油气勘探

四川盆地北部二叠系大隆组页岩气富集高产主控因素及勘探潜力

  • 雍锐 , 1, 2 ,
  • 杨洪志 1, 2 ,
  • 吴伟 1, 2 ,
  • 杨雪 1, 2 ,
  • 杨雨然 1, 2 ,
  • 黄浩勇 1, 2
展开
  • 1 中国石油西南油气田公司,成都 610051
  • 2 页岩气评价与开采四川省重点实验室,成都 610051

雍锐(1977-),男,四川遂宁人,中国石油西南油气田公司教授级高级工程师,现为中国石油大学(北京)在读博士研究生,主要从事石油天然气(非常规油气)勘探开发研究及技术管理工作。地址:四川省成都市成华区府青路一段2号,中国石油西南油气田公司,邮政编码:610051。E-mail:

Copy editor: 黄昌武

收稿日期: 2024-11-26

  修回日期: 2025-03-01

  网络出版日期: 2025-04-17

基金资助

中国石油天然气股份有限公司科技项目“新区新层系有利区优选与勘探评价关键技术研究”(2023ZZ21YJ04)

中国石油天然气股份有限公司气藏评价项目“川北地区二叠系海相优质页岩展布规律与储层主控因素研究”(20230304-08)

Controlling factors and exploration potential of shale gas enrichment and high yield in the Permian Dalong Formation, Sichuan Basin, SW China

  • YONG Rui , 1, 2 ,
  • YANG Hongzhi 1, 2 ,
  • WU Wei 1, 2 ,
  • YANG Xue 1, 2 ,
  • YANG Yuran 1, 2 ,
  • HUANG Haoyong 1, 2
Expand
  • 1 PetroChina Southwest Oil & Gas Field Company, Chengdu 610051, China
  • 2 Sichuan Provincial Key Laboratory of Shale Gas Evaluation and Exploitation, Shale Gas Research Institute of PetroChina Southwest Oil & Gas Field Company, Chengdu 610051, China

Received date: 2024-11-26

  Revised date: 2025-03-01

  Online published: 2025-04-17

摘要

基于钻井、录井、测井、地质实验等基础资料,对四川盆地北部二叠系大隆组海相页岩地质特征及页岩气富集高产因素开展研究。结果表明:①大隆组优质页岩形成于二叠系吴家坪组沉积后,主要发育在四川盆地北部开江—梁平海槽内,深水陆棚沉积相和硅质生物繁盛的深水还原环境形成了富有机质的黑色硅质页岩。②大隆组页岩有机质孔与无机质孔发育,脆塑性矿物交互成层,4 500 m以深的超深层依然发育大量无机质孔,总孔隙度大于5%,显著拓展了页岩气储集空间。③大隆组顶底板灰岩既有助于早期埋藏生烃持续处在封闭系统,又为页岩段持续生烃和富气保存提供有利条件,在后期改造中利于缝网横向延伸,达到最优改造效果,提高井控资源量。综合地质、工程、经济条件,优选出5 500 m以浅的有利区面积为1 800 km2,资源量达5 400×108 m3。④大隆组页岩储层具有“薄而肥”的特征,埋深5 500 m以浅的川东高陡构造区内远离主体断裂的向斜区,是当前工程技术条件下最有利的二叠系页岩气建产区域,主要包括南雅向斜、檀木场向斜和梁平向斜。

本文引用格式

雍锐 , 杨洪志 , 吴伟 , 杨雪 , 杨雨然 , 黄浩勇 . 四川盆地北部二叠系大隆组页岩气富集高产主控因素及勘探潜力[J]. 石油勘探与开发, 2025 , 52(2) : 253 -266 . DOI: 10.11698/PED.20240734

Abstract

Based on the basic data of drilling, logging, testing and geological experiments, the geological characteristics of the Permian Dalong Formation marine shales in the Sichuan Basin and the factors controlling shale gas enrichment and high yield are studied. The results are obtained in four aspects. First, the high-quality shale of the Dalong Formation was formed after the deposition of the Permian Wujiaping Formation, and it is developed in the Kaijiang-Liangping trough in the northern part of Sichuan Basin, where deep-water continental shelf facies and deep-water reduction environment with thriving siliceous organisms have formed the black siliceous shale rich in organic matter. Second, the Dalong Formation shale contains both organic and inorganic pores, with stratification of alternated brittle and plastic minerals, which was stacked with severe compaction to enlarge fractures, thereby improving the permeability. In addition to organic pores, a large number of inorganic pores are developed even in ultra-deep (deeper than 4 500 m) layers, contributing a total porosity of more than 5%, which significantly expands the accommodation space for shale gas. Third, the limestone at the roof and floor of the Dalong Formation acted as seal rock in the early burial and hydrocarbon generation stage, providing favorable conditions for the continuous hydrocarbon generation and rich gas preservation in shale interval. In the later reservoir stimulation process, it was beneficial to the lateral extension of the fractures, so as to achieve the optimal stimulation performance and increase the well-controlled resources. Combining the geological, engineering and economic conditions, the favorable area with depth less than 5 500 m is determined to be 1 800 km2, with resources of 5 400×108 m3. Fourth, the shale reservoirs of the Dalong Formation are thin but rich in shale gas. The syncline zone far away from the main faults in the high and steep tectonic zone, eastern Sichuan Basin, with depth less than 5 500 m, is the most favorable target for producing the Permian shale gas under the current engineering and technical conditions. It mainly includes the Nanya syncline, Tanmuchang syncline and Liangping syncline.

0 引言

四川盆地页岩气资源丰富,发育寒武系、奥陶系—志留系及二叠系等多套海相富有机质页岩。作为中国最早进行页岩气商业勘探开发的含油气盆地,在十余年的探索实践过程中,相继发现了长宁、涪陵、威远、泸州等多个规模效益开发的页岩气田,在中深层、深层等页岩气领域取得重大突破,为国家能源安全做出了重要贡献[1]。近年来,四川盆地南部深层(3 500~4 500 m)页岩气勘探开发取得重大进展,截至2024年底,投产井1 666口,累计提交三级地质储量2.45×1012 m3,其中探明储量1.58×1012 m3,累计产气747×108 m3,已建成中国最大的页岩气生产基地[2-3]。目前盆地内页岩气主力产层为奥陶系五峰组—志留系龙马溪组[4-5],为进一步推进二叠系海相页岩气的勘探开发,笔者基于钻井、录井、测井和地质实验等资料,对四川盆地二叠系大隆组一段(简称大一段)海相页岩的地质特征、富集高产主控因素开展研究,为下步二叠系超深层页岩气勘探提供技术支撑。

1 地质与勘探概况

1.1 地质概况

二叠纪末—三叠纪初,受勉略洋扩张和峨眉地裂运动的影响,四川盆地北部处于伸展、拉张应力环境,这在不同程度上影响了二叠系茅口组—长兴组的沉积建造[6]。茅口组沉积末期,盆地北部已出现台-洼沉积地貌,广元—巴中一带发育一套以硅质岩和硅质页岩为主的岩石组合。吴家坪组沉积期四川盆地形成南西高、北东低的海陆分区古地理格局,盆地西南部发生大规模隆升,盆地东北部差异下沉,形成开江—梁平海槽、城口—鄂西海槽的雏形[7-8](见图1a)。长兴组沉积期差异下沉作用进一步加剧,海槽基本定型,在蓬溪—武胜一带形成次级台凹[9]。早—中三叠世,盆地内的海槽进入萎缩期,并在飞仙关组沉积末期逐渐被填平补齐[10]。晚三叠世—新生代,四川盆地在燕山和喜马拉雅造山运动的强烈挤压下,形成多排高陡构造[11]。在喜马拉雅期,四川盆地东部(简称川东)地区受北西、南东向的挤压以及北面大巴山弧的控制,使震旦系以上的地层强烈褶皱,形成了现今的川东隔挡式和两翼不对称的复杂构造格局[12]
图1 四川盆地双海槽展布及不同区带页岩气井靶体层位(GR—自然伽马;Rt—电阻率)

(a)四川盆地北部地区大隆组沉积期沉积相平面图;(b)四川盆地北部地区地层综合柱状图;(c)雷页1井—大201井—大页1井—红页1井连井剖面图

二叠系页岩发育区位于四川盆地北部,主要分布在开江—梁平海槽范围内,海槽平面刻画呈现“U型”特征,具有西深东浅的特征,5 000 m以浅页岩气有利区主要分布在海槽东段,处于川东高陡复杂构造带[13]。研究区整体发育北东—南西向构造,受西侧华蓥山断裂群和东侧七曜山断裂群夹持,北部受到大巴山断褶带限制,褶皱强度大,延伸百余千米,具有多高点的长条形背斜带,自西向东发育有铁山构造、雷音铺构造、七里峡构造、大天池构造、南门场构造、黄泥塘—云安场构造、大池干构造等正向构造,正向构造间发育大竹向斜、檀木场向斜、南雅向斜、梁平向斜、万县向斜等(见图2)。地震揭示研究区内部构造呈复背斜与复向斜相间排列的隔挡式、纵向多层滑脱特征,高陡构造的主体断裂规模较大,断距为500~3 000 m;背斜窄陡且两翼不对称,西北翼较缓(地层倾角为45°~60°),发育多条北东向逆断裂,东南翼陡(地层倾角为50°~70°),甚至直立倒转[14-15]。大页1井与大201井位于大天池构造和南门场构造之间的南雅向斜,该向斜主体呈北东向展布,与构造走向一致,是本次研究的重点区带。
图2 四川盆地北部奥陶系五峰组—下三叠统飞仙关组地震解释地质剖面图(剖面位置见图1a

1.2 页岩气勘探发现情况

2020年四川盆地东南部(简称川东南)红页1HF井在二叠系吴家坪组水平井压裂测试获日产气8.9×104 m3,实现了中国二叠系海相页岩气勘探的重大突破。2021年通过常规气井罐36井在二叠系页岩中开展直井试油,发现大一段页岩在埋深4 800 m条件下,直井压裂测试日产量为1.2×104 m3,揭示了二叠系页岩良好的含气性。在罐36井获气后,加快推进二叠系页岩深化研究,优选页岩有利沉积相,在海槽内部署风险探井大页1井,在大一段获日产气32.06×104 m3,落实了大一段页岩是二叠系多套页岩纵向最优靶体,在开江—梁平海槽一带稳定发育,证实了二叠系海相页岩气资源潜力。大页1井获得突破后,中国石油西南油气田公司全面展开了大隆组页岩气综合评价工作,基于大页1井勘探实践,部署了一批预探井及评价井开展页岩含气性及产能评价,部署了一批先导试验井探索二叠系页岩压裂工艺与开发技术政策。2023年3月普光地区雷页1井在埋深超过4 200 m的大隆组测试获日产气42.7×104 m3,2023年12月江汉油田在鄂西渝东红星地区部署的红页7HF井测试获日产32.35×104 m3高产气流,实现了四川盆地二叠系大隆组页岩气勘探重大突破。2024年8月,大页1井区内预探井大201井在大隆组获日产气56.27×104 m3,证实川东高陡构造发育背景下,距断层2 km以上的宽缓向斜区含气性优、保存条件好,大201井井深4 575 m,揭示了超深层页岩“高压、高孔、高含气量”的特征,二叠系海相页岩勘探领域有望得到进一步扩展。
中国石油化工股份有限公司在城口—鄂西海槽红星地区和开江—梁平海槽普光地区针对二叠系页岩开展评价,分别实施了红页1井、雷页1井等一批页岩气井。红星地区将吴家坪组划分为2段,页岩发育在吴家坪组二段[8];普光地区吴家坪组为灰岩,将页岩划分到大隆组一段[16]。中国石油西南油气田公司前期将大页1井吴家坪组划分为3段,产层为吴家坪组三段[17],其吴家坪组一段和二段相当于对红星地区的吴家坪组一段进行了两分,相当于普光地区整个吴家坪组。大201井针对目标页岩顶底开展连续取心,经过古生物鉴定后将页岩归属到吴家坪组上部大隆组。在对各井页岩电性、岩性及靶体地球化学参数对比后,初步认为红页1井、雷页1井、大页1井所在3个区域优质页岩为同一套储层,且纵向改造靶体基本相同(见图1b图1c表1)。
表1 四川盆地北部双海槽不同区带典型页岩气井地质参数表(TOC—总有机碳含量)
海槽 井名 页岩层段/m 页岩厚度/m 靶体信息 靶体页岩参数
靶体层位 靶体底部深度/m 靶体厚度/m TOC/% 孔隙度/% 含气量/(m3·t-1) 含气饱和度/%
城口—鄂西 红页1 吴二段 17.8 ③小层 3 306 6.7 8.77 6.40 4.35 77.90
开江—梁平 雷页1 大一段 33.0 ②小层 4 268 12.4 7.34 3.68 6.66
大页1 吴三段 12.9 ④小层 4 338 4.0 10.13 5.08 7.36 81.46
大201 大一段 13.1 ④小层 4 562 3.5 8.59 5.61 7.39 82.46

2 页岩地质特征

2.1 大隆组小层划分及地层特征

二叠纪是地质历史上黑色岩系的重要形成期,主要发育了4套黑色海相岩系,包括中二叠统栖霞组的煤系—富有机质灰岩体系、孤峰组硅质岩、上二叠统龙潭组煤系和大隆组富有机质硅泥质沉积。其中尤以大隆组的黑色岩系最具生烃潜力,有机碳含量高,是二叠系的主要烃源岩层,近年来成为中国页岩气资源勘探的重要目标层[18-19]。龙潭组与吴家坪组属同期异相沉积,在四川盆地内以地震刻画的海陆分界线作为区分界线,将盆地北部命名为吴家坪组。大隆组与长兴组也属同期异相沉积,目前将开江—梁平海槽内深水陆棚相沉积划归为大隆组,在年代上属于穿时沉积,大一段黑色页岩归属吴家坪阶晚期,大二段深水灰岩归属长兴阶沉积。根据盆地内备选金钉子剖面的时代测定,吴家坪阶与长兴阶以Clarkina wangi牙形石带首现为界线[20](见图3)。
图3 大201井二叠系大隆组大一段页岩综合柱状图(ϕ—孔隙度;tg—总含气量)
大201井大隆组大一段为黑色页岩,岩性以硅质页岩、炭质页岩和灰质页岩为主,局部夹灰岩、凝灰岩条带,具有高自然伽马、高铀含量和低钍含量的测井响应,为大隆组优质页岩层段,也是二叠系页岩气主力勘探开发目的层。大隆组大二段以深水灰岩为主,发育一套浅灰—深灰色薄—中层状腹足-海绵骨针-放射虫粒泥灰岩、泥粒灰岩和硅质灰岩。综合岩性组合、古生物特征和测井响应的变化规律,将大一段页岩自下而上划分为7个小层(见图3表2)。第①小层页岩与吴二段浅水灰岩呈渐变接触,页岩内见丰富生物扰动,岩心截面保存了完整的菊石生物(见图4a图4b)。第②小层突变出现薄层灰岩,向上硅质含量增加,转变为钙质页岩沉积(见图4c图4d)。第③小层页岩底部与下伏泥灰岩呈渐变接触,岩性为深灰色灰质页岩与黏土质页岩组合,见有孔虫、介形虫等生物化石,内部发育数条与黄铁矿伴生、宽度为10~20 mm的凝灰岩条带(见图4e图4f)。第④小层页岩岩性为灰黑色炭质页岩、硅质页岩,见放射虫、介形虫和骨针等浮游生物化石,标志着大一段沉积期水体最深的阶段,石英含量高,黏土矿物和碳酸盐矿物含量较低,黄铁矿呈条带状或团块状,内部见5条凝灰岩条带,发育3条被方解石充填的低角度缝(见图4g图4j)。第⑤小层页岩岩性为含灰质硅质页岩和含黏土硅质页岩,多见放射虫化石,见5条凝灰岩条带(见图4k图4l)。第⑥小层页岩岩性为灰质页岩和含黏土质硅质页岩,石英含量低于第⑤小层页岩,碳酸盐矿物增多,出现瓣鳃类、双壳类等浅水生物化石,指示其沉积水体变浅,见2条黄铁矿条带和1条凝灰岩条带,钙质团块较发育(见图4m图4p)。黑色页岩主要发育在第①③④⑤⑥小层和第⑦小层下部,第②小层上部和第⑦小层上部发育钙质页岩,第②小层中下部发育灰岩。
表2 大201井二叠系大隆组大一段页岩电性及储层参数
层号 岩性 层厚/
m
储层
厚度/m
电性特征 储层参数
自然伽马/API 平均电阻率/(Ω·m) 最小电阻率/(Ω·m) TOC/% 孔隙度/% 含气饱和度/% 含气量/(m3·t-1)
钙质页岩 11.1 4.9 109.7 392.7 85.4 3.9 3.09 84.5 4.3
含灰硅质页岩 5.4 5.3 161.2 86.6 28.3 6.4 6.74 83.7 7.0
混合硅质页岩 3.0 3.0 194.8 17.0 7.4 8.4 6.75 79.8 8.7
硅质页岩 3.5 3.5 172.0 18.6 6.6 10.1 7.57 81.9 9.4
硅质页岩 1.5 1.3 161.5 9.6 5.5 5.9 5.00 70.6 7.1
泥晶灰岩 2.8
硅质页岩 2.2 2.1 206.4 30.9 6.0 5.8 4.90 80.7 7.8
图4 大201井二叠系大隆组大一段页岩岩心及镜下薄片特征

(a)大一段第①小层,4 575.90 m,岩心照片,岩心截面保存完整菊石化石;(b)大一段第①小层,4 575.98 m,镜下薄片照片,生物扰动腕足屑-棘屑粒泥灰岩;(c)大一段第②小层,4 571.10~4 571.19 m,岩心照片,顶部发育薄层灰岩;(d)大一段第②小层,4 572.79 m,镜下薄片照片,生物扰动含放射虫泥状灰岩;(e)大一段第③小层,4 570.47~4 570.65 m,岩心照片,底部发育凝灰岩条带,与下伏第②小层顶部泥灰岩呈渐变接触;(f)大一段第③小层,4 569.42 m,镜下薄片照片,生物扰动含薄壳双壳类-放射虫炭质钙质硅质页岩;(g)大一段第④小层,4 568.53~4 568.71 m,岩心照片,灰黑色硅质页岩,夹凝灰岩和黄铁矿条带;(h)大一段第④小层,4 567.83 m,镜下薄片照片,含薄壳介壳钙质炭质页岩;(i)大一段第④小层,4 668.24~4 568.39 m,岩心照片,灰黑色硅质页岩;(j)大一段第④小层,4 567.64 m,镜下薄片照片,水平纹层状炭质页岩;(k)大一段第⑤小层,4 563.23~4 563.41 m,岩心照片,硅质页岩,夹凝灰岩条带;(l)大一段第⑤小层,4 565.11 m,镜下薄片照片,硅质页岩;(m)大一段第⑥小层,4 560.35~4 560.50 m,岩心照片,硅质页岩,含钙质生物纹层;(n)大一段第⑥小层,4 557.91 m,镜下薄片照片,下部水平纹层状含双壳类-放射虫炭质页岩;(o)大一段第⑦小层,4 552.48~4 552.66 m,岩心照片,灰黑色灰质页岩;(p)大一段第⑦小层,4 548.50 m,镜下薄片照片,上部含双壳类-放射虫炭质钙质硅质页岩

2.2 大隆组沉积环境

吴家坪组沉积晚期开江—梁平海槽仍处于伸展裂陷状态,大一段页岩是海槽相区快速下降至水体最深、沉积物供应不足的凝缩层沉积,代表了上二叠统沉积层序中的最大海泛面[21]。以浮游类生物菊石-薄壳双壳-放射虫为主的化石组合以及钙质底栖化石的缺乏反映了较深的水体环境;水平纹层的发育、生物扰动的缺乏和丰富的有机碳指示了缺氧的沉积环境;各生产力替代指标浓度明显富集,包括TOC含量,Ni、Cu和Zn元素含量等,指示了较高的海洋生产力;根据Mo元素含量定量指示海洋为持续硫化的氧化还原状态(Mo元素含量大于0.025 mg/g)。这一时期海槽呈现出西陡东缓形态,槽内整体为深水陆棚相沉积,沉积演化主要受构造和古环境控制[22]。受低物源、高水位、多生物、频火山影响,海槽内水体表层硅质生物繁盛,在深水环境控制下沉降形成了大隆组富有机质黑色页岩[23-24]

2.3 大隆组页岩生烃潜力

大一段页岩TOC值高,为3.56%~16.50%,海槽边界线内页岩有机碳含量多大于4.0%,极少样品受灰岩条带影响含量略低,平均值为9.41%,远高于五峰组—龙马溪组页岩。垂向上,第④小层页岩和第⑤小层页岩的TOC值较高,平均值分别为10.1%和8.4%(见表2)。大一段页岩干酪根类型以Ⅱ1型为主,干酪根显微组分以腐殖无定型体为主,含量为76%~81%,其次为腐泥无定型体和镜质体,含量之和为9%~10%;干酪根碳同位素(δ13C)值为-27.3‰~-26.2‰,根据干酪根碳同位素组成分类方法也可判定大一段有机质母质以腐殖腐泥型(Ⅱ1型)为主[25]。激光拉曼方法测试大一段有机质热演化成熟度(Ro)平均值为2.94%,处于过成熟阶段。总体认为大一段页岩有机质丰度高、类型好、生烃能力强。二叠系页岩有机质的丰度、类型和成熟度决定了页岩生烃能力、吸附能力和页岩气储层品质。

2.4 大隆组页岩储层特征

2.4.1 页岩储集空间特征

页岩孔隙是页岩气赋存的主要场所,通常用孔隙度、渗透率和孔径分布等参数来评价页岩的储集能力[26]。通过酒精法测试21件不规则样品的孔隙度为3.09%~7.99%,平均值为5.67%。垂向上,第④小层页岩的孔隙度最大,平均值为7.57%(见表2)。柱塞样氦气法测试14件大一段页岩样品的渗透率为(0.069~0.290)× 10-3 μm2,平均值为0.156×10-3 μm2。第④小层页岩和第⑤小层页岩渗透率较高,平均值分别为0.162×10-3 μm2和0.176×10-3 μm2
大一段页岩岩性纵向非均质性强,根据矿物含量可划分出硅质页岩岩相、混合页岩岩相和钙质页岩岩相3种主要岩相[27]。针对不同岩相的岩心,使用高精度扫描电子显微镜和大面积高分辨率成像技术,对页岩有机质孔、无机质孔、有机质缝和无机质缝进行精细定量评价,整体扫描精度为4 nm。微观特征显示大一段页岩有机质孔和无机质孔均比较发育,页岩矿物以点接触和面接触为主,形成大量矿物粒间孔和破碎带(见图5)。以硅质页岩岩相为主的第④小层有机质孔发育,镜下特征显示干酪根与片状黏土矿物混合,在热演化过程中形成长条状有机质孔,原油裂解形成的沥青充填在矿物粒间孔和裂缝中,形成以介孔和宏孔为主的圆形有机质孔,硅质页岩的有机质孔孔径主要为10~150 nm。以混合页岩岩相为主的第⑤小层无机质孔发育,孔径主要为100~500 nm,以粒内溶蚀孔、粒内孔和矿物周缘破碎带为主,混合页岩岩相中的黄铁矿无机质孔与黏土矿物、方解石混杂,形成矿物粒间孔和破碎带,方解石溶蚀形成粒内孔。
图5 大201井大一段不同小层页岩岩心镜下薄片照片

(a)大一段第④小层,4 337.65 m,页岩有机质孔;(b)大一段第④小层,4 337.65 m,页岩有机质孔;(c)大一段第④小层,4 371.64 m,页岩有机质孔;(d)大一段第④小层,4 335.10 m,黄铁矿铸模孔及黏土矿物片间孔;(e)大一段第⑤小层,4 333.20 m,方解石粒内溶孔;(f)大一段第④小层,4 571.64 m,矿物粒内孔;(g)大一段第④小层,4 571.64 m,矿物粒内缝;(h)大一段第⑤小层,4 333.57 m,微粒状方解石、钠长石发育溶蚀孔、微裂缝;(i)大一段第③小层,4 573.42 m,矿物粒间缝

2.4.2 页岩矿物组成特征

脆性矿物含量决定了页岩储层的可改造性和压裂难度[28]。大201井大一段页岩全岩矿物X射线衍射结果分析表明,第①、第③—⑥小层硅质页岩具有高硅质矿物、低碳酸盐矿物、低黏土矿物含量特征,脆性矿物以硅质矿物为主,含量为39.3%~72.1%,平均值为64.6%,个别样品受灰岩条带的影响具有较高的碳酸盐矿物含量,含量为8.1%~37.4%,平均值为19.3%,含少量长石和黄铁矿,脆性矿物的总含量为27.2%~92.0%,平均值为80.3%,黏土矿物平均含量低于10%,整体具有“高脆低黏”的特征。三轴岩石力学实验实测大201井大一段含灰硅质页岩在围压99 MPa、温度101 ℃条件下,平均弹性模量为51.55 GPa,泊松比为0.228,具有高弹性模量、低泊松比特征。

2.4.3 页岩含气性特征

川东地区海槽内大一段页岩在向斜区埋深均大于3 500 m,页岩含气性整体较好,页岩含气量高于川南地区五峰组—龙马溪组页岩。大页1井总含气量为5.36~10.54 m3/t,平均值为7.95 m3/t。根据测试结果,计算地层压力系数为2.02。在大页1井获气后,部署大201井的主要目的是评价川东高陡构造带的Ⅰ级断层对页岩气保存条件的影响。钻探的大201井位于南雅向斜,紧靠大天池构造东翼大①号Ⅰ级断层下盘,导眼井距离控边Ⅰ级断层3.2 km,在大隆组钻进过程中选用密度为1.93 g/cm3的钻井液,气测全烃含量为3.96%~14.36%,见4次气测异常。岩心含气量测试显示,10件大一段页岩样品的现场解析气含量为1.05~1.59 m3/t,平均值为1.32 m3/t,总含气量为3.71~11.78 m3/t,平均值为7.39 m3/t。大201井水平段长2 km,向靠近断层方向进行直改平,水平井末端距大①号断层2 km,含气量为9.1 m3/t,认为该井含气性未受到断层影响。

2.4.4 页岩气保存条件

顶、底板条件决定了页岩在早期埋藏生烃阶段的封堵效果,是页岩气赋存的关键因素[29]。川东地区背斜核部地层剥蚀严重,使得页岩气保存存在一定风险;向斜区局部地区发育反向冲起形成的潜伏构造,如龙门山潜伏构造;其余地区地层平缓、区域盖层完整[30]。研究区大一段页岩储层的顶板为相对致密的大隆组上部泥灰岩或灰岩,底板为吴家坪组的灰岩、炭质页岩和铝土质泥岩。突破压力测试结果表明,铝土质泥岩、炭质页岩、泥灰岩的突破压力递减,其中,铝土质泥岩的突破压力达126.5 MPa,泥灰岩层的破裂压力达119.9 MPa,且二者岩性致密、不发育孔缝,封堵性好,靶体上、下厚层状致密碳酸盐岩的突破压力达132.3 MPa,应力隔挡明显。整体上大一段页岩的顶、底板均具有较强的封闭能力。

3 二叠系页岩气富集高产主控因素、勘探潜力及关键技术

3.1 二叠系页岩气富集高产主控因素

3.1.1 拉张背景下的滞流海槽是薄层富有机质硅质页岩形成的基础

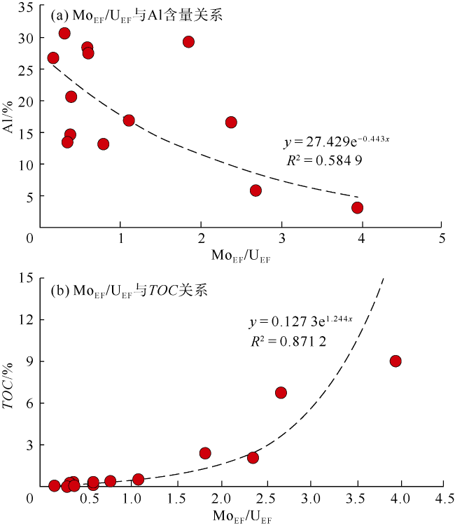
大隆组沉积期,四川盆地北部开江—梁平海槽为深水陆棚沉积相,硅质生物繁盛的深水还原环境形成富有机质的黑色硅质页岩沉积[31],因此大一段页岩主要发育于开江—梁平海槽内部及其周缘。海槽内水体深度为200~300 m,由北西向南东水体变浅,由川北地区的宽阔海床逐渐收缩为川东地区的狭窄深水相沉积,是大一段硅质页岩发育的基础[32-34]。开江—梁平海槽内大一段Ⅰ类页岩气储层的连续厚度均大于10 m,多为10~20 m,达到了五峰组—龙马溪组普遍高产的Ⅰ类储层连续厚度下限。平面上,大一段Ⅰ类页岩气储层的连续厚度向西北方向具增大趋势,向槽内斜坡区具减薄趋势。研究区大一段页岩为深水陆棚相沉积,页岩TOC、黏土矿物含量与指示氧化还原条件、古生产力、古盐度、滞流程度的指标均具有一定相关性[35]。Mo元素与U元素富集系数的比值(MoEF/UEF)可以反映水体滞留程度,由图6可见,大一段页岩TOC、陆源输入量与MoEF/UEF值具有明显相关性,该沉积期开江—梁平海槽内古水深大、水体封闭、还原性较强,是富有机质页岩沉积的理想场所。
图6 大一段页岩沉积水体氧化还原性参数关系图

3.1.2 优势岩相的双孔发育模式是储集空间扩展的关键因素

硅质页岩的有机质孔和混合页岩的无机质孔共同形成了大一段的储集空间,储层物性好是形成大201井高产的重要基础。由图7可见,页岩岩相类型与孔隙发育特征高度相关,硅质页岩以有机质孔发育为主,混合页岩以无机质孔发育为主,钙质页岩孔渗性最差。大一段页岩中生物成因石英含量与页岩有机质孔的储集能力密切相关,硅质生物大量堆积后,在早成岩A期生成生物成因硅,在生油早期形成的生物石英格架,有利于有机质孔的保持和保存。大一段页岩中无机质孔主要由碳酸盐矿物破碎带和黏土矿物片间孔贡献,在快速压实作用阶段,无机质孔和微裂缝迅速减少,后期受矿物破碎和溶蚀作用影响,无机质孔和微裂缝有所增加,形成大量碳酸盐矿物破碎带。硅质页岩岩相主要发育孔径大小为10~100 nm的有机质孔,孔径大小主要为40 nm,不发育无机质孔;混合页岩岩相主要发育孔径大小为100~1 000 nm的无机质孔,孔径大小主要为200 nm,发育少量孔径大小为40~50 nm的有机质孔;钙质页岩岩相发育少量无机质孔。大隆组页岩有机质孔与无机质孔发育,脆性塑性矿物交互成层,使得有机质孔发育的基础上,4 500 m以深的超深层依然发育大量无机质孔,总孔隙度大于5%、渗透率达0.2×10−3 μm2,显著拓展了页岩气储集空间。
图7 大201井大一段不同页岩岩相孔隙度-渗透率及孔径-面孔率关系图

3.1.3 达州—开江地区继承性隆起是页岩气规模成藏的有利条件

开江古隆起是中三叠世末期印支运动定型的北东向继承性古隆起,其演化对达州—开江地区烃源岩、储层、油气聚集具有明显控制作用。东吴运动影响开江古隆起产生差异性沉降,控制了晚二叠世大隆组的沉积分布[36]。区内大隆组页岩在三叠纪处于生气高峰期,开江古隆起使得达州—梁平区域处于隆起高部位,印支期区内在古隆起背景上形成岩性古圈闭,中侏罗世烃源岩进入生油高峰,控制古油藏的聚集[37]。白垩纪古油藏内液态烃发生裂解成气,此时川东地区逐渐形成高陡构造带,古油藏裂解生成的天然气调整到构造带中聚集。因此开江古隆起所在的达州—开江一带是页岩成烃期油气运聚的指向区,有利于页岩气大面积成藏,整体含气性好,是富集成藏的有利区带。

3.1.4 远离主体断裂是向斜区页岩富气的决定性因素

大隆组大一段页岩顶底板灰岩有助于早期埋藏生烃阶段封堵,为页岩段持续生烃和富气保存提供了有利条件[38]。在大页1井、大201井实测岩心含气量的基础上建立测井评价模型,对川东高陡构造区域多口井开展含气性评价。钻井实践证实,距主断裂较近的向斜区大一段页岩气保存条件相对较差,如YA23井离Ⅰ级断层1.9 km,测井解释大一段页岩含气饱和度仅为20%;远离主体断裂的向斜区大一段页岩气保存条件较好,YA8井距离Ⅰ级断层2.2 km,测井解释大一段页岩含气饱和度为65%(见图8)。钻井显示断层上盘井大一段埋深为3 500~4 000 m,断层下盘井大一段埋深为4 500~5 500 m。将已钻井含气性与距断层上下盘的距离进行相关分析后发现,川东地区大隆组页岩气含气量变化大,以实钻井含气性推测,断层上盘的井距离Ⅰ级断层0.25 km、断层下盘的井距离Ⅰ级断层2 km以外的区域页岩气保存条件均不受影响,构造抬升基本没有造成广覆向斜内页岩气大规模逸散。因此大隆组埋深5 500 m以浅的川东高陡构造区内远离主体断裂的向斜区,是当前工程技术条件下最有利的二叠系页岩气建产区域,主要包括南雅向斜、檀木场向斜和梁平向斜。
图8 实钻井含气饱和度与距Ⅰ级断层距离关系图

3.1.5 地质工程一体化勘探开发是实现二叠系页岩气高产的保障

地质与工程条件分析表明,大一段页岩储层品质好、静态参数优,可与五峰组—龙马溪组页岩对比;垂直应力接近最大水平主应力,应力状态为弱走滑,套变风险小,利于页岩气开发。但大一段页岩储层厚度较小,纵向可动用资源有限;最小水平主应力大于100 MPa,有效缝网形成难度大;储层纵向存在非均质性,局部地区碳酸盐矿物含量较高,储层资源纵向动用难度大。针对大一段页岩上述特点,提出了“以横向换纵向”压裂理念,旨在通过扩大缝网的横向延伸尺度来控制最大资源量。在川南深层页岩气井成熟压裂工艺2.0基础上,根据大隆组页岩储层物性、地质力学和天然裂缝发育等特征建立了地质工程一体化模型,按照“一段一策”的压裂设计原则,进一步优化设计大201井分段射孔、施工排量、注入规模等参数,初步形成了“控破裂+促复杂+强支撑”的压裂工艺,压裂段长2 000 m(共28段),平均用液强度为35 m3/m,加砂强度为3.5 t/m,以“段内多簇”配合“高强度改造”,实现预估最终可采量达1.6×108 m3。大201井微地震监测结果表明,水力裂缝东西平均缝长280 m,上缝高达19.2 m,下缝高达17.8 m,裂缝开启率为78.44%,整体压裂过程中天然裂缝影响小,压裂有效性高,充分形成大201井复杂缝网(见图9)。评价认为“控破裂+促复杂+强支撑”压裂工艺基本实现了大一段页岩的充分改造,可以在研究区推广应用。
图9 大201井区大一段微地震监测结果

3.2 二叠系页岩气勘探潜力

四川盆地二叠系大隆组页岩储层的分布受开江—梁平海槽控制,其平面展布相似,纵向上2套页岩储层相隔20~30 m,具备立体勘探潜力。目前川南—渝西地区五峰组—龙马溪组Ⅰ类页岩储层的连续厚度多为5~7 m,实施的10口页岩气井的单井可采储量平均值为1.4×108 m3,证实连续薄储层区同样具有建产潜力[39-40]。研究区大一段Ⅰ类页岩储层的连续厚度为10~20 m,与川南地区五峰组—龙马溪组页岩相比,研究区大一段页岩具有高TOC值(平均值为7.6%)、高孔隙度(平均值为6.1%)、高含气量(平均值为8.3 m3/t)、高脆性矿物含量(平均值为73.7%),具有“薄而肥”的储层特点,具备大规模勘探的资源基础,页岩气开发前景良好。综合地质、工程、经济条件,优选工程可动用极限深度为5 500 m以浅有利区面积为1 800 km2,初步估算区内大隆组页岩气资源量为5 400×108 m3(见图10),当前确保可实现的5 000 m以浅资源量为4 500×108 m3
图10 四川盆地北部二叠系大隆组页岩气有利区分布图

3.3 二叠系页岩气开发的关键技术

3.3.1 薄储层的极限动用是实现二叠系页岩气效益开发的关键

大隆组页岩气资源丰富、潜力巨大,是四川盆地未来页岩气勘探开发的潜在层系,但面临储层薄、埋深大两大开发难题,亟需开展关键地质甜点刻画和压裂工艺升级[41]。研究区有利勘探区内大一段Ⅰ类页岩储层的连续厚度均大于10 m(见图11),储层品质与龙马溪组页岩相当,但Ⅰ、Ⅱ类储层的累计厚度普遍小于30 m,远小于川南地区页岩气主体开发区的龙马溪组页岩(约50 m)[42-44],纵向可动用资源有限。薄储层极限动用优化举措主要体现在:①利用地震等手段精准刻画储层,寻找页岩储层压力高、含气量高、脆性高的地质工程甜点区/段;②通过铂金靶体高效钻入、高效储层改造,构建最优地下连通体;③开展试验开发井距、水平段长、布井方式等开发技术攻关,以建立复杂连通的缝网体系,实现最大面积地下有利区动用。
图11 大201井二叠系页岩段储层分类综合评价图(RXO—冲洗带电阻率;Δt—声波时差;ϕCNL—中子孔隙度;ρ—密度)

3.3.2 超深层页岩储层改造工艺是实现二叠系页岩气规模建产的技术保障

研究区埋深为4 500~5 000 m的大一段页岩占有利区面积的75%,而超深层页岩储层埋藏更深,高温高压条件下岩石塑性增加,地应力增加,因而受到地层压力及应力差影响,岩石起裂及裂缝延伸难度大大增加,压裂难以形成理想的复杂缝网[45-47]。压裂优化方向主要包括:①优化暂堵转向工艺,克服天然裂缝带及已形成的单一裂缝的滤失,最大程度提高裂缝开启扩展;②试验支撑剂的类型、用量及比例,提高支撑剂的支撑效果,保证高地层压力高闭合应力状态下人造缝网的支撑能力;③开展深层页岩不同小层可压性综合评价,明确钻遇不同小层水平段的主体压裂参数(簇间距、簇数、排量、分段段长、用液强度和加砂强度等);④持续坚持地质工程一体化设计思路,制定精细的压裂策略,压裂实施过程采用微地震监测+缝网拟合+指标计算相结合方法,逐段迭代指导现场施工优化,精细调整控缝网形态,确保压裂改造效果。

4 结论

四川盆地北部开江—梁平海槽内发育二叠系富有机质黑色页岩,具有高有机碳、高硅质矿物含量的特征,为二叠系页岩储层提供了重要资源基础。硅质页岩岩相和混合页岩岩相为最优岩相,分别控制有机质孔和无机质孔的发育,脆塑性矿物交互成层,叠加双孔协同演化、压实扩缝增渗的成储机理,形成了4 500 m以深超深层页岩仍具有高孔隙度的特征,极大拓展了页岩气储集空间。开江—梁平海槽5 500 m以浅有利区位于川东高陡构造区,区内页岩气含气量取决于顶底板的有效封盖和断层封闭性,初步估算区内5 000 m以浅大隆组页岩气可动用总资源量为4 500×108 m3,将成为盆地实现页岩气增储上产的可靠接替领域。
综合沉积环境、储层条件、保存条件、工程条件等要素,优选页岩气双甜点区,通过以超深层长水平井、超长特种连油及“多簇多孔+阶梯排量”压裂工艺优化,实现二叠系薄层页岩有效压裂改造,确保二叠系页岩气高产。针对下一步工作,持续优化超深层页岩气井井身结构,重点攻关薄储层的极限动用措施,降低超深层页岩储层改造工艺成本,是实现二叠系页岩气规模效益开发的有效手段。
[1]
马新华, 谢军, 雍锐, 等. 四川盆地南部龙马溪组页岩气储层地质特征及高产控制因素[J]. 石油勘探与开发, 2020, 47(5): 841-855.

DOI

MA Xinhua, XIE Jun, YONG Rui, et al. Geological characteristics and high production control factors of shale gas reservoirs in Silurian Longmaxi Formation, southern Sichuan Basin, SW China[J]. Petroleum Exploration and Development, 2020, 47(5): 841-855.

[2]
聂海宽, 金之钧, 边瑞康, 等. 四川盆地及其周缘上奥陶统五峰组—下志留统龙马溪组页岩气“源-盖控藏”富集[J]. 石油学报, 2016, 37(5): 557-571.

DOI

NIE Haikuan, JIN Zhijun, BIAN Ruikang, et al. The “source-cap hydrocarbon-controlling” enrichment of shale gas in Upper Ordovician Wufeng Formation-Lower Silurian Longmaxi Formation of Sichuan Basin and its periphery[J]. Acta Petrolei Sinica, 2016, 37(5): 557-571.

DOI

[3]
胡东风, 张汉荣, 倪楷, 等. 四川盆地东南缘海相页岩气保存条件及其主控因素[J]. 天然气工业, 2014, 34(6): 17-23.

HU Dongfeng, ZHANG Hanrong, NI Kai, et al. Main controlling factors for gas preservation conditions of marine shales in southeastern margins of the Sichuan Basin[J]. Natural Gas Industry, 2014, 34(6): 17-23.

[4]
何骁, 吴建发, 雍锐, 等. 四川盆地长宁—威远区块海相页岩气田成藏条件及勘探开发关键技术[J]. 石油学报, 2021, 42(2): 259-272.

DOI

HE Xiao, WU Jianfa, YONG Rui, et al. Accumulation conditions and key exploration and development technologies of marine shale gas field in Changning-Weiyuan block, Sichuan Basin[J]. Acta Petrolei Sinica, 2021, 42(2): 259-272.

DOI

[5]
陈更生, 石学文, 刘勇, 等. 四川盆地南部地区五峰组—龙马溪组深层页岩气富集控制因素新认识[J]. 天然气工业, 2024, 44(1): 58-71.

CHEN Gengsheng, SHI Xuewen, LIU Yong, et al. New understandings of the factors controlling of deep shale gas enrichment in the Wufeng Formation-Longmaxi Formation of the southern Sichuan Basin[J]. Natural Gas Industry, 2024, 44(1): 58-71.

[6]
刘树根, 文龙, 宋金民, 等. 四川盆地中二叠统构造-沉积分异与油气勘探[J]. 成都理工大学学报(自然科学版), 2022, 49(4): 385-413.

LIU Shugen, WEN Long, SONG Jinmin, et al. Sedimentary topography and tectonic differentiation on the Middle Permian platform and hydrocarbon exploration in Sichuan Basin, SW China[J]. Journal of Chengdu University of Technology (Science & Technology Edition), 2022, 49(4): 385-413.

[7]
张延充, 杨爱国, 梅燕, 等. 泛开江—梁平海槽及勘探有利相带地震预测[J]. 天然气工业, 2009, 29(10): 28-30.

ZHANG Yanchong, YANG Aiguo, MEI Yan, et al. Kaijiang-Liangping Pan-trough and seismic prediction of favorable facies belt[J]. Natural Gas Industry, 2009, 29(10): 28-30.

[8]
胡德高, 周林, 包汉勇, 等. 川东红星地区HY1井二叠系页岩气勘探突破及意义[J]. 石油学报, 2023, 44(2): 241-252.

DOI

HU Degao, ZHOU Lin, BAO Hanyong, et al. Breakthrough and significance of Permian shale gas exploration of Well HY1 in Hongxing area, eastern Sichuan Basin[J]. Acta Petrolei Sinica, 2023, 44(2): 241-252.

DOI

[9]
孙自明, 卞昌蓉, 刘光祥. 峨眉山地幔柱主要研究进展及四川盆地二叠纪成盆动力学机制[J]. 现代地质, 2023, 37(5): 1089-1099.

SUN Ziming, BIAN Changrong, LIU Guangxiang. Advances on the understanding in the Emeishan mantle plume and dynamic mechanism of the Permian Sichuan Basin Formation[J]. Geoscience, 2023, 37(5): 1089-1099.

[10]
杨雨, 谢继容, 文龙, 等. 四川盆地东北部飞仙关组台缘早期鲕滩带的发现及宣探1井天然气勘探突破意义[J]. 天然气工业, 2023, 43(9): 1-13.

YANG Yu, XIE Jirong, WEN Long, et al. Discovery of early platform-margin oolitic shoal zone of Feixianguan Formation in the northeastern Sichuan Basin and natural gas exploration breakthrough in Well Xuantan 1[J]. Natural Gas Industry, 2023, 43(9): 1-13.

[11]
郭正吾, 邓康龄, 韩永辉, 等. 四川盆地形成与演化[M]. 北京: 地质出版社, 1996.

GUO Zhengwu, DENG Kangling, HAN Yonghui, et al. Formation and evolution of Sichuan Basin, China[M]. Beijing: Geological Publishing House, 1996.

[12]
邹玉涛, 段金宝, 赵艳军, 等. 川东高陡断褶带构造特征及其演化[J]. 地质学报, 2015, 89(11): 2046-2052.

ZOU Yutao, DUAN Jinbao, ZHAO Yanjun, et al. Tectonic characteristics and evolution of the high and steep fault folding belt in east Sichuan[J]. Acta Geologica Sinica, 2015, 89(11): 2046-2052.

[13]
四川油气区石油地质志编写. 中国石油地质志-卷十-四川油气区[M]. 北京: 石油工业出版社, 1989.

Compilation Group of Petroleum Geology of Sichuan Oil and Gas Region. Petroleum geology of China, Volume 10, Sichuan oil and gas region[M]. Beijing: Petroleum Industry Press, 1989.

[14]
汪泽成, 李宗银, 李志荣, 等. 川中地区须家河组构造变形成因探讨及其勘探意义[J]. 天然气工业, 2012, 32(4): 13-18.

WANG Zecheng, LI Zongyin, LI Zhirong, et al. Genesis of structural deformation of the Xujiahe Formation in the central Sichuan Basin and its significance to petroleum exploration[J]. Natural Gas Industry, 2012, 32(4): 13-18.

[15]
刘竞, 夏茂龙, 梁静, 等. 川东北大巴山地区油气保存条件综合分析[J]. 天然气勘探与开发, 2023, 46(2): 12-19.

DOI

LIU Jing, XIA Maolong, LIANG Jing, et al. Comprehensive analysis on oil and gas preservation conditions of Dabashan area,northeastern Sichuan Basin[J]. Natural Gas Exploration and Development, 2023, 46(2): 12-19.

DOI

[16]
胡东风, 魏志红, 王威, 等. 四川盆地东北部雷页1井上二叠统大隆组页岩气勘探突破及其启示[J]. 天然气工业, 2023, 43(11): 28-39.

HU Dongfeng, WEI Zhihong, WANG Wei, et al. Breakthrough of shale gas exploration in Dalong Formation of Upper Permian by Well Leiye 1 in the northeastern Sichuan Basin and its implications[J]. Natural Gas Industry, 2023, 43(11): 28-39.

[17]
杨雨, 汪华, 谢继容, 等. 页岩气勘探新领域: 四川盆地开江—梁平海槽二叠系海相页岩气勘探突破及展望[J]. 天然气工业, 2023, 43(11): 19-27.

YANG Yu, WANG Hua, XIE Jirong, et al. Exploration breakthrough and prospect of Permian marine shale gas in the Kaijiang-Liangping trough, Sichuan Basin[J]. Natural Gas Industry, 2023, 43(11): 19-27.

[18]
王兴志, 李博, 杨西燕, 等. 四川盆地北部中二叠世晚期“广元—旺苍”海槽特征及其油气地质意义[J]. 石油勘探与开发, 2021, 48(3): 562-574.

DOI

WANG Xingzhi, LI Bo, YANG Xiyan, et al. Characteristics of “Guangyuan-Wangcang” trough during late middle Permian and its petroleum geological significance in northern Sichuan Basin, SW China[J]. Petroleum Exploration and Development, 2021, 48(3): 562-574.

[19]
马新华, 杨雨, 文龙, 等. 四川盆地海相碳酸盐岩大中型气田分布规律及勘探方向[J]. 石油勘探与开发, 2019, 46(1): 1-13.

DOI

MA Xinhua, YANG Yu, WEN Long, et al. Distribution and exploration direction of medium-and large-sized marine carbonate gas fields in Sichuan Basin, SW China[J]. Petroleum Exploration and Development, 2019, 46(1): 1-13.

[20]
ISOZAKI Y, YAO J, MATSUDA T, et al. Stratigraphy of the Middle-Upper Permian and lowermost Triassic at Chaotian, Sichuan, China record of Late Permian double mass extinction event[J]. Proceedings of the Japan Academy. Series B, Physical and Biological Sciences, 2004, 80(1): 10-16.

[21]
王一刚, 文应初, 洪海涛, 等. 四川盆地及邻区上二叠统—下三叠统海槽的深水沉积特征[J]. 石油与天然气地质, 2006, 27(5): 702-714.

WANG Yigang, WEN Yingchu, HONG Haitao, et al. Petroleum geological characteristics of deep water deposits in Upper Permian-Lower Triassic trough in Sichuan Basin and adjacent areas[J]. Oil & Gas Geology, 2006, 27(5): 702-714.

[22]
徐诗雨, 夏茂龙, 祝怡, 等. 开江—梁平海槽演化阶段与构造沉积特征[J]. 断块油气田, 2023, 30(6): 963-974.

XU Shiyu, XIA Maolong, ZHU Yi, et al. Evolution stage and tectonic sedimentary characteristics of the Kaijiang-Liangping trough[J]. Fault-Block Oil and Gas Field, 2023, 30(6): 963-974.

[23]
徐安娜, 汪泽成, 江兴福, 等. 四川盆地开江—梁平海槽两侧台地边缘形态及其对储层发育的影响[J]. 天然气工业, 2014, 34(4): 37-43.

XU Anna, WANG Zecheng, JIANG Xingfu, et al. Morphological characteristics of platform margins along the Kaijiang-Liangping Trough and their influences on reservoir development in the Sichuan Basin[J]. Natural Gas Industry, 2014, 34(4): 37-43.

[24]
DU Y, WANG X Z, TANG R F, et al. Extraordinarily high organic matter enrichment in Upper Permian Wujiaping Formation in the Kaijiang-Liangping Trough, Sichuan Basin[J]. Energies, 2023, 16(1): 349.

[25]
黄籍中. 干酪根的稳定碳同位素分类依据[J]. 地球与环境, 1988, 16(3): 66-68.

HUANG Jizhong. Stable carbon isotope classification basis for casein roots[J]. Earth and Environment, 1988, 16(3): 66-68.

[26]
聂海宽, 张光荣, 李沛, 等. 页岩有机孔研究现状和展望[J]. 石油学报, 2022, 43(12): 1770-1787.

DOI

NIE Haikuan, ZHANG Guangrong, LI Pei, et al. Research status and prospect on organic matter pores in shale[J]. Acta Petrolei Sinica, 2022, 43(12): 1770-1787.

DOI

[27]
施振生, 张亚雄, 曾番惠, 等. 海相细粒陆源碎屑岩主要沉积构造类型及页岩气意义[J]. 古地理学报, 2025, 27(1): 32-54.

DOI

SHI Zhensheng, ZHANG Yaxiong, ZENG Fanhui, et al. Main sedimentary structure types of marine fine-grained terrigenous clastic rocks and their significance for shale gas[J]. Journal of Palaeogeography (Chinese Edition), 2025, 27(1): 32-54.

[28]
管全中, 董大忠, 孙莎莎, 等. 深层富有机质页岩孔隙结构分形特征及其地质意义: 以四川盆地威远地区下志留统龙马溪组为例[J]. 天然气工业, 2024, 44(3): 108-118.

GUAN Quanzhong, DONG Dazhong, SUN Shasha, et al. Fractal characteristics of organic-rich shale pore structure and its geological implications: A case study of the Lower Silurian Longmaxi Formation in the Weiyuan block, Sichuan Basin[J]. Natural Gas Industry, 2024, 44(3): 108-118.

[29]
石书缘, 杨威, 周刚, 等. 特提斯域演化对四川超级盆地油气系统形成的影响[J]. 石油勘探与开发, 2024, 51(5): 1024-1039.

DOI

SHI Shuyuan, YANG Wei, ZHOU Gang, et al. Impact of Tethyan domain evolution on the formation of petroleum systems in the Sichuan super basin, SW China[J]. Petroleum Exploration and Development, 2024, 51(5): 1024-1039.

[30]
邓宾, 刘树根, 姚根顺, 等. 四川超级含气盆地古生界大中型气田分布规律及其主控因素[J]. 天然气工业, 2024, 44(7): 54-76.

DENG Bin, LIU Shugen, YAO Genshun, et al. Distribution pattern and main controlling factors of Paleozoic giant-and medium-sized gas fields of the Sichuan super gas basin in Southwest China[J]. Natural Gas Industry, 2024, 44(7): 54-76.

[31]
魏国齐, 沈平, 杨威, 等. 四川盆地震旦系大气田形成条件与勘探远景区[J]. 石油勘探与开发, 2013, 40(2): 129-138.

WEI Guoqi, SHEN Ping, YANG Wei, et al. Formation conditions and exploration prospects of Sinian large gas fields, Sichuan Basin[J]. Petroleum Exploration and Development, 2013, 40(2): 129-138.

[32]
魏祥峰, 李宇平, 魏志红, 等. 保存条件对四川盆地及周缘海相页岩气富集高产的影响机制[J]. 石油实验地质, 2017, 39(2): 147-153.

WEI Xiangfeng, LI Yuping, WEI Zhihong, et al. Effects of preservation conditions on enrichment and high yield of shale gas in Sichuan Basin and its periphery[J]. Petroleum Geology and Experiment, 2017, 39(2): 147-153.

[33]
汪泽成, 赵文智, 徐安娜, 等. 四川盆地北部大巴山山前带构造样式与变形机制[J]. 现代地质, 2006, 20(3): 429-435.

WANG Zecheng, ZHAO Wenzhi, XU Anna, et al. Structure styles and their deformation mechanisms of Dabashan foreland thrust belt in the north of Sichuan Basin[J]. Geoscience, 2006, 20(3): 429-435.

[34]
韦恒叶, 胡谍, 邱振, 等. 川北—鄂西上二叠统富有机岩沉积与地球化学特征[J]. 沉积学报, 2024, 42(3): 774-798.

WEI Hengye, HU Die, QIU Zhen, et al. Sedimentological and geochemical characteristics of Late Permian organic-rich rocks in north Sichuan and west Hubei provinces[J]. Acta Sedimentologica Sinica, 2024, 42(3): 774-798.

[35]
何文渊, 蒙启安, 白雪峰, 等. 川东北地区二叠系—三叠系多期台缘演化规律及勘探方向[J]. 石油学报, 2022, 43(9): 1201-1212.

DOI

HE Wenyuan, MENG Qi’an, BAI Xuefeng, et al. Evolution and exploration direction of Permian-Triassic multiphase platform margin in northeast Sichuan Basin[J]. Acta Petrolei Sinica, 2022, 43(9): 1201-1212.

DOI

[36]
黄大瑞, 蔡忠贤, 朱扬明. 川东北龙潭(吴家坪)组沉积相与烃源岩发育[J]. 海洋石油, 2007, 27(3): 57-63.

HUANG Darui, CAI Zhongxian, ZHU Yangming. The sedimentary setting and the source rock of Longtan (Wujiaping) strata in the northeastern Sichuan Basin[J]. Offshore Oil, 2007, 27(3): 57-63.

[37]
陈建平, 李伟, 倪云燕, 等. 四川盆地二叠系烃源岩及其天然气勘探潜力(二): 烃源岩地球化学特征与天然气资源潜力[J]. 天然气工业, 2018, 38(6): 33-45.

CHEN Jianping, LI Wei, NI Yunyan, et al. The Permian source rocks in the Sichuan basin and its natural gas exploration potential (part 2): Geochemical characteristics of source rocks and latent capacity of natural gas resources[J]. Natural Gas Industry, 2018, 38(6): 33-45.

[38]
马恺, 张兵, 王艳, 等. 四川盆地高峰场地区上二叠统吴家坪组页岩石英成因研究[J]. 矿物岩石, 2022, 42(3): 67-77.

MA Kai, ZHANG Bing, WANG Yan, et al. Study on the genesis of different lithofacies quartz in Wujiaping Formation shale in Gaofengchang area, Sichuan Basin[J]. Mineralogy and Petrology, 2022, 42(3): 67-77.

[39]
TRIBOVILLARD N, ALGEO T J, BAUDIN F, et al. Analysis of marine environmental conditions based onmolybdenum-uranium covariation: Applications to Mesozoic paleoceanography[J]. Chemical Geology, 2012, 324/325: 46-58.

[40]
颜照坤, 李勇, 聂舟, 等. 印支期泸州—开江古隆起演化过程及其动力学机制[J]. 地球科学, 2023, 48(12): 4540-4557.

YAN Zhaokun, LI Yong, NIE Zhou, et al. Evolution process and dynamic mechanism of Luzhou-Kaijiang paleo-uplift during Indosinian, China[J]. Earth Science, 2023, 48(12): 4540-4557.

[41]
杨雪, 石学文, 朱逸青, 等. 四川盆地南部泸州地区凯迪阶—埃隆阶深水页岩沉积演化与有机质富集[J]. 石油学报, 2022, 43(4): 469-482.

DOI

YANG Xue, SHI Xuewen, ZHU Yiqing, et al. Sedimentary evolution and organic matter enrichment of Katian-Aeronian deep-water shale in Luzhou area, southern Sichuan Basin[J]. Acta Petrolei Sinica, 2022, 43(4): 469-482.

DOI

[42]
姜鹏飞, 吴建发, 朱逸青, 等. 四川盆地海相页岩气富集条件及勘探开发有利区[J]. 石油学报, 2023, 44(1): 91-109.

DOI

JIANG Pengfei, WU Jianfa, ZHU Yiqing, et al. Enrichment conditions and favorable areas for exploration and development of marine shale gas in Sichuan Basin[J]. Acta Petrolei Sinica, 2023, 44(1): 91-109.

DOI

[43]
吴建发, 赵圣贤, 范存辉, 等. 川南长宁地区龙马溪组富有机质页岩裂缝发育特征及其与含气性的关系[J]. 石油学报, 2021, 42(4): 428-446.

DOI

WU Jianfa, ZHAO Shengxian, FAN Cunhui, et al. Fracture characteristics of the Longmaxi Formation shale and its relationship with gas-bearing properties in Changning area, southern Sichuan[J]. Acta Petrolei Sinica, 2021, 42(4): 428-446.

DOI

[44]
高东伟, 代林, 刘湘, 等. 鄂西地区二叠系页岩气钻完井难点及对策[J]. 世界石油工业, 2024, 31(4): 81-93.

GAO Dongwei, DAI Lin, LIU Xiang, et al. Difficulties and countermeasures of drilling and completion of Permian shale gas in western Hubei[J]. World Petroleum Industry, 2024, 31(4): 81-93.

[45]
陈更生, 吴建发, 刘勇, 等. 川南地区百亿立方米页岩气产能建设地质工程一体化关键技术[J]. 天然气工业, 2021, 41(1): 72-82.

CHEN Gengsheng, WU Jianfa, LIU Yong, et al. Geology-engineering integration key technologies for ten billion cubic meters of shale gas productivity construction in the Southern Sichuan Basin[J]. Natural Gas Industry, 2021, 41(1): 72-82.

[46]
何骁, 陈更生, 吴建发, 等. 四川盆地南部地区深层页岩气勘探开发新进展与挑战[J]. 天然气工业, 2022, 42(8): 24-34.

HE Xiao, CHEN Gengsheng, WU Jianfa, et al. Deep shale gas exploration and development in the southern Sichuan Basin: New progress and challenges[J]. Natural Gas Industry, 2022, 42(8): 24-34.

[47]
雍锐, 陈更生, 杨学锋, 等. 四川长宁—威远国家级页岩气示范区效益开发技术与启示[J]. 天然气工业, 2022, 42(8): 136-147.

YONG Rui, CHEN Gengsheng, YANG Xuefeng, et al. Profitable development technology of the Changning-Weiyuan National Shale Gas Demonstration Area in the Sichuan Basin and its enlightenment[J]. Natural Gas Industry, 2022, 42(8): 136-147.

文章导航

/