油气田开发

水驱油藏智能综合生产优化技术

  • 李勇 ,
  • 张立侠 ,
  • 陈一航 ,
  • 胡丹丹 ,
  • 马瑞程 ,
  • 王舒 ,
  • 李茜瑶 ,
  • 刘达望
展开
  • 中国石油勘探开发研究院,北京 100083

李勇(1982-),男,山东淄博人,博士,中国石油勘探开发研究院教授级高级工程师,主要从事油气田开发相关研究。地址:北京市海淀区学院路20号,中国石油勘探开发研究院院办,邮政编码:100083。E-mail:

Copy editor: 胡苇玮

收稿日期: 2024-12-25

  修回日期: 2025-05-16

  网络出版日期: 2025-06-10

基金资助

中国石油重大基础性前瞻性科技专项“提高原油采收率新方法与新技术研究”(2023ZZ04)

An intelligent integrated production optimization technique for waterflooding reservoirs

  • LI Yong ,
  • ZHANG Lixia ,
  • CHEN Yihang ,
  • HU Dandan ,
  • MA Ruicheng ,
  • WANG Shu ,
  • LI Qianyao ,
  • LIU Dawang
Expand
  • PetroChina Research Institute of Petroleum Exploration and Development, Beijing 100083, China

Received date: 2024-12-25

  Revised date: 2025-05-16

  Online published: 2025-06-10

摘要

针对目前闭环油藏管理中生产优化偏经验性、精度和效率较低、约束优化问题求解困难等问题,分析常用生产优化方法(模型)的原理和优缺点,提出一种兼顾效率和精度、综合考虑实时性与长期性、多种优化模型交互协同的水驱油藏智能综合生产优化方法。该方法整合了油藏动态认识、简化物理模型和油藏数值模型等多种优化方法(模型),将不同模型的结果和认识相互耦合,以加速模型构建与拟合。采用现场实例对该方法进行解释和验证,结果表明,对于不同应用场景,存在不同的最佳生产优化模型,简化物理模型更适用于短期实时优化,基于模拟器的代理优化和流线模拟优化方法更适用于长期优化策略的制定,二者均需在油藏工程视角的合理约束下进行优化才具有实用价值。

本文引用格式

李勇 , 张立侠 , 陈一航 , 胡丹丹 , 马瑞程 , 王舒 , 李茜瑶 , 刘达望 . 水驱油藏智能综合生产优化技术[J]. 石油勘探与开发, 2025 , 52(3) : 677 -691 . DOI: 10.11698/PED.20240791

Abstract

The production optimization in the closed-loop reservoir management is generally empirical, and challenged by the issues such as low precision, low efficiency, and difficulty in solving constrained optimization problems. This paper outlines the main principles, advantages and disadvantages of commonly used production optimization methods/models, and then proposes an intelligent integrated production optimization method for waterflooding reservoirs that considers efficiency and precision, real-time and long-term effects, and the interaction and synergy between a variety of optimization models. This method integrates multiple optimization methods/models, such as reservoir performance analysis, reduced-physics models, and reservoir numerical models, with these model results and insights organically coupled to facilitate model construction and matching. This proposed method is elucidated and verified by field examples. The findings indicate that the optimal production optimization model varies depending on the specific application scenario. Reduced-physics models are conducive to short-term real-time optimization, whereas the simulator-based surrogate optimization and streamline-based simulation optimization methods are more suitable for long-term optimization strategy formulation, both of which need to be implemented under reasonable constraints from the perspective of reservoir engineering in order to be of practical value.

0 引言

油藏管理历来是油田开发中核心且复杂的研究领域,需开展诸如地质建模、历史拟合、油藏模拟、生产优化等多元化的研究任务,具有涉及学科广、研究周期长、全生命周期持续开展的特点。智能闭环油藏管理[1-2]作为一种新兴的整合模式,近年来因其显著提高生产效率和改进决策精度的能力,逐渐成为油气田开发领域的研究热点[3-5]。在无新钻井和措施工作量的油田开发场景中,生产优化作为闭环油藏管理的关键部分,作用尤为显著。生产优化不断融入最优化理论[6-7],采用物理或数值模型配合先进的优化算法,寻求复杂约束条件下的最佳开发调控方案。这不仅涉及算法设计,还需要将研究人员对油藏的动静态认识与多种智能方法系统地融合,进而对油水井进行可靠、高效和实时的注采优化调整。
如何准确把握各种生产优化方法(模型)的优劣并将其有机结合,以最小的成本实现最大化的产出,是当前闭环油藏管理面临的挑战之一。本文旨在提供一个系统的理念与框架,用于有效地整合智能生产优化技术,以期在保证油田高效、低成本运作的同时提升水驱开发效果。为此,本文分析当前常用油藏生产优化方法的理论基础与优缺点,通过探究各生产优化方法之间的内在联系,在闭环油藏管理的框架之下提出一种兼顾效率和精度、综合考虑实时性与长期性(可适应不同调整频率)、多种优化模型交互协同的智能综合生产优化理念、工作流及实施方法。最终,形成一种水驱油藏智能综合生产优化技术,为油藏管理人员提供更高效、智能的油藏管理模式。

1 常用油藏生产优化方法及其特点

现有油藏生产优化方法可分为基于油藏动态认识的生产优化方法、基于纯数据驱动代理的生产优化方法、基于简化物理模型的生产优化方法、基于油藏数值模型的生产优化方法4类(见表1),其中前3类方法无需地质建模。
表1 常用油藏生产优化方法的原理及其特点
类型 名称 基本原理 优势 劣势
基于油藏动态认识 油藏动态分析 依据油藏动态认识,总结出合理开发技术政策和注采调整策略 实施简单,可操作性强 精度低,依赖经验
基于
纯数据
驱动代理
机器学习代理 利用机器学习模型拟合注采数据,然后结合优化算法求解生产优化问题,训练和寻优过程一般是分离的 不需要地质模型;运算速度快,
可实时优化
长期预测能力较弱;主要依赖生产数据,质量控制困难;难以反映物理意义,可解释性差
基于
简化
物理
模型
电容电阻
模拟
利用基于电容电阻模型控制体的物质平衡原理和分流量模型拟合流量和含水率,并进行动态预测 数据需求量低,运算速度快,可给出关于注采对应关系的分析结果,可实时优化 长期预测能力较弱,多解性和不确定性较强
井间数值
模拟
利用基于连接单元的物质平衡和饱和度追踪算法拟合流量和含水率,并进行动态预测 数据需求量低,运算速度快,可给出关于注采对应关系和饱和度分布的分析结果,可实时优化 长期预测能力有限;多解性和不确定性较强;压力拟合困难
流动网络模拟 将多维储层空间简化为各井对之间的一系列一维流动网络,利用自动历史拟合算法拟合生产数据进而估计网格块属性 运算速度较快,可与模拟器耦合,能反映较复杂的物理过程 流动网络的生成需要预先给定网格属性(渗透率和孔隙体积),多解性和不确定性较强
基于
油藏
数值
模型
传统数值
模拟
调用有限差分模拟器预测人为设置的少量方案并进行优选 计算成本可控,可寻找较优解 数据量需求高,依赖于历史拟合后的数值模型以及经验认识,优化效率和精度低
降阶模拟 采用模态分解、平衡实现、子空间辨识、本征正交分解、轨迹分段线性化等降维方法生成对应于全阶油藏模拟模型的降阶模型,在保证合理描述油藏动态特征的前提下尽可能减少状态变量的数量,从而降低计算成本 物理意义明确,计算效率较全阶数值模型显著提升 对于复杂油藏模型存在精度损失,模型构建复杂,需要多次全阶模型模拟数据进行训练和验证,仍存在耗时性问题
模拟器
代理
利用代理优化算法调用模拟器求解生产优化问题,代理的训练和寻优过程交替进行 在有限模拟次数内全局寻优能力较强,可靠性高;计算成本较结合传统数模和优化算法的生产优化方法大大降低 优化变量较多时仍较为耗时;依赖于历史拟合后的数值模型
流线模拟 利用流线信息导出的流场诊断物理量(飞行时间、注采效率、可动剩余油等)优化流量分配 优化模拟次数少,计算成本较模拟器代理更低,优化效率高;依靠物理意义进行优化,可靠性高 依赖于历史拟合后的数值模型,需要进行流线追踪或生成流线
基于油藏动态认识的生产优化方法主要依靠从油藏动态认识中总结出来的经验化的油藏开发技术政策去筛选“问题井”,并结合特定的注采优化策略指导注采调整[8-9]。油藏动态认识来源于主控因素分析、定期动态分析及其他优化方法总结出的规律性认识。除了本身作为一种不依赖于预测模型的注采优化方法外,这类方法还可作为一种合理约束与其他油藏生产优化方法配合使用,或总结吸收其他生产优化方法得到的优化结果去更新油藏认识。
基于纯数据驱动代理的生产优化方法依赖于机器学习模型(如支持向量回归、长短期记忆网络或多个模型的组合等)[10-12]。机器学习模型在油藏管理领域内的应用主要集中于学习已有数据中的模式或规律,提升产量预测、数据采集、异常诊断、辅助决策等环节的智能化程度,而在油藏生产优化中的应用有所不足,这是因为纯数据驱动代理(而不是基于模拟器的代理)对于未来某一井网井位布置下或某一注采参数设置下的油水生产动态的预测能力仍旧不足[13-14]。分析认为,此类方法更适用于聚类、降维、特征提取、分类、回归等任务,未来需要与物联网、云计算、大数据分析等技术融合,通过构建对应于真实油藏系统的数字孪生模型,实现生产数据的实时交互与自动拟合,从而准确预测未来生产动态并优化注采系统。
基于简化物理模型的生产优化方法依靠简化物理模型运算高效的特性进行井间连通性快速评价与实时优化。简化物理模型主要包括电容电阻模型(Capacitance Resistance Model,CRM)[15-16]、井间数值模拟模型(Interwell Numerical Simulation Model,INSIM)[17-19]、流动网络模型(Flow Network Model,FNM)[20-21]等。它们在遵循基本物理定律(质量守恒)的前提下通过对油藏系统的离散和简化分解加速模拟和生产优化过程,目前在水驱油藏管理领域应用情况较好,未来逐步朝着多井型(如直井、斜井、水平井混合注采)、复杂注采制度(如注采井关停、生产井转注、酸洗、堵调等)、复杂储层介质(如断层、裂缝、非常规储层等)和复杂流体流动(如注气、水气交替、蒸汽驱等过程)的模拟与优化等方向发展。
基于油藏数值模型的生产优化方法包括传统数值模拟优选、模拟器代理[22-23]、降阶模拟[24-25]、流线模拟优化方法[26-30]等。其中,传统数值模拟优选方法的精度和效率较低,适用于油藏认识已经比较深入的情形。模拟器代理一般指有限差分模型的代理,其本质是代理优化算法[31-32],包括初始试验设计、代理模型及抽样策略3个核心。降阶模拟是一类基于模拟器的简化与加速模拟技术,通过本征正交分解、轨迹分段线性化等降维方法生成状态变量更少的降阶模型而降低模拟时间,但其低维空间构造、模型投影与降阶等过程较为复杂,数据收集与特征提取需进行多次全阶油藏模拟,较为耗时,因而在油藏生产优化领域的成熟应用仍需持续研究。流线模拟优化方法基于流场诊断指标(如注入效率[26]、飞行时间[27-29]等)评价注采井对或单井的生产效果,根据诊断指标与基准值的差异度进行注采流量分配优化,对注采井数不敏感,且在特定的“流量优化准则”下仅需1次模拟便可完成所有优化步的注采参数优化,可极大降低计算成本。这些基于油藏数值模型的方法主要朝着加速模拟、与机器学习技术的结合、层系/井网井位/注采参数/措施调整等一体化优化以及考虑地质模型不确定性的鲁棒优化[33-34]等方向发展。

2 油藏生产优化方法的改进

鉴于简化物理模型中CRM在短期实时优化上的出色表现以及油藏数值模型(模拟器代理与流线模拟)在中长期优化上的成功应用,本节对CRM、模拟器代理及流线模拟优化方法进行改进,为各方法之间的耦合及智能综合生产优化方法的提出奠定基础。

2.1 电容电阻模型改进

本文在CRM的基础上考虑控制体内饱和度变化引起的模型参数变化,提出时变电容电阻模型(Time-Varying CRM,TV-CRM)。该模型整合了井底流压数据,可应用于水驱开发全过程而不局限于某个开发阶段。
在CRM控制体中考虑油水相物质平衡:
q o B o = V p S o t + S o C o + C p d p ave d t
( W q w ) B w = V p S w t + S w C w + C p d p ave d t
将以上两式相加,得到TV-CRM的基本微分方程:
W B w q t = V p C t d p ave d t
对(3)式分离变量积分,并考虑由CRM控制体内饱和度变化引起的模型参数变化,得到TV-CRM的流量控制方程:

q t t J t e t τ t = q t t 0 J t 0 e t 0 τ t 0 + t 0 t e ξ τ ξ W ξ B w τ ξ J ξ d ξ

t 0 t e ξ τ ξ d p wf ξ d ξ d ξ
其中 τ = V p C t / J S w
将(3)式代入(2)式并进行隐式差分离散,得到TV-CRM的饱和度控制方程:
S w t k + 1 = S w t k + t k + 1 t k V p W q w B w 1 + t k + 1 t k V p C w + C p C t W B w q t
对于(4)式和(5)式,可按控制体的类型(如以油藏整体为控制体(CRMT)、以生产井为中心的控制体(CRMP)、以注采井对为基准的控制体(CRMIP))进一步推导相应的形式。基于上述方程,可直接利用生产数据进行历史拟合。通过历史拟合过程求解模型参数fijVp,j(t0)、Jj(t0)、Sw,j(t0)。模型中Sw的变化表征了CRM控制体对应的产能指数(J)、压缩系数(Ct)、时间常数(τ)、体积系数(BoBw)等参数的演变,故称该模型为时变电容电阻模型。
在进行历史拟合之后可借助TV-CRM结合分流量模型预测短期的油水产出动态。TV-CRM生产优化流程如图1所示,结合优化算法不断更新待求的注入量与井底压力参数,使得目标函数(如净现值NPV)最大化。
图1 TV-CRM生产优化流程示意图

2.2 模拟器代理优化算法改进

模拟器代理方法利用代理优化算法调用数值模拟器进行目标函数求值运算,进而实施生产优化。代理优化算法中初始实验设计方法通常为拉丁超立方抽样(LHS)及其各种变体或均匀随机抽样。对于代理模型,本文推荐采用径向基函数(RBF)插值模型或包含该模型的组合代理,不推荐采用复杂的神经网络,因为代理是动态更新的,其更新代价应足够小,不需要一开始就精确地近似真实目标函数,而是通过抽样策略生成的潜力候选点去不断搜索全局最优解。
本文在抽样策略中加入了两种生成潜力候选点的方式:可行筛选法和优化求解法。可行筛选法利用各种抽样方法在原生产优化问题的有界域内及当前最优解附近生成足够数量的样本点,然后采用罚函数(见(6)式)筛选可行点,最后选取代理响应最小或综合价值最高的点作为潜力候选点。优化求解法则采用最优化算法(如粒子群优化(PSO)、遗传算法(GA)、差分进化(DE)、序列二次规划(SQP)等)求解确定潜力候选点所对应的最优化问题(见(7)式),直接得到可行的潜力候选点。另外,本文还在抽样策略的优化求解法中加入了新的排序分组进化算法(SGBE)和随机概率随机扰动算法(SPSP),能够快速搜索全局最优解。
p f x = b = 1 m min 0 , g b x 2 + a = 1 l h a x 2
min S sur x or f cv x s . t . l b x u b h a x = 0 1 a l g b x 0 1 b m
其中 f cv x = C bal S ˜ sur x + 1 C bal D ˜ dis x

2.3 流线模拟优化方法选择

基于注采效率的流线模拟优化方法主要适用于见水后水驱开发的中后期,有利于稳油控水;而基于飞行时间的流线模拟优化方法则是让各生产井处的注入水到达时间尽量相近,从而实现均衡波及,此方法对开发初期更为有效。本文利用可动剩余油及经济效益进行流场诊断并优化注采流量,对水驱开发全生命周期皆适用。
以注采井对上的流线信息为例,基于流线模拟器或有限差分数值模拟器的流线后处理工具所生成的相关流线信息,可统计出沿每条流线的剩余油饱和度分布。注采井对(i, j)上第n条流线的可动剩余油体积可表示为:
V MRO , i , j , n = z = 1 S i , j , n 1 S or S w , i , j , n , z τ i , j , n , z 1 τ i , j , n , z q i , j , n d τ tof
根据流线上的可动剩余油体积和流量,可定义注采井对的注入平衡时间为:该注采井对上的可动剩余油体积与井对注入端的流量之比;可定义注采井对的采出平衡时间为:该注采井对上可动剩余油体积与井对采出端的流量之比。基于可动剩余油统计的注入/采出平衡时间及相应平均时间的表达式为:
E MRO, i , j = n = 1 N sl , i , j V MRO , i , j , n / q i , j
E MRO, ave , i = i = 1 N inj j = 1 N pro n = 1 N sl , i , j V MRO , i , j , n / i = 1 N inj W i
E MRO, j , i = n = 1 N sl , i , j V MRO , i , j , n / q j , i
E MRO, ave , j = i = 1 N inj j = 1 N pro n = 1 N sl , i , j V MRO , i , j , n / j = 1 N pro q j
根据注入/采出平衡时间与相应平均时间的差异度可以确定井对流量的调整方向。例如,EMRO,i,j超出EMRO,ave,i越多,表明注采井对(i, j)上的驱替越不足,可能由剩余油量大但注入量小引起,因而应增加该注采井对的注入流量(qi,j)。井对流量的增减幅度应根据具体的流量优化准则确定。当井对注采流量优化完成以后,还需通过叠加将井对流量转换至单井水平,并在总流量约束下进行缩放。
考虑经济性,还可定义流线上的实时收益为:
R sl , i , j = n = 1 N sl , i , j V o , i , j , n P o V w, i , j , n P w
其中
V o , i , j , n = z = 1 S i , j , n 1 S w , i , j , n , z S or B o , i , j , n , z τ i , j , n , z 1 τ i , j , n , z q i , j , n d τ tof

V w , i , j , n = z = 1 S i , j , n S w , i , j , n , z S wc B w , i , j , n , z τ i , j , n , z 1 τ i , j , n , z q i , j , n d τ tof

注采井对(i, j)的注入端和采出端的收益平衡时率及相应平均时率分别为:
E i , j = R sl , i , j / q i , j P wi Δ t
E ave, i = i = 1 N inj j = 1 N pro R sl , i , j / i = 1 N inj W i P wi Δ t
E j , i = R sl , i , j / q j , i P lp Δ t
E ave, j = i = 1 N inj j = 1 N pro R sl , i , j / j = 1 N pro q j P lp Δ t
同理,根据注采井对注入端/采出端收益平衡时率及相应平均时率的差异度可以确定井对流量的调整方向,收益平衡时率超出平均值越多,所应增加的流量越多。另外,还可以从单井水平上直接定义这些基于流线信息的流场诊断指标,此处不再赘述。

2.4 流线代理优化

模拟器代理可对模拟器所能模拟场景中的决策变量进行优化,适用性强,但在井数增多时注采优化的计算代价过高;而流线模拟优化方法基于流场诊断物理量进行优化,对注采井数不敏感,但目前研究以注采参数优化居多,适用范围受限。因此,本文考虑将模拟器代理与流线模拟优化方法相结合,在代理优化算法的框架下执行流线模拟优化步骤。将该方法称为流线代理优化,可解决高维注采优化问题,改善流线模拟优化方法的精度并扩展其适用范围。流量优化准则中的无界权重准则可表示为:
w = β / β ave α = Q opt / Q ini
(18)式中β为井对或单井流场诊断指标的归一化值,βave为井对或单井流场诊断指标平均值的归一化值,α决定了β偏离βavew变化的剧烈程度。当α=1时,wβ线性变化。β βavew随着α的增大而减小,β βavew随着α的增大而增大。
在流线模拟优化方法中,用于优化流量的一种有界权重准则可表示为:
w = 1 + w min 0 β β min 1 + w min β ave β R β ave α β min β β ave 1 + w max β β ave R β ave α β ave β β max 1 + w max β max β 1
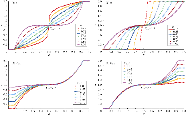
其中 β min = β ave 1 R β max = β ave 1 + R
βave=0.5为例,图2显示了有界权重准则中w-β关系曲线对αRwminwmax的敏感性。α越小,相同β的井对或单井流量变化越剧烈;R影响非极限权重对应的β的范围,[βmin, βmax]区间长度随R的增加而增大,其变化范围为0~2βavewmin影响w的下界,随着wmin的增大,w的下界由0趋近于1;wmax影响w的上界,随着wmax的增大,w的上界由1逐渐趋于2。
图2 有界权重准则中w-β关系曲线对αRwminwmax的敏感性(基准值取α=2.5,R=0.85,wmin=-1,wmax=1)
(18)式与(19)式表明,无界权重准则中α和有界权重准则中αRwminwmax等参数影响流量优化权重w的确定,进而影响井对或单井的流量分配。基于前述流线代理优化方法一般能取得较好的增油控水效果。如有必要,可采用本文中代理优化算法对流量优化准则中的可变参数进行优化。

3 智能综合生产优化理念与方法

3.1 智能综合生产优化理念

由于地下油气藏系统的复杂性以及现有油藏描述手段对地质不确定性的表征能力不足,即便是最精细的油藏数值模拟模型也无法完全刻画油藏的非均质性并复现油藏的生产动态,单一优化方法应用于实际油藏时会放大其固有缺陷。因此,需要深刻理解各种生产优化方法的优劣,秉承各方法(模型)之间良性耦合交互的综合生产优化理念,考虑油藏开发的全生命周期,注重中长期开发技术政策的编制与优化,在其约束下实施短期实时注采优化。本文将这种借助多种优化模型的交互作用加速各模型拟合与优化进程的生产优化方法称为智能综合生产优化方法,其智能性主要体现在智能算法在模型拟合与优化过程中的应用,可自动寻求最优调控方案。
①充分发挥各优化方法的优势,运用于各自适用的场景。例如,基于油藏动态认识的生产优化方法操作简便,适用于高频次的调控;简化物理模型无需地质建模,仅依赖日常生产数据,计算效率高,适用于短期实时优化;基于油藏数值模型的生产优化方法因需要地质建模,长期预测的可靠性较强,适用于中长期开发技术政策的制定。
②发挥优化模型间的耦合交互作用,提升拟合与预测的效率和精度。对油藏的深刻认识是油藏生产优化的基础,而油藏模型在建模和拟合的过程中,可辅助研究人员深化或修正对油藏动静态特征的认识,同时将油藏的动静态认识融入模型中,从不同角度刻画油藏非均质性,从而更准确地预测油藏未来的生产动态。不同优化模型之间相互耦合,可加速模型拟合过程,提高模型预测精度。
③重视开发技术政策对模型优化过程和结果的约束。开发技术政策不仅是指导油田开发和管理的基本原则,也是油藏模型优化和决策制定的关键约束。技术政策涵盖了从注采策略、井网布局到生产措施等多个方面,其对模型的约束作用确保了模型优化过程符合油田的实际开发目标和技术条件,避免了盲目追求模型精度和效果而忽视实际可操作性和经济效益的问题。在遵循技术政策的前提下,基于多种优化模型进行智能生产优化研究,实时调整开发策略,以适应油田开发过程中的变化和挑战。
④实时跟踪油水井生产动态,及时迭代优化模型与技术政策。通过实时数据采集系统和先进的数据分析技术,工程师可实时监控单井的流量、压力、含水等关键参数,及时预警生产问题。基于这些实时数据,利用智能算法对优化模型和技术政策进行迭代更新和优化,使之能够匹配油藏的实时动态和变化。这种动态的管理方法能够确保技术政策与各模型始终处于最优状态,提高优化结果对油田的响应速度和适应能力,确保油田生产的高效稳定。

3.2 智能综合生产优化方法

随着油田开发历程的推进和油藏研究的深化,对应的智能生产优化可能采用不同的工作流程。在研究早期,优化建议主要依赖于研究人员的经验和对油田生产动态的理解。随着不同智能生产优化模型的引入,研究者能够借助这些模型获得更为深入、可靠的认识,并逐步开展定量的智能生产优化研究。不同研究情景下应采用不同的生产优化工作流程。

3.2.1 基于简化物理模型的短期实时注采优化

简化物理模型可直接基于生产动态数据快速评价井间连通性,分析注采对应关系以深化油藏动态认识,同时也能高效、智能地协助研究人员提出实时注采优化建议。但因其缺乏地质基础,在中长期预测的可靠性上有所欠缺,故主要适用于短期实时优化场景,或应用于油田开发初期数据不足、油藏地质模型尚未建立、油藏数值模型尚未拟合完成等情形。
图3展示了基于简化物理模型的短期实时注采优化流程,主要涉及油藏动态认识与简化物理模型的相互作用。首先,基于主控因素分析、定期动态分析、节点系统分析等得到油藏动态认识并制定中长期开发技术政策。其次,建立简化物理模型并通过与油藏动态认识的交互完成模型拟合。油藏动态认识主要为模型参数的历史拟合设置约束,例如,设置CRM连通系数与初始产能指数上界,设置CRM和INSIM的总孔隙体积约束,为CRM连通系数与INSIM的初始传导率与控制体积给定迭代初值;反过来,由简化物理模型得到的连通性评价结果又辅助油藏动态认识的更新,如CRM的井间连通系数与INSIM的连接传导率可在动态分析时指导注采对应关系的定量识别。然后,在技术政策约束下实施实时注采优化,这时油藏动态认识可为优化变量提供参考初值,而优化结果也为油藏认识补充信息来源。最后,根据优化结果结合“问题井”诊断为现场的日度、周度调整提供参考(如提注/降注、提液/降液、改变生产策略或进行堵调作业),在执行注采调整后及时跟踪监测数据,返回主控因素分析、定期动态分析等日常任务,从而进入新一轮的优化循环。需注意的是,上述步骤不是孤立的,有可能同时进行,下文亦如此。
图3 基于简化物理模型的短期实时注采优化流程

3.2.2 基于油藏数值模型的中长期生产优化

在完成目标油藏地质建模后,可依据实验资料和生产动态数据,建立油藏数值模型(有限差分模型或流线模拟模型),此过程数据需求高、计算代价较大,但具备长期预测能力,主要适用于中长期优化策略及开发技术政策的制定或修正。
图4显示了基于油藏数值模型的中长期生产优化流程,主要涉及油藏动态认识与油藏数值模型的相互作用。同样地,首先需总结油藏动态认识与开发技术政策。其次,建立油藏数值模型并通过与油藏动态认识的交互完成模型拟合。在数值模拟历史拟合阶段,主要根据油藏动态认识借助数据同化算法(如集合卡尔曼滤波(EnKF)、多重数据同化集合平滑算法(ES-MDA))自动调整网格渗透率或传导率、相渗参数、水体参数等,依据单井油水产量拟合误差判断调整方向的合理性,而拟合反馈与数模输出的注采流量分配关系可辅助动态分析,从而不断更新油藏动态认识。然后,利用数值模型进行动态预测与智能调控优化。可采用前文的代理优化算法或流线模拟优化方法调用拟合后的油藏模型自动输出优化方案,指导技术政策的更新并给出中长期生产优化建议。此时优化过程要考虑技术政策和油藏认识的约束,而优化结果也辅助油藏认识的更新。最后,实施注采调整并反馈。
图4 基于油藏数值模型的中长期生产优化流程

3.2.3 中长期优化与短期优化结合的综合生产优化

前文的单一场景主要体现的是油藏动态认识同简化物理模型、油藏数值模型各自的耦合与交互,智能综合生产优化方法是前述情形的整合与深化,适用于既有对确定性要求较高的中长期优化需求、也有对实时性要求较高的短期优化需求的复合应用场景,图5展示了其工作流。
图5 中长期优化与短期优化结合的综合生产优化流程
首先,总结油藏动态认识与开发技术政策。其次,通过油藏动态认识、简化物理模型、油藏数值模型三者的交互完成模型拟合。除了简化物理模型、油藏数值模型分别与油藏动态认识的交互外,此步骤还考虑了简化物理模型与油藏数值模型的相互作用:一方面,基于日常生产数据,通过自动历史拟合算法或优化算法(梯度类、近似梯度类、无梯度类智能算法)求解历史拟合误差最小化问题,快速确定简化物理模型的模型参数,借助CRM的连通系数和控制体积、INSIM的连接单元传导率初值和控制体积初值等为油藏数值模型的历史拟合提供参考;另一方面,基于油藏动态认识判断此前的地质模型是否需要修正或重新进行地质建模,采用自动历史拟合技术(如机器学习代理结合数据同化算法)自动反演数模参数,以使其与新增生产数据的注采响应一致,之后利用拟合好的油藏数值模型得到基于流线的流量分配关系,从而校准由简化物理模型导出的连通性。然后,在油藏动态认识与技术政策约束下分别由简化物理模型和油藏数值模型得到短期和中长期优化调整建议,将其共同作为实际生产优化调整的参考依据,指导现场不同频率需求的注采调整。同时,这些生产优化结果又与主控因素分析、定期动态分析等一起形成新的油藏动态认识。最后,对油藏实施开发调控后,进行实时动态监测并反馈优化效果,从而进入新一轮的智能生产优化闭环。

4 智能综合生产优化技术应用

D油田K油藏是中东地区的一个海相生物碎屑灰岩油藏,探明地质储量约3.5×108 t,采用正对排状水平井井网“底注顶采”开发。在油藏压力降至泡点压力附近后,转入全面注水开发阶段,面临无水采油期短、含水上升快、注水低效无效循环等问题,恢复油藏压力与遏制含水上升的生产需求难以平衡。因此,将本文提出的智能综合生产优化技术应用于该油藏。

4.1 主控因素分区及开发技术政策

该油藏为弱边水薄层油藏,储层孔隙度17%~25%,平均渗透率约25×10-3 μm2,储层有效厚度约20 m,上部发育一个平均厚度0.8 m的高渗层,其渗透率较储层平均渗透率高1~2个数量级。通过水驱开发前后的过路井电测资料,明确水淹层为高渗层及其相邻层位,确定高渗层为该油藏注水开发的主控因素。同时,基于地震、钻井、测井和生产资料明确该油藏局部存在断裂、高黏流体,部分区域发育边底水,这些因素与高渗层共同作用,进一步加剧了注入水的低效无效循环。
以K油藏A区块为例,按高渗层、高黏油、断裂带、边底水4个主控因素将其划分为“高渗层+断裂带”、“高渗层北部”、“高渗层南部”、“高渗层+高黏油”、“高渗层+边底水”5个子区域进行分类管理,如图6所示。基于研究人员认识和传统油藏工程方法制定了开发技术政策,如表2所示。
图6 K油藏A区块主控因素分区
表2 K油藏A区块基于主控因素分区的合理注采比
主控因素
分区
不同压力、不同含水率条件下的合理注采比
压力大于21.37 MPa(3 100 psi) 压力为20.68~21.37 MPa(3 000~3 100 psi) 压力小于20.68 MPa(3 000 psi)
含水率
小于65%
含水率为
65%~80%
含水率
大于80%
含水率
小于65%
含水率为
65%~80%
含水率
大于80%
含水率
小于65%
含水率为
65%~80%
含水率
大于80%
高渗层+断裂带 0.31 0.29 0.23
高渗层北部 0.75 0.73 0.70 0.85 0.83 0.81 0.92 0.89 0.86
高渗层南部 0.97 0.95 0.93 1.02 1.01 0.98 1.05 1.03 1.02
高渗层+高黏油 0.98 0.97 0.95 1.01 0.99 0.98 1.05 1.03 1.02
高渗层+边底水 0.87 0.85 0.83 0.90 0.88 0.87 0.99 0.97 0.96

4.2 简化物理模型建模与拟合

在前期主控因素分析和动态分析得到的油藏认识的指导下,考虑CRM的数据需求最低(INSIM类方法还需要少量地质信息的初始估计),首先对K油藏A区建立TV-CRM,设置井间连通系数、控制体饱和度、产能指数、控制孔隙体积的范围,利用注采数据结合梯度/近似梯度类优化算法(如SQP、同步扰动随机近似(SPSP)、集合优化(EnOpt)和随机单纯形近似梯度(StoSAG)等)或前文代理优化算法,快速自动反演TV-CRM模型参数,得到井间连通关系,如图7a所示;图7b中由数模结果导出的井间连通关系与TV-CRM的结果相近,说明了TV-CRM的有效性。这种利用基于简化物理模型的连通性评价方法可在仅利用生产数据和前期油藏动态认识的条件下迅速判断注采对应关系,修正了之前线性注采井排将注入量均分给正对生产井的偏差。地下产液量和含水率拟合效果如图8所示。图9所示的控制孔隙体积与产能指数可为油藏动态分析提供关于生产井排驱体积以及产液能力的依据。
图7 K油藏A区块井间连通关系(俯视图)
图8 部分生产井的产液量与含水率拟合情况
图9 TV-CRM历史拟合推断的部分生产井信息

4.3 简化物理模型与油藏数值模型的耦合交互

图7a所示的井间连通关系的指导下,对油藏数值模型井控区域的传导率场进行精细调整,通过增大连通系数大的相关网格的传导率加快数值模拟的拟合进程。以图10中K油藏的1个典型井组为例,经INSIM自动历史拟合后,识别出生产井除了与正对井有较强的连通外,还与斜向对应的注水井具有较高的连通传导率与较小的连通体积(图10中INJ10井与PRO14井),说明斜向对应的两口井间具有较好的注采响应关系,可能存在水窜通道。在数值模拟拟合过程中,将相关井间网格的高渗层条带渗透率上调约3倍后,油井含水率拟合效果大幅度改善。后期水平井吸水剖面测试结果也证实了INJ10与PRO14之间存在水窜通道,注水井INJ10对应6口生产井,INJ10的吸水剖面测试结果显示其强吸水段正对PRO14的高渗井段,该段吸水量约占总注入量的40%。
图10 简化物理模型优势通道识别结果辅助油藏数值模拟历史拟合调整示例

4.4 智能综合生产优化

4.4.1 基于简化物理模型的实时注采优化

在完成TV-CRM历史拟合后,根据开发技术政策界限设置单井注入量的下界和上界分别为0和344 m3/d,总注入量上界为7 300 m3/d,生产井井底流压下界为16.54 MPa。由于简化物理模型的运算速度快,可直接采用全局寻优算法(如GA、PSO、DE等)求解NPV最大化问题,也可利用前述梯度/近似梯度算法或智能代理优化算法进行求解。开展基于TV-CRM的实时注采优化,得到12个优化步(步长30 d)的生产制度,如图11所示。其中注采液量的步进式变化可结合现场含水率、压力监测数据为注采调整提供参考,流量变化可改善原先流线相对固定区域的水驱效果。
图11 TV-CRM实时注采优化方案

4.4.2 基于油藏数值模型的中长期生产优化

K油藏采用一次成型的水平井井网开发,井网主体为800 m长水平段的水平井,井距100 m,油水井排距300 m,初始井网的水驱储量控制程度已超过80%,井网加密无经济性,仅在油水边界附近的低储量丰度区域有一定的扩边潜力。以水平段A靶点坐标、水平井长度和水平段走向为决策变量优化扩边井井位,其中A靶点坐标控制在设定范围内,水平段长度控制在500~2 000 m,水平段的平面走向为70°~250°,以158.98 m3/d定液量生产10年,综合钻井成本、产油利润与产出液处理费用设立NPV为目标函数。经智能代理优化算法调用数百次模拟,最终获得其最优井轨迹设计方案如图12a所示。
图12 基于模拟器代理的井位优化与堵水调剖方案模拟
基于历史拟合后的井间连通性模型,根据井间流量分布与各井的含水率信息,计算注采井间的劈分系数及注水井的注水效率,从而识别潜在的优势渗流通道,如图12b所示。此外,综合动静态资料和油藏数值模型明确堵水调剖目标井,基于数值模型实现堵调后的生产动态预测,如图12c所示。
对于K油藏,注采优化是改善开发效果的首选对策,基于油藏动态认识,确定每个分区的压力、注采比、含水率范围。将基于主控因素分区的水驱开发技术政策作为油藏数值模型的约束条件开展中长期生产优化研究。
以A区高渗层北部主控因素区的部分井为例,高渗层水窜导致注水低效无效循环,目前已进入中高含水期,单井含水率为50%~90%,且含水率对注入量的变化十分敏感。采用智能代理优化算法对该区域的22口注入井和17口生产井的流量设置进行自动优化,设置初始实验设计方法为LHS、代理模型为立方型径向基函数插值模型、抽样策略为考虑响应面准则和距离准则的综合价值抽样,设置初始样本点为2(d+1)个(d为优化变量个数),代理更新所需样本点为1个,最小采样距离为1×10-6。设定该区块总注入量上界为5 087.58 m3/d,总产液量上界为4 062.11 m3/d,生产井含水率上界为90%、井底流压下界为16.54 MPa,区块平均压力约束范围为21.37~22.06 MPa,区块含水率上界设为75%,内部井注入量范围为158.98~317.94 m3/d,边部井注入量范围为79.49~158.98 m3/d,单井产液量范围为158.98~317.94 m3/d,预测期为8年。优化前后的注采参数和开发指标对比情况如图13所示,整体上提高了第4排的注入量,下调了第6排的注入量,并对部分特高含水井的产液量进行了下调,减少了注入水在高渗层更为发育区域的低效无效循环,提高了弱水淹区域的注采液量水平,在整体注采液量相近的情况下,区块采出程度较优化前提高约1个百分点。
图13 基于模拟器代理的单井注采液量优化与开发效果对比(图a中蓝色、绿色方块的长短表示注采液量的相对大小)
在油藏数值模型的自动历史拟合完成后,按前述基于流线可动剩余油(或收益)统计的流线代理优化方法对K油藏进行为期1年的优化调整。其中A区南部部分井在优化前后的流线分布如图14所示,可见优化后剩余油富集区域的流线分布变密,而剩余油较少区域的流量分配减少。
图14 对目标区域实施流线模拟优化前后的流线分布

4.5 应用效果

基于上述智能综合生产优化技术,于2019年开始对D油田K油藏进行生产优化模型的自动拟合与实时注采优化研究。结合定期动态分析,累计优化调整油水井工作制度3 200余井次,压力保持程度由70%上升至77%,含水上升率由4.9%下降至-1.4%,月度递减率由0.9%下降至-2.9%,年均增产原油58×104 t。在无新井工作量且单纯依靠智能注采调控的情况下实现了低成本控水增油目标,极大改善了中高含水阶段的水驱开发效果。图15为应用智能综合生产优化技术前后K油藏A区块实际含水率随采出程度的变化,在采出程度超过10%后的综合生产优化阶段,含水率短暂上升后长期稳定在70%以下,控水效果明显。
图15 K油藏A区块的含水率随采出程度变化曲线
需要注意的是,不同的生产优化模型、优化算法以及算法参数的设置都可能对优化结果产生影响,这种差异性是优化过程本身所决定的。智能生产优化的目的是实现计算过程的自动化和智能化,但具体作业实施仍需辅以专业人员的判断,因而在实际操作中需要结合油藏认识确定最终注采调整指令的下达,这也是需要进行前期主控因素分析、定期动态分析以总结地质油藏认识并不断更新开发技术政策的意义。
就计算效率而言,CRM和INSIM的计算效率最高,其次是流线模拟优化与流线代理优化方法,然后是模拟器代理优化方法,最后是传统数值模拟优选。对于简化物理模型,其单次模拟的耗时很短,在规定模拟次数的情况下优化算法选择对其效率的影响不大;对于基于油藏数值模型的方法,流线模拟优化方法的计算效率最高,在注采流量优化准则既定的条件下仅需1次模拟便可得到优化方案;模拟器代理优化方法的计算效率与优化变量(如注采井数)有关,一般模拟次数为优化变量数量的3~5倍时可得到良好的优化结果;传统数值模拟优选则需要大量的模拟才能找到较优解,计算效率最低。

5 结论

油藏生产优化方法可分为油藏动态认识类、纯数据驱动代理类、简化物理模型类以及基于油藏数值模型的优化方法(如模拟器代理、流线模拟)4类。对于不同的应用场景,存在不同的最佳生产优化模型。基于油藏动态认识的生产优化方法实施简便,适合于高频次的调控场景如日度注采调控,也可作为其他生产优化方法应遵循的约束条件。简化物理模型数据需求低、速度快,更适用于短期实时优化,也可在油田开发初期数据不足或数值模拟模型不可用的条件下使用。模拟器代理优化和流线模拟优化方法依赖于数值模型的历史拟合,计算代价相对较大,可靠性好,更适用于长期优化策略的制定。二者均需在油藏工程视角的合理约束下进行优化才具有实用价值。纯数据驱动模型可仅依赖生产数据,计算效率高,但缺乏物理内涵,其在闭环生产优化中的应用仍需进一步探究。耦合油藏动态认识、简化物理模型、油藏数值模型的综合生产优化方法适用于油田开发中后期存在短期实时优化和中长期优化需求的复合应用场景。
各生产优化方法(模型)之间良性耦合交互的综合生产优化理念,考虑了油藏开发全生命周期,注重油藏中长期开发技术政策的编制与优化,在中长期开发技术政策的约束下实施短期实时注采优化调整,兼顾多种优化模型以提升生产优化的准确性与时效性。
智能综合生产优化方法将不同模型的结果和认识耦合起来,促进模型构建与拟合,可提升油藏生产优化的精度与效率。该方法已成功应用于中东大型水驱油田D油田K油藏,显著改善了中高含水期油藏水驱开发效果,验证了该方法的可靠性和实用性。
符号注释:
a——等式约束的序号;b——不等式约束的序号;Bo——原油体积系数,m3/m3Bo,i,j,n,z——注采井对(i, j)上第n条流线的第z段的原油体积系数,m3/m3Bo,j——生产井j的原油体积系数,m3/m3Bw——水体积系数,m3/m3Bw,i,j,n,z——注采井对(i, j)上第n条流线的第z段的水体积系数,m3/m3Bw,j——生产井j的水体积系数,m3/m3Cbal——平衡代理模型响应和未来搜索能力的折衷系数,取0~1,可按迭代次数循环选定固定序列中的值;Co——原油压缩系数,Pa-1Cp——岩石压缩系数,Pa-1Ct——综合压缩系数,Pa-1Ct,j——生产井j流体的综合压缩系数,Pa-1Cw——水的压缩系数,Pa-1 D ˜ dis ( x )——样本点x到已求值样本点最小距离的归一化值;Eave,i——所有注采井对注入端平均的收益平衡时率,f;Eave,j——所有注采井对采出端平均的收益平衡时率,f;Ei,j——注采井对(i, j)上注入端的收益平衡时率,f;Ej,i——注采井对(i, j)上采出端的收益平衡时率,f;EMRO,ave,i——所有注采井对的平均注入平衡时间,s;EMRO,ave,j——所有注采井对的平均采出平衡时间,s;EMRO,i,j——注采井对(i, j)的注入平衡时间,s;EMRO,j,i——注采井对(i, j)的采出平衡时间,s;fcv(x)——决策变量x所对应的综合价值评估函数,综合考虑了代理响应与搜索能力的影响;fij——注入井i对生产井j的连通系数,无因次;Fo,j——qo,jqt,j之比,无因次;Fw,j——qw,jqt,j之比,无因次;gb(x)——关于决策变量x的不等式约束;ha(x)——关于决策变量x的等式约束;i——注入井编号;j——生产井编号;J——产能指数,m3/(Pa·s);Jj——生产井j的产能指数,m3/(Pa·s);k——时间步序号;l——等式约束的个数;lb——生产优化问题中有界约束的下界;m——不等式约束的个数;Mj——生产井j与流度相关的物理量,(Pa·s)-1Ninj——注入井的数量;Npro——生产井的数量;Nsl,i,j——连接注采井对(i, j)的流线总数;NPV——净现值,元;Nt——优化步数;pave——平均地层压力,Pa;pave,j——生产井j的平均地层压力,Pa;pf(x)——决策变量x的罚函数;pwf——井底压力,Pa;pwf,j——生产井j的井底压力,Pa;Plp——单位体积产液量的生产成本,元/m3Po——单位体积原油的经济价值,元/m3Pw——单位体积地层水的处理费用,元/m3Pwi——单位体积注入量的注入成本,元/m3qi,j——注采井对(i, j)的注入端流量,m3/s;qj——生产井j的产液量,m3/s;qj,i——注采井对(i, j)的采出端流量,m3/s;qi,j,n——注采井对(i, j)上第n条流线所携带的流量,m3/s;qo——地面产油量,m3/s;qt——地下产液量,m3/s;qt,set,jqt,cal,j——生产井j地下产液量的预设值和模型计算值,m3qw——地面产水量,m3/s;qw,jqo,jqt,j——生产井j的地面产水量、地面产油量、地下产液量,m3/s;qw,set,j——生产井j地面产水量的预设值,m3/s;Qini——优化前的流量,m3/s;Qopt——优化后的流量,m3/s;R——控制β计算范围的常数,0<R≤1;Rsl,i,j——注采井对(i, j)的流线实时收益,元;Si,j,n——注采井对(i, j)上第n条流线的总段数;So——含油饱和度,%;Sor——残余油饱和度,%;Ssur(x)——决策变量x所对应的代理响应值; S ˜ sur ( x )——代理模型在样本点x处响应的归一化值;Sw——含水饱和度,%;Swc——束缚水饱和度,%;Sw,i,j,n,z——注采井对(i, j)上第n条流线的第z段的含水饱和度平均值,%;Sw,j——生产井j控制体内的含水饱和度,%;t——时间,s;Δt——时间步的步长,s;t0——基准时刻,s;tk——第k个时刻,s;ub——生产优化问题中有界约束的上界;VMRO,i,j,n——注采井对(i, j)上第n条流线的可动剩余油体积,m3Vo,i,j,nVw,i,j,n——注采井对(i, j)上第n条流线的可动剩余油、水的地面体积,m3Vp——孔隙体积,m3Vp,j——生产井j控制的孔隙体积,m3w——流量优化权重;wmax——β>βave时线性缩放比例,取 ( 0 , 1 ]wmin——β<βave时线性缩放比例,取 [ 1 , 0 )W——地面注入量,m3/s;Wi——注入井i的注入量,m3/s;x——决策变量向量;z——流线上微元段序号;α——权重指数,α>0;β——井对或单井流场诊断指标的归一化值;βave——井对或单井流场诊断指标平均值的归一化值;βmax——β计算范围的上界;βmin——β计算范围的下界;ξ——时间变量,s;τ——时间常数,s;τi,j,n,z-1τi,j,n,z——注采井对(i, j)上第n条流线的第z段的飞行时间起点和终点,s;τj——生产井j的时间常数,s;τtof——流线飞行时间坐标,s。
[1]
BROUWER D R, NÆVDAL G, JANSEN J D, et al. Improved reservoir management through optimal control and continuous model updating[R]. SPE 90149-MS, 2004.

[2]
JANSEN J D, DOUMA S D, BROUWER D R, et al. Closed-loop reservoir management[R]. SPE 119098-MS, 2009.

[3]
HOU Jian, ZHOU Kang, ZHANG Xiansong, et al. A review of closed-loop reservoir management[J]. Petroleum Science, 2015, 12: 114-128.

[4]
SCHIOZER D J, SANTOS A A S, SANTOS S M G, et al. Model-based decision analysis applied to petroleum field development and management[J]. Oil & Gas Science and Technology - Rev. IFP Energies Nouvelles, 2019, 74(46): 1-20.

[5]
MIRZAEI-PAIAMAN A, SANTOS S M G, SCHIOZER D J. A review on closed-loop field development and management[J]. Journal of Petroleum Science and Engineering, 2021, 201: 108457.

[6]
NOCEDAL J, WRIGHT S J. Numerical Optimization[M]. 2nd Ed. New York: Springer Science & Business Media, LLC, 2006.

[7]
CONN A R, SCHEINBERG K, VICENTE L N. Introduction to derivative-free optimization[M]. Philadelphia: Society for Industrial and Applied Mathematics, 2009.

[8]
李勇, 胡丹丹, 李茜瑶, 等. 一种油藏注水开发过程中注采参数优化调整的方法: CN202111652374.8[P]. 2023-07-11.

LI Yong, HU Dandan, LI Qianyao, et al. A method for optimizing and adjusting injection-production parameters during reservoir water injection development process: CN202111652374.8[P]. 2023-07-11.

[9]
SONG Xinmin, LI Yong. Optimum development options and strategies for water injection development of carbonate reservoirs in the Middle East[J]. Petroleum Exploration and Development, 2018, 45(4): 679-689.

DOI

[10]
ZUBAREV D I. Pros and cons of applying proxy-models as a substitute for full reservoir simulations[R]. SPE 124815-MS, 2009.

[11]
张凯, 赵兴刚, 张黎明, 等. 智能油田开发中的大数据及智能优化理论和方法研究现状及展望[J]. 中国石油大学学报(自然科学版), 2020, 44(4): 28-38.

ZHANG Kai, ZHAO Xinggang, ZHANG Liming, et al. Current status and prospect for the research and application of big data and intelligent optimization methods in oilfield development[J]. Journal of China University of Petroleum (Edition of Natural Science), 2020, 44(4): 28-38.

[12]
WILLIAMS B, CREMASCHI S. Selection of surrogate modeling techniques for surface approximation and surrogate-based optimization[J]. Chemical Engineering Research and Design, 2021, 170: 76-89.

[13]
DENG L C, PAN Y W. Machine-learning-assisted closed-loop reservoir management using echo state network for mature fields under waterflood[J]. SPE Reservoir Evaluation & Engineering, 2020, 23(4): 1298-1313.

[14]
DENG L C, PAN Y W. Data-driven proxy model for waterflood performance prediction and optimization using Echo State Network with Teacher Forcing in mature fields[J]. Journal of Petroleum Science and Engineering, 2021, 197: 107981.

[15]
YOUSEF A A, GENTIL P, JENSEN J L, et al. A capacitance model to infer interwell connectivity from production and injection rate fluctuations[R]. SPE 95322-MS, 2005.

[16]
WANDERLEY DE HOLANDA R. Material balance reservoir models derived from production data[D]. College Station: Texas A&M University, 2019.

[17]
ZHAO H, KANG Z J, ZHANG X S, et al. INSIM: A data-driven model for history matching and prediction for waterflooding monitoring and management with a field application[R]. SPE-173213-MS, 2015.

[18]
GUO Z Y, REYNOLDS A C, ZHAO H. A physics-based data-driven model for history-matching, prediction and characterization of waterflooding performance[R]. SPE 182660-MS, 2017.

[19]
LI Y, ONUR M. INSIM-BHP: A physics-based data-driven reservoir model for history matching and forecasting with bottomhole pressure and production rate data under waterflooding[J]. Journal of Computational Physics, 2023, 473: 111714.

[20]
LERLERTPAKDEE P, JAFARPOUR B, GILDIN E. Efficient production optimization with flow-network models[J]. SPE Journal, 2014, 19(6): 1083-1095.

[21]
WANG Z Z, GUAN X Y, MILLIKEN W, et al. Fast history matching and robust optimization using a novel physics-based data-driven flow network model: An application to a steamflood sector model[J]. SPE Journal, 2022, 27(4): 2033-2051.

[22]
HE C L, ZHANG Y, GONG D W, et al. A review of surrogate-assisted evolutionary algorithms for expensive optimization problems[J]. Expert Systems with Applications, 2023, 217: 119495.

[23]
CAO C M, XUE X M, ZHANG K, et al. Competitive knowledge transfer-enhanced surrogate-assisted search for production optimization[J]. SPE Journal, 2024, 29(6): 3277-3292.

[24]
HEIJN T, MARKOVINOVIĆ R, JANSEN J D. Generation of low-order reservoir models using system-theoretical concepts[R]. SPE 79674-MS, 2003.

[25]
JANSEN J D, DURLOFSKY L J. Use of reduced-order models in well control optimization[J]. Optimization and Engineering, 2017, 18(1): 105-132.

[26]
THIELE M R, BATYCKY R P. Water injection optimization using a streamline-based workflow[R]. SPE 84080-MS, 2003.

[27]
ALHUTHALI A H, OYERINDE D, DATTA-GUPTA A. Optimal waterflood management using rate control[R]. SPE 102478-MS, 2006.

[28]
ALHUTHALI A H, DATTA-GUPTA A, YUEN B, et al. Field applications of waterflood optimization via optimal rate control with smart wells[J]. SPE Reservoir Evaluation & Engineering, 2010, 13(3): 406-422.

[29]
PARK H Y, DATTA-GUPTA A. Reservoir management using streamline-based flood efficiency maps and application to rate optimization[R]. SPE 144580-MS, 2011.

[30]
CHEN H Q, ONISHI T, OLALOTITI-LAWAL F, et al. Streamline tracing and applications in naturally fractured reservoirs using embedded discrete fracture models[R]. SPE 191475-MS, 2018.

[31]
REGIS R G, SHOEMAKER C A. A stochastic radial basis function method for the global optimization of expensive functions[J]. INFORMS Journal on Computing, 2007, 19(4): 497-509.

[32]
MÜLLER J, SHOEMAKER C A. Influence of ensemble surrogate models and sampling strategy on the solution quality of algorithms for computationally expensive black-box global optimization problems[J]. Journal of Global Optimization, 2014, 60(2): 123-144.

[33]
CHEN H Q, SEN D. A flow feature clustering-assisted uncertainty analysis workflow for optimal well rates in waterflood projects[J]. SPE Journal, 2022, 27(4): 2453-2469.

[34]
ZHANG R X, CHEN H Q. Robust waterflood optimization under geological uncertainties using streamline-based well pair efficiencies and assimilated models[J]. Geoenergy Science and Engineering, 2023, 231(Part A): 212309.

文章导航

/