustrine shale CO2 pre-pad energized fracturing

  • SUN Lianhe , 1 ,
  • WANG Haizhu , 1, 2 ,
  • LI Gensheng 1, 2 ,
  • WANG Bin 1, 2 ,
  • STANCHITS Sergey 3 ,
  • MAO Zelong 1 ,
  • ZHANG Yaochen 1 ,
  • CHEREMISIN Alexey 3 ,
  • ZHENG Yong 4 ,
  • JIN Jiacheng 1
Expand
  • 1 College of Petroleum Engineering, China University of Petroleum (Beijing), Beijing 102249, China
  • 2 State Key Laboratory of Petroleum Resources and Engineering, China University of Petroleum (Beijing), Beijing 102249, China
  • 3 Skolkovo Institute of Science and Technology, Moscow 121205, Russia
  • 4 College of Petroleum Engineering, Xi’an University of Petroleum, Xi’an 710018, China

Received date: 2025-01-05

  Revised date: 2025-07-03

  Online published: 2025-07-03

摘要

为了揭示CO2前置压裂过程中超临界CO2(SCCO2)-水-页岩相互作用对陆相页岩支撑剂嵌入影响机制,选取渤海湾盆地陆相页岩,开展SCCO2-水-页岩相互作用实验,通过X射线衍射、扫描电镜大面积高分辨率成像、全自动矿物分析及纳米压痕等测试方法分析缝面微观力学损伤机制及支撑剂嵌入特征变化规律。研究表明:随着相互作用时间的延长,白云石、长石及黏土矿物含量降低,石英含量增加,其中白云石溶蚀效果最为显著;页岩硬度及弹性模量均呈现幂律衰减模式,在作用1 d内劣化率最大,随后劣化速度呈现缓慢降低的趋势;样品表面压嵌坑数量及嵌入深度呈增大趋势,作用时间超过3 d后支撑剂出现团簇嵌入现象,样品表面开始出现大深度压嵌坑。

本文引用格式

孙廉贺 , 王海柱 , 李根生 , 王斌 , STANCHITS Sergey , 毛泽龙 , 张耀辰 , CHEREMISIN Alexey , 郑永 , 金家成 . 陆相页岩CO2前置压裂缝面微观力学损伤与支撑剂嵌入规律[J]. 石油勘探与开发, 2025 , 52(4) : 919 -929 . DOI: 10.11698/PED.20250004

Abstract

To elucidate the mechanism by which supercritical CO2 (SCCO2)-water-shale interactions during CO2 pre-pad energized fracturing influence proppant embedment in continental shale, shale samples from the Bohai Bay Basin were selected for SCCO2-water-shale interaction experiments. X-ray diffraction (XRD), SEM large-area high-resolution imaging, automated mineral identification and characterization system (AMICS), and nanoindentation tests were employed to examine the micro-mechanical damage mechanisms of fracture surfaces and the evolving patterns of proppant embedment characteristics. The results reveal that: Prolonged interaction time reduces the contents of dolomite, feldspar, and clay minerals, while quartz content increases, with dolomite showing the most pronounced dissolution effect. As interaction time increases, the hardness and elasticity modulus of shale follow a power-law decay pattern, with the peak degradation rate occurring at 1 d, followed by a gradual decline of degradation velocity. Increasing interaction time results in growth in both the number and depth of embedment pits on the sample surface. After more than 3 d of interaction, clustered proppant embedment is observed, accompanied by the formation of deep embedment pits on the surface.

0 引言

中国页岩油资源丰富,主要发育古近系、白垩系、侏罗系、三叠系和二叠系等5套陆相页岩沉积层系[1]。根据地层结构特征与矿物组分可将其划分为多种类型,与美国海相页岩相比具有原油流动性差、地层能量弱、非均质性强及热演化程度低等特点,因此对储层改造技术提出了更高的要求[2-3]。CO2前置压裂技术作为非常规储层增产的主要措施之一,近年来在大港、胜利及长庆等油田页岩油储层得到了广泛应用,现场实验表明该技术在构造复杂缝网的同时可有效增加地层能量、提高压裂液返排率,并且可为CO2提供复杂的流动封存空间[4-5]
目前,页岩油储层水平井采用CO2前置压裂单井30级施工周期一般为10~14 d,因此超临界CO2(SCCO2)-水-页岩有充足的时间相互作用,使页岩物性发生变化[6]。笔者团队前期研究表明SCCO2作用将导致岩石力学损伤,有助于裂缝的起裂与扩展[7-8],但裂缝内支撑剂的嵌入很大程度受岩石力学性质影响[9],力学性质劣化可能导致生产过程中裂缝由于支撑剂嵌入而造成导流能力下降。为揭示SCCO2-水-岩相互作用机理,国内外学者采用X射线衍射(XRD)、扫描电镜(SEM)、氮气吸附、单轴压缩及纳米压痕等方法全面表征了SCCO2-水-岩相互作用后页岩物性变化[10-15]。SCCO2作用过程中由于溶蚀效应的存在,样品中方解石、白云石、长石及黏土矿物将被溶解,其中方解石溶解速率较快,并且矿物的溶解会使样品中平均孔径及孔隙度增大[16-17],但由于矿物二次沉淀的发生,SCCO2处理后样品中也存在微孔、介孔数量增加而大孔数量减少的现象[18]。朱世良等[19]、钟朋峻等[20]发现CO2作用后矿物组分的变化对裂缝导流能力存在显著影响。在微观力学方面,杨柳等[21]基于白垩系青山口组纹层型页岩开展划痕及CO2浸泡实验,分析了不同相互作用时间下不同纹层强度软化规律。综上可知,前人从不同角度揭示了SCCO2作用下页岩物性变化规律,但SCCO2-水-页岩相互作用后裂缝面软化对支撑剂嵌入影响机制仍不明确,导致生产过程中缝内导流能力变化预测缺乏依据,因此亟需从微观力学角度开展陆相页岩CO2前置压裂缝内支撑剂压嵌特征研究。
本文以渤海湾盆地古近系孔店组陆相页岩为研究对象,通过开展一系列不同作用时间下的SCCO2-水-页岩相互作用实验,分析页岩表面微观力学性质变化规律。利用XRD、SEM大面积高分辨率成像、全自动矿物分析(AMICS)、纳米压痕及形貌扫描等测试方法对SCCO2-水-页岩相互作用后的页岩物性变化进行定量表征,深入认识SCCO2作用后裂缝面软化对支撑剂压嵌的影响机制,为CO2前置压裂工艺参数优化提供理论支撑。

1 实验方案及实验方法

1.1 样品制备

本文所用岩样为渤海湾盆地古近系孔店组真实井下样品,该层是中国纹层型页岩油储层的典型代表[22],岩石组成以混合质、长英质及灰云质矿物为主[2]。本文实验样品取心深度约3 800 m,岩性为混合质页岩,孔隙度为3.40%,渗透率为0.35×10-3 μm2
分别制备块状样品及粉末状样品。采用线切割方式从标准柱塞样品(见图1a)中制备10 mm×10 mm×5 mm块状样品及10 mm×5 mm×5 mm块状样品(见图1b)。为避免样品与水接触,切割过程中采用酒精作为冷却液。为保证样品上下表面平行度符合实验要求,采用MC004磨抛机对块状样品进行机械抛光,抛光后样品表面起伏高度为500~1 000 nm,各块状样品上下表面平行度不超过0.01 mm,垂直偏差不超过0.05°。用于纳米压痕测试、MAPS及AMICS的样品表面在机械抛光后采用Leica EM RES 102进行氩离子束抛光[6]。为避免样品因外力造成损伤,制样后样品均进行单独保存。为满足XRD测试需求,选择线切割后剩余样品,将其磨成75 μm(200目)以下粉末(见图1c),样品制成后及时进行相关实验[23]
图1 实验页岩样品

1.2 SCCO2-水-页岩相互作用实验

实验在自主搭建的高温高压流岩作用实验系统(见图2)中进行,该实验系统主要由围压釜、恒温箱(温度精度为±1 ℃)、CO2气瓶、缓冲罐、水浴加热箱、注入泵(最高工作压力100 MPa)及真空泵组成,其中围压釜最大承压45 MPa,最高实验温度300 ℃。为保证实验精度,在开展SCCO2-水-页岩相互作用实验前需对温度、压力传感器进行矫正。
图2 高温高压流岩作用实验系统
CO2的临界温度、压力分别为31.1 ℃和7.38 MPa[7],因此本文取心深度环境中CO2将始终保持超临界态。由于本文主要研究不同作用时间下页岩表面微观力学性质变化规律,在保证CO2达到超临界态的同时,为保证实验安全性,设置实验温度、压力分别为70 ℃和15 MPa[24]。SCCO2-水-页岩相互作用实验主要步骤包括:①由于CO2压缩性较强,温度变化可能导致围压釜内压力波动,因此为避免温度由室温增加至实验温度过程中对压力变化带来的影响,开展相互作用实验前,将洗油、洗盐样品及蒸馏水加入烧杯中,然后将烧杯放入围压釜内在恒温箱中加热至70 ℃;②将围压釜抽真空后,注入加热至预定温度的CO2至压力达到15 MPa,确保围压釜内的CO2达到超临界态;③确保围压釜气密性完好后,将温度保持在70 ℃开展SCCO2-水-页岩相互作用实验,实验过程中通过压力表实时观察围压釜内压力变化;④作用至预定时间后,将围压釜缓慢泄至大气压后冷却至室温,取出样品清洁并烘干后立即进行相关测试实验,尽量减少在空气中的暴露时间。为避免用于MAPS及AMICS测试的样品受到污染,实验过程中采用防尘网覆盖烧杯顶部。

1.3 压嵌实验

首先,从机械抛光后的10 mm×10 mm×5 mm块状样品中挑选10块分为5组,依次编号后对5组样品分别开展作用时间为0,1,3,5,7 d的相互作用实验。然后,对不同作用时间下的压嵌组合体开展压嵌实验,压嵌组合体由每组上、下两块10 mm×10 mm×5 mm块状样品中间夹支撑剂组成。压嵌实验采用UTM5105微机控制电子万能试验机。支撑剂选用渤海湾盆地CO2前置压裂现场380/212 μm(40/70目)陶粒样品,平均圆度及球度均不低于0.8,86 MPa闭合压力下支撑剂破碎率不超过9.0%。实验时铺砂浓度为2 kg/m2,根据块状样品剖面大小计算相应支撑剂质量为0.2 g。由于流岩反应将导致页岩强度显著降低,为避免在无围压情况下样品出现破碎的情况,本文实验施加的最大闭合应力为20 MPa[25]。为控制岩面应力增长速率,避免样品加载过程中出现破断,本文实验设置力的加载速率为2 N/s,实验过程中实时记录应力-应变曲线。

1.4 表征方法

1.4.1 XRD

采用“SmartLab”X射线衍射仪(Co Kα辐射,45 kV,200 mA)对作用时间分别为0,1,3,5,7 d的页岩粉末样品矿物组成进行定量分析,扫描范围为5°~45°,步长为0.02°,扫描速度为2°/min[23]

1.4.2 SEM大面积高分辨率成像

基于蔡司Merlin场发射扫描电子显微镜及ATLAS 5软件以3.5 μm分辨率获取并拼接10 mm×5 mm×5 mm块状样品表面10 mm×5 mm区域SEM图像(见图3a),挑选与整体矿物组成相似区域后采用15 nm分辨率对样品表面100 μm×100 μm区域(简称ROI区域,见图3b)开展大面积高分辨率成像,采用随机森林算法对成像结果进行处理。
图3 样品表面SEM图像

1.4.3 AMICS

为可视化分析样品表面矿物形态与分布特征,采用蔡司Merlin场发射扫描电镜和Bruker能谱仪以1 μm分辨率对原始样品及作用7 d样品的ROI区域开展扫描,扫描数据采用AMICS软件进行全自动矿物分析。

1.4.4 纳米压痕

为评价不同作用时间下样品表面微观力学特性,采用Keysight Nano Indenter G200纳米压痕测试仪,以连续刚度测量(CSM)模式测量压痕深度范围内样品力学性能,该模式以恒定频率进行正弦加载,且每个加载周期中最大载荷均高于前一周期[26]
由于页岩矿物组分复杂、各矿物相间力学性质差异大,本文实验采用波式(Berkovich)压头在相互作用前后氩离子束抛光10 mm×5mm×5 mm块状样品表面开展5×5矩阵压痕测试,压痕点间距为100 μm。为实现矿物相多尺度测量,实验最大压入深度设置为3 μm,测试过程中压头加载速率和频率分别为0.05 s-1和45 Hz,测试后基于Oliver和Pharr模型分析载荷-压痕深度曲线,确定样品表面硬度和弹性模量[27-31]

1.4.5 形貌扫描

为分析不同作用时间下样品表面支撑剂嵌入形态,采用Nanovea 3D非接触式表面形貌扫描仪对5组支撑剂压嵌后样品表面中心6.5 mm×6.5 mm区域开展表面形貌扫描。

2 实验结果与分析

2.1 矿物变化特征

2.1.1 XRD结果分析

对XRD结果进行定量分析以确定SCCO2-水-页岩相互作用前后页岩矿物含量变化(见图4)。可以看出,原始页岩样品主要由白云石、长石、石英、黏土矿物及少量硬石膏组成,其中碳酸盐矿物白云石(含量41.9%)是样品中的主要矿物,其次是长石(31.4%)和石英(13.1%)。SCCO2-水-页岩相互作用后样品中矿物含量发生了明显变化,这一现象源于CO2溶解到水中后发生了一系列复杂的化学反应[18,23,32]。随着作用时间的增加,样品中石英及硬石膏含量持续增加,而长石、白云石和黏土矿物整体呈现出减少趋势,其中白云石含量下降最为明显。实验结束时石英含量增加1.4个百分点,长石含量减少0.4个百分点,硬石膏含量增加0.9个百分点,白云石含量减少1.2个百分点,黏土矿物含量减少0.7个百分点。前人研究发现,岩石矿物在酸溶液中溶解度从大到小依次为方解石、白云石、长石、石英[17],与本文实验过程中白云石溶解量高于长石的现象一致,同时石英及硬石膏在碳酸溶液中性质相对稳定,在碳酸环境下溶解难度较大[32],导致石英和硬石膏含量上升。SCCO2-水-页岩相互作用后白云石、长石及黏土矿物含量明显降低,这一结果将对页岩力学性质造成直接影响,下文将对此进行详细讨论。
图4 SCCO2-水-页岩相互作用前后页岩样品矿物含量变化

2.1.2 AMICS结果分析

为进一步明确样品矿物溶蚀特征,基于XRD结果优选特征矿物富集区域开展AMCIS,SCCO2-水-页岩相互作用前后结果如图5所示。由原始样品AMICS结果可以看出,扫描区域主要矿物为白云石、长石、石英及少量黏土矿物和白云母等,与XRD结果基本一致。SCCO2-水-页岩相互作用7 d后,样品表面白云石溶蚀明显,面积比下降15.9个百分点,而石英面积比增加7.41个百分点,钠长石面积比增加0.65个百分点,正长石面积比增加3.53个百分点,绿泥石面积比增加0.82个百分点。产生该现象的原因为不同矿物溶解速率的差异导致上部矿物溶蚀后底部矿物暴露,如图5中红色圆圈标记区域中由于白云石及钠长石溶解导致下部石英暴露。整体而言,长石、白云石及绿泥石均存在溶蚀现象,其中白云石矿物溶蚀效应最为显著,与XRD结果一致。相互作用7 d后,长石、白云石及石英等脆性矿物整体面积比下降4.31个百分点,这一现象与页岩表面微观力学性质变化也有直接关系。
图5 SCCO2-水-页岩相互作用前后页岩样品AMCIS结果

2.2 表面孔隙结构变化特征

图6为反应前后样品MAPS图像,可以看出SCCO2-水-页岩相互作用7 d后,由于白云石及长石的溶解,样品表面出现大量溶蚀孔,同时还存在沿矿物边缘的溶蚀坑。由溶解机制的经典路径可知矿物溶解易发生于晶格缺陷或晶体边界[33],随后逐步向内部扩展,形成大尺寸溶蚀孔。
图6 SCCO2-水-页岩相互作用前后样品表面MAPS图像
基于随机森林算法对MAPS图像进行处理,孔隙结构分割结果如图7所示。通过对比图7a图7b发现,SCCO2-水-页岩相互作用后孔隙数量及孔隙尺寸明显增大,并且孔隙间连通性明显增强,与传统水力压裂相比这一变化有助于减少页岩油流动阻力。通过统计微孔(孔径小于25 nm)、小孔(孔径25~100 nm)、中孔(孔径100 nm~1 μm)及大孔(孔径大于1 μm)数量[34],可以发现相互作用7 d后各尺寸孔隙数量均明显增加(见图7c),其中中孔数量增长幅度最大。计算发现作用前和作用7 d后ROI区域面孔隙率分别为0.77%和6.99%。总体而言,MAPS结果表明,矿物溶蚀导致页岩表面明显损伤。
图7 孔隙结构分割与孔径分布统计结果

2.3 微观力学性质变化特征

页岩表面力学强度降低造成的裂缝面软化是导致裂缝内支撑剂压嵌的主要原因之一,从微观尺度对SCCO2-水-页岩相互作用后页岩表面力学性质进行表征更有助于解释CO2前置压裂裂缝闭合机理。为减少页岩非均质性对实验结果带来的影响,5组纳米压痕测试区域选择相邻位置,计算发现所有曲线中最终压痕深度与最大压痕深度的比值均小于0.7,表明不存在堆积现象,无需对原数据进行修正[28]
图8可以看出,SCCO2-水-页岩相互作用后的样品载荷-压痕深度曲线在快速上升前出现了一个压实阶段。随着作用时间的延长,该阶段的压痕深度不断增加,表明样品表面的软化范围逐渐扩大。此外,作用时间越长,样品达到最大压痕深度时的载荷越小。当作用时间达到7 d时,载荷低于100 mN。以上结果表明SCCO2-水-页岩相互作用后岩石矿物组分及孔隙结构的变化导致页岩表面力学性能显著减弱。
图8 不同作用时间下样品载荷-压痕深度曲线
本文纳米压痕实验采用CSM模式,有助于分析力学参数随压痕深度的动态变化过程,图9为原始样品各压痕点弹性模量及硬度随压痕深度变化曲线。可以看出,当压痕深度为0~2 500 nm时,随着压痕加深压头接触到的矿物种类增多,导致弹性模量及硬度存在明显波动;当压痕深度超过2 500 nm时,矿物的混合效应使得波动逐渐减小,硬度及弹性模量收敛到一个较小的范围内,表明压痕面积已达到矿物相的尺度[26,35]
图9 原始样品弹性模量与硬度随压痕深度变化曲线(图中不同曲线对应原始样品不同压痕点)
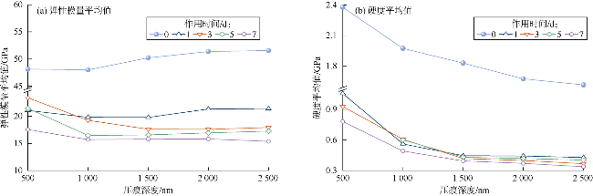
为对比不同作用时间下弹性模量及硬度随压痕深度变化趋势,对5组纳米压痕测试中每个压痕深度处的弹性模量及硬度数据平均值进行统计,如图10所示。由于SCCO2具有强扩散性,因此SCCO2-水-页岩相互作用1 d后页岩表面500~2 500 nm深度内弹性模量及硬度均显著降低。受页岩微观矿物非均质性的影响,不同作用时间下压痕统计结果在个别深度点存在非单调波动,但整体而言弹性模量与硬度随作用时间持续下降,降幅逐渐趋缓,表现出“初期快速劣化、后期缓慢演进”的微观力学损伤演化特征。
图10 不同作用时间下不同压痕深度处弹性模量及硬度平均值
页岩宏观力学性质由其所含力学相共同控制,因此本文基于纳米压痕测试数据采用期望最大化(EM)算法与高斯混合模型相结合的方式对数据开展反卷积分析[26]。通过统计SCCO2-水-页岩相互作用前后样品刚性相、中等刚性相和软性相3种力学相的弹性模量,加深对页岩表面软化的理解。由图11可知,原始样品中软性相、中等刚性相及刚性相弹性模量平均值分别为47.68,51.69,58.23 GPa,SCCO2-水-页岩相互作用后三相均发生软化,随着作用时间的增加软性相及中等刚性相弹性模量呈现出波动下降的趋势,而刚性相弹性模量呈现出持续降低的趋势,作用7 d后软性相、中等刚性相和刚性相弹性模量平均值分别为12.72,15.26,19.10 GPa。这表明随着作用时间的增加样品微观力学性质整体由高弹性模量向低弹性模量转变。由Alramahi等[36]的研究可知,弹性模量的降低将导致支撑剂嵌入量的增大。因此,SCCO2-水-页岩相互作用后支撑剂将更易嵌入样品表面。
图11 不同力学相弹性模量平均值随作用时间变化
纳米压痕测试的弹性模量及硬度统计数据如图12所示。可以看出,作用1,3,5,7 d后,样品表面弹性模量平均值分别为20.39,17.03,16.64,15.72 GPa,硬度平均值分别为0.43,0.43,0.46,0.35 GPa。与原始样品相比,作用7 d后样品表面弹性模量平均值降幅达68.41%,硬度平均值降幅达78.53%。作用5 d后样品表面的硬度平均值略高于作用1 d和3 d后,与测试过程中压痕点位局部高硬矿物富集相关,反映出微观矿物分布的非均质性影响。尽管存在局部波动,整体趋势仍表现为硬度随作用时间下降。拟合得到样品表面弹性模量和硬度随作用时间变化关系式分别为:
E t 20.24 t + 0.001 079 0.131 7
H t 0.522 t + 0.004 17 0.206 7
图12 不同作用时间样品力学参数统计结果
SCCO2-水-页岩相互作用后样品表面硬度及弹性模量呈幂律衰减形式,整体力学性能劣化速度随时间减慢。与原始样品相比,作用1 d后弹性模量和硬度平均值分别降低59.03%和73.62%,表明CO2前置压裂缝内SCCO2-水-页岩相互作用短时间内即可使缝面软化。结合前文页岩微观孔隙结构及矿物组成变化的分析结果可知,作用初期,碳酸盐类矿物发生溶蚀,产生新增孔隙,导致岩石局部承载能力迅速下降,微观力学性能显著劣化。随着作用时间的延长,高反应性矿物逐渐减少,孔隙结构演化趋缓,损伤累计速率降低。可见,页岩在SCCO2-水作用下的微观力学损伤过程具有明显的时间依赖性与阶段性演化特征。

2.4 表面软化对支撑剂压嵌影响分析

2.4.1 应力-应变变化特征

SCCO2-水-页岩相互作用前后压嵌组合体应力-应变曲线如图13所示。可以看出,当应变小于0.1%时,所有组合体的变形量随应力的增大而快速变化,在该应变范围内,组合体中的页岩及支撑剂空隙空间被压实;当应变大于0.1%时,组合体进入嵌入支撑阶段,所有组合体变形量随应力的增大变化放缓,与黄炳香等[37]观察到的现象相似。与原始样品相比,SCCO2-水-页岩相互作用后同一应力条件下组合体应变量更大,且随着反应时间的增加同一应力条件下应变量不断增大。由前文研究结果可知产生该现象的主要原因为SCCO2-水-页岩相互作用后矿物溶蚀导致页岩表面微观力学性质快速劣化使得支撑剂更易嵌入样品表面。
图13 应力-应变曲线

2.4.2 支撑剂压嵌样品形貌变化特征

对SCCO2-水-页岩相互作用前后压嵌组合体开展形貌扫描,结果如图14所示。可以看出,原始样品表面压嵌现象不明显,支撑剂压嵌深度较小且压嵌坑较为分散,多为单个支撑剂嵌入样品表面;SCCO2-水-页岩相互作用后,支撑剂压嵌深度增大,且样品表面支撑剂压嵌深度随着作用时间的增加而持续增大。与原始样品相比,作用1,3 d后样品表面支撑剂压嵌深度略有增加,压嵌坑整体仍呈现出分散状态,作用5 d后样品表面出现大尺寸压嵌坑,并且压嵌深度明显增加,表明出现由多个支撑剂颗粒组成的团簇压入。
图14 不同作用时间下样品表面支撑剂压嵌深度扫描结果(图中压嵌深度正、负值分别表示表面峰与谷的值)
为进一步分析SCCO2-水-页岩相互作用前后支撑剂压嵌样品表面整体粗糙度水平,基于形貌扫描结果定量分析样品表面平均粗糙度(Ra),较高的Ra表明样品表面存在较多峰和谷,其计算公式如下[38]
R a = 1 N x N y i = 1 N x j = 1 N y z i , j z mean 
其中
z mean  = 1 N x N y i = 1 N x j = 1 N y z i , j
采用均方粗糙度(Rq)分析相互作用前后支撑剂压嵌样品表面粗糙度变化幅度,该值对于样品表面高度变化的幅度较为敏感,其计算公式为[38]
R q = 1 N x N y i = 1 N x j = 1 N y z i , j z mean  2
为避免机械抛光后高度起伏造成的误差,后续分析均基于形貌扫描结果数值小于-2 μm的波谷数据开展计算,样品表面平均粗糙度及均方粗糙度计算结果如图15所示。可以看出,随着作用时间的延长RaRq值均呈现增大趋势,表明随着作用时间的延长样品表面支撑剂嵌入程度增加,压嵌坑数量及深度均增大,并且Rq增长率大于Ra,表明随着作用时间的延长,样品表面逐渐出现大深度压嵌坑。
图15 不同作用时间下表面粗糙度演化规律
图16为不同作用时间下支撑剂压嵌深度分布统计结果。可以看出,随着作用时间的延长,支撑剂压嵌深度在较大区间内的相对分布频率增加。作用5 d和7 d后,由于支撑剂团簇嵌入(见图17),支撑剂压嵌深度在大于10 μm的区间内的相对分布频率显著高于作用0,1,3 d后。
图16 压嵌深度分布统计图
图17 缝内损伤与支撑剂嵌入过程示意图
作用0,1,3,5,7 d后的最大平均压嵌深度分别为7.14,8.94,10.08,12.42,13.19 μm,拟合可得压嵌深度随时间变化关系式,如(5)式所示。可以看出,压嵌深度随时间变化呈幂函数变化,其中幂指数为0.359 9,表明支撑剂压嵌深度增长速率随作用时间的增加而降低。由(1)式、(2)式可知,力学参数劣化速率随作用时间的增加而降低,这导致支撑剂压嵌深度的增长速率逐渐放缓。
h t 5.78 t + 1.689 2 0.359 9

3 讨论

本文主要探讨了CO2前置压裂过程中SCCO2-水-页岩物理化学耦合作用下微观力学损伤与支撑剂嵌入随时间的变化规律。实验结果表明,在SCCO2-水复合作用区内,白云石、钠长石及部分黏土矿物发生溶蚀,导致页岩微观结构发生破坏,岩石局部承载能力下降,从而引发弹性模量与硬度的劣化。随着反应时间的延长,可反应矿物表面反应活性位点下降使得溶蚀速度减慢,力学损伤的累计速率也随之降低,因此页岩表面力学参数随时间呈现幂律衰减模式。由于SCCO2扩散性较强,易沿缝面向深处运移,随着作用时间的延长SCCO2-水复合作用区范围将进一步扩大,复合作用区内各深度处的微观力学性能均呈现随作用时间延长而持续退化的趋势,即局部承载能力不断减弱,导致缝内支撑剂嵌入深度呈现次线性增长的趋势。目前常用Carman-Kozeny方程对裂缝导流能力进行表征,表明裂缝导流能力与缝宽呈正相关[39]。因此,随着SCCO2-水-页岩相互作用时间延长,裂缝面软化和支撑剂嵌入加剧导致缝宽逐步减小,进而使缝内导流能力持续衰减,该变化将直接影响产能维持能力,需在实际压裂设计中充分考虑。
为避免生产过程中因支撑剂嵌入而导致裂缝导流能力过度下降,建议CO2前置压裂现场应用过程中根据实际情况优化支撑剂组合。例如,高碳酸盐矿物含量及高黏土矿物含量储层可以考虑适当增加树脂包覆支撑剂或大粒径支撑剂占比来缓解由于缝面软化而造成的支撑剂嵌入问题,从而提高裂缝长期导流能力。根据Bandara等[40]的研究,树脂包覆支撑剂在相同条件下嵌入程度低于陶粒及石英砂,并且高支撑剂浓度可降低缝内支撑剂的嵌入,因此通过在施工过程中适当提高铺砂浓度来减小支撑剂嵌入带来的影响也可以保持缝网的长期有效性。此外,应优化前置CO2用量,在保证最佳增能效果的前提下控制CO2注入量,尽可能减少由于岩石力学性能劣化而导致的支撑剂嵌入问题。李宁等[6]研究表明页岩与水相互作用后页岩表面微观结构显著变化,水化诱导裂缝作为页岩表面软化的主要模式使样品力学性质显著劣化。因此,在未来的研究中需进一步探讨SCCO2在物理化学耦合作用过程中的权重,为现场工艺优化提供理论基础。

4 结论

SCCO2-水-页岩相互作用后,岩石矿物组分发生明显变化。由于溶蚀效应的发生样品内白云石、长石及黏土矿物含量均呈现下降趋势,其中由于白云石溶解速率较高,因此溶解量最大。由于石英、硬石膏在碳酸中性质相对稳定,实验条件下相对含量呈上升趋势。作用7 d后,由于矿物溶蚀导致样品表面出现大量溶蚀孔,面孔隙率增长6.22个百分点。
SCCO2-水-页岩相互作用显著劣化了陆相页岩的微观力学性质,呈现出陆相页岩多矿物混合结构与矿物反应动力学共同控制的幂律衰减模式。初期矿物活性位点丰富,溶蚀速率较快,样品力学性能迅速劣化,随着作用时间的延长活性位点被耗减,导致溶蚀速率和力学性质劣化速度下降,与原始样品相比,作用7 d后样品弹性模量和硬度平均值分别降低68.41%和78.53%。
SCCO2-水-页岩相互作用后,在闭合压力下陆相页岩表面支撑剂压嵌效应显著,随着作用时间的延长压嵌坑数量及嵌入深度呈增大趋势,作用时间超过3 d的样品由于支撑剂出现团簇嵌入现象,压痕深度在大于10 μm区间内相对分布频率明显增多。
符号注释:
E——弹性模量,GPa;h——支撑剂压嵌深度,μm;H——硬度,GPa;ij——x轴和y轴方向测量点序号;Ra——样品表面平均粗糙度,μm;Rq——均方粗糙度,μm;t——作用时间,d;NxNy——形貌扫描图像x轴和y轴方向测量点个数;zi,j——某点在z轴方向的高度,μm;zmean——形貌扫描图像中所有测量点高度平均值,μm。
[1]
赵贤正, 蒲秀刚, 金凤鸣, 等. 黄骅坳陷页岩型页岩油富集规律及勘探有利区[J]. 石油学报, 2023, 44(1): 158-175.

DOI

ZHAO Xianzheng, PU Xiugang, JIN Fengming, et al. Enrichment law and favorable exploration area of shale-type shale oil in Huanghua Depression[J]. Acta Petrolei Sinica, 2023, 44(1): 158-175.

DOI

[2]
金之钧, 张谦, 朱如凯, 等. 中国陆相页岩油分类及其意义[J]. 石油与天然气地质, 2023, 44(4): 801-819.

JIN Zhijun, ZHANG Qian, ZHU Rukai, et al. Classification of lacustrine shale oil reservoirs in China and its significance[J]. Oil & Gas Geology, 2023, 44(4): 801-819.

[3]
雷群, 翁定为, 管保山, 等. 中美页岩油气开采工程技术对比及发展建议[J]. 石油勘探与开发, 2023, 50(4): 824-831.

DOI

LEI Qun, WENG Dingwei, GUAN Baoshan, et al. Shale oil and gas exploitation in China: Technical comparison with US and development suggestions[J]. Petroleum Exploration and Development, 2023, 50(4): 824-831.

[4]
苏玉亮, 陈征, 唐梅荣, 等. 致密储层不同驱替方式下超临界CO2蓄能返排效果实验研究[J]. 油气地质与采收率, 2020, 27(5): 79-85.

SU Yuliang, CHEN Zheng, TANG Meirong, et al. Experimental study of supercritical CO2 storage and flowback under different displacement methods in tight reservoirs[J]. Petroleum Geology and Recovery Efficiency, 2020, 27(5): 79-85.

[5]
邹雨时, 李彦超, 李四海. CO2前置注入对页岩压裂裂缝形态和岩石物性的影响[J]. 天然气工业, 2021, 41(10): 83-94.

ZOU Yushi, LI Yanchao, LI Sihai. Influence of CO2 pre-injection on fracture morphology and the petrophysical properties in shale fracturing[J]. Natural Gas Industry, 2021, 41(10): 83-94.

[6]
李宁, 金之钧, 张士诚, 等. 水/超临界二氧化碳作用下的页岩微观力学特性[J]. 石油勘探与开发, 2023, 50(4): 872-882.

DOI

LI Ning, JIN Zhijun, ZHANG Shicheng, et al. Micro-mechanical properties of shale due to water/supercritical carbon dioxide-rock interaction[J]. Petroleum Exploration and Development, 2023, 50(4): 872-882.

[7]
YANG B, WANG H Z, WANG B, et al. Effect of supercritical CO2-water/brine-rock interaction on microstructures and mechanical properties of tight sandstone[J]. Transport in Porous Media, 2023, 149(1): 87-115.

[8]
王海柱, 李根生, 贺振国, 等. 超临界CO2岩石致裂机制分析[J]. 岩土力学, 2018, 39(10): 3589-3596.

WANG Haizhu, LI Gensheng, HE Zhenguo, et al. Analysis of mechanisms of supercritical CO2 fracturing[J]. Rock and Soil Mechanics, 2018, 39(10): 3589-3596.

[9]
ZHANG C P, LIU S, MA Z Y, et al. Combined micro-proppant and supercritical carbon dioxide (SC-CO2) fracturing in shale gas reservoirs: A review[J]. Fuel, 2021, 305: 121431.

[10]
WU S T, YU C, HU X L, et al. Characterization of mineral and pore evolution under CO2-brine-rock interaction at in-situ conditions[J]. Advances in Geo-Energy Research, 2022, 6(2): 177-178.

[11]
LI N, JIN Z J, WANG H B, et al. Investigation into shale softening induced by water/CO2-rock interaction[J]. International Journal of Rock Mechanics and Mining Sciences, 2023, 161: 105299.

[12]
TIAN S F, ZHOU J P, XIAN X F, et al. Impact of supercritical CO2 exposure time on the porosity and permeability of dry and wet shale: The influence of chemo-mechanical coupling effects[J]. Energy, 2023, 270: 126905.

[13]
CHENG Q, TANG J R, LIU Y L, et al. Pore alteration of Yanchang shale after CO2-brine-rock interaction: Influence on the integrity of caprock in CO2 geological sequestration[J]. Fuel, 2024, 363: 130952.

[14]
YANG K, ZHOU J P, XIAN X F, et al. Changes of wettability of shale exposed to supercritical CO2-water and its alteration mechanism: Implication for CO2 geo-sequestration[J]. Fuel, 2024, 357(Part C): 129942.

[15]
张烈辉, 张涛, 赵玉龙, 等. 二氧化碳-水-岩作用机理及微观模拟方法研究进展[J]. 石油勘探与开发, 2024, 51(1): 199-211.

DOI

ZHANG Liehui, ZHANG Tao, ZHAO Yulong, et al. A review of interaction mechanisms and microscopic simulation methods for CO2-water-rock system[J]. Petroleum Exploration and Development, 2024, 51(1): 199-211.

[16]
YANG K, ZHOU J P, XIAN X F, et al. Effect of supercritical CO2-water-shale interaction on mechanical properties of shale and its implication for carbon sequestration[J]. Gas Science and Engineering, 2023, 111: 204930.

[17]
YANG K, ZHOU J P, XIAN X F, et al. Chemical-mechanical coupling effects on the permeability of shale subjected to supercritical CO2-water exposure[J]. Energy, 2022, 248: 123591.

[18]
LU Y Y, LIU J, TANG J R, et al. Pore changes of slickwater-containing shale under supercritical CO2 treatment[J]. Fuel, 2022, 312: 122775.

[19]
朱世良, 邵丽伟, 周效志, 等. 煤基CO2地质封存对顶板裂缝导流能力影响实验研究[J]. 煤田地质与勘探, 2021, 49(3): 128-132.

ZHU Shiliang, SHAO Liwei, ZHOU Xiaozhi, et al. Experimental study on the influence of coal-based CO2 geological storage on roof fracture conductivity[J]. Coal Geology & Exploration, 2021, 49(3): 128-132.

[20]
钟朋峻, 刘超, 魏呈祥, 等. 碳酸盐岩超临界二氧化碳前置酸蚀裂缝导流能力实验[J]. 新疆石油天然气, 2024, 20(4): 60-69.

ZHONG Pengjun, LIU Chao, WEI Chengxiang, et al. Experimental study on etched fracture conductivity in carbonate rocks for supercritical CO2 prepad acid fracturing[J]. Xinjiang Oil & Gas, 2024, 20(4): 60-69.

[21]
杨柳, 韩振川, 左建平, 等. 基于划痕技术的CO2-水作用下页岩纹层强度软化规律[J]. 岩石力学与工程学报, 2025, 44(3): 557-571.

YANG Liu, HAN Zhenchuan, ZUO Jianping, et al. Strength softening pattern of shale lamina under CO2-water interaction based on scratch technique[J]. Chinese Journal of Rock Mechanics and Engineering, 2025, 44(3): 557-571.

[22]
蒲秀刚, 柴公权, 许静, 等. 黄骅坳陷古近系细粒沉积区勘探开发认识技术迭代与页岩油增储上产成效[J]. 石油学报, 2024, 45(9): 1399-1408.

DOI

PU Xiugang, CHAI Gongquan, XU Jing, et al. Technological iteration and understandings of exploration and development as well as increase of shale oil reserves and production in Paleogene fine-grained sediments areas of Huanghua Depression[J]. Acta Petrolei Sinica, 2024, 45(9): 1399-1408.

DOI

[23]
SUN L H, WANG H Z, WANG B, et al. The effect of SCCO2 treatments on the petrophysical properties of continental shale with different mineral compositions[R]. ARMA 2023-0467, 2023.

[24]
汤积仁, 卢义玉, 陈钰婷, 等. 超临界CO2作用下页岩力学特性损伤的试验研究[J]. 岩土力学, 2018, 39(3): 797-802.

TANG Jiren, LU Yiyu, CHEN Yuting, et al. Experimental study of damage of shale mechanical properties under supercritical CO2[J]. Rock and Soil Mechanics, 2018, 39(3): 797-802.

[25]
ZHI S, ELSWORTH D. Proppant embedment in coal and shale: Impacts of stress hardening and sorption[J]. International Journal of Coal Geology, 2020, 227: 103545.

[26]
SHENG M, CHENG S Z, LU Z H, et al. Influence of formation in-situ stress on mechanical heterogeneity of shale through grid nanoindentation[J]. Petroleum Science, 2022, 19(1): 211-219.

[27]
WANG T Y, WANG Q S, ZHANG P P, et al. Application of atom force microscope and nanoindentation to characterize nanoscale mechanical properties of shale before and after supercritical CO2 immersion[J]. Journal of Petroleum Science and Engineering, 2022, 212: 110348.

[28]
OLIVER W C, PHARR G M. An improved technique for determining hardness and elastic modulus using load and displacement sensing indentation experiments[J]. Journal of Materials Research, 1992, 7(6): 1564-1583.

[29]
OLIVER W C, PHARR G M. Measurement of hardness and elastic modulus by instrumented indentation: Advances in understanding and refinements to methodology[J]. Journal of Materials Research, 2004, 19(1): 3-20.

[30]
MILLER M, BOBKO C, VANDAMME M, et al. Surface roughness criteria for cement paste nanoindentation[J]. Cement and Concrete Research, 2008, 38(4): 467-476.

[31]
LUO Z Y, LI W G, WANG K J, et al. Research progress in advanced nanomechanical characterization of cement-based materials[J]. Cement and Concrete Composites, 2018, 94: 277-295.

[32]
ZHOU J P, YANG K, TIAN S F, et al. CO2-water-shale interaction induced shale microstructural alteration[J]. Fuel, 2020, 263: 116642.

[33]
KONRAD-SCHMOLKE M, HALAMA R, WIRTH R, et al. Mineral dissolution and reprecipitation mediated by an amorphous phase[J]. Nature Communications, 2018, 9(1): 1637.

[34]
倪良田, 杜玉山, 蒋龙, 等. 济阳坳陷富碳酸盐页岩纹层结构的差异性及其对储层品质的影响: 以东营凹陷沙河街组页岩为例[J]. 石油学报, 2024, 45(11): 1621-1637.

DOI

NI Liangtian, DU Yushan, JIANG Long, et al. Difference in laminated structure of carbonate-rich shale and its effects on reservoir quality in Jiyang Depression: A case study of Shahejie Formation shale in Dongying Sag[J]. Acta Petrolei Sinica, 2024, 45(11): 1621-1637.

DOI

[35]
LUO S M, LU Y H, WU Y K, et al. Cross-scale characterization of the elasticity of shales: Statistical nanoindentation and data analytics[J]. Journal of the Mechanics and Physics of Solids, 2020, 140: 103945.

[36]
ALRAMAHI B, SUNDBERG M I. Proppant embedment and conductivity of hydraulic fractures in shales[R]. ARMA 2012-291, 2012.

[37]
黄炳香, 李浩泽, 程庆迎, 等. 煤层压裂裂缝内支撑剂的压嵌特性[J]. 天然气工业, 2019, 39(4): 48-54.

HUANG Bingxiang, LI Haoze, CHENG Qingying, et al. Compaction and embedment characteristics of proppant in hydraulic fractures of coal seams[J]. Natural Gas Industry, 2019, 39(4): 48-54.

[38]
ZHAO S H, LI Y, WANG Y B, et al. Quantitative study on coal and shale pore structure and surface roughness based on atomic force microscopy and image processing[J]. Fuel, 2019, 244: 78-90.

[39]
SONG J L, XIANG D G, ZHAO S X, et al. Shale softening degree and rate induced by fracturing fluid under THMC coupling condition[J]. Journal of Natural Gas Science and Engineering, 2021, 96: 104294.

[40]
BANDARA K M A S, RANJITH P G, RATHNAWEERA T D, et al. Crushing and embedment of proppant packs under cyclic loading: An insight to enhanced unconventional oil/gas recovery[J]. Geoscience Frontiers, 2021, 12(6): 100970.

文章导航

/