油气田开发

耦合高压降吸附作用的压驱非线性渗流模型——以大庆油田中低渗透储层为例

  • 王凤娇 , 1, 2 ,
  • 徐贺 , 1 ,
  • 刘义坤 1, 3 ,
  • 孟详昊 1 ,
  • 刘吕超帆 1
展开
  • 1 东北石油大学提高油气采收率教育部重点实验室,黑龙江大庆 163318
  • 2 大庆石油管理局博士后工作站,黑龙江大庆 163453
  • 3 东北石油大学三亚海洋油气研究院,海南三亚 572024
徐贺(1999-),男,黑龙江哈尔滨人,东北石油大学石油工程学院在读博士研究生,主要从事油气多尺度渗流机理及压驱技术提高采收率机理方面的研究工作。地址:黑龙江省大庆市高新技术产业开发区学府街99号,邮政编码:163318。E-mail:

王凤娇(1988-),女,黑龙江哈尔滨人,博士,东北石油大学石油工程学院教授,主要从事油气多尺度渗流机理及提高采收率技术等方面的研究工作。地址:黑龙江省大庆市高新技术产业开发区学府街99号,邮政编码:163318。E-mail:

Copy editor: 胡苇玮

收稿日期: 2024-05-17

  修回日期: 2024-11-24

  网络出版日期: 2024-12-10

基金资助

国家自然科学基金“振击压驱方法孔隙流体瞬时聚能微观力学机制及渗流机理研究”(52374035)

国家自然科学基金“压裂-渗流-驱油方法多场耦合渗流机理研究”(52074087)

中国博士后自然科学基金“基于溶质运移的压裂-渗流-驱油方法多场耦合渗流机理研究”(2021M690528)

Non-linear seepage model of hydraulic fracturing assisted oil displacement coupled with effects of high-pressure reduced adsorption: A case study of low and medium permeability reservoirs in Daqing Oilfield, NE China

  • WANG Fengjiao , 1, 2 ,
  • XU He , 1 ,
  • LIU Yikun 1, 3 ,
  • MENG Xianghao 1 ,
  • LIU Lyuchaofan 1
Expand
  • 1 Key Laboratory of Enhanced Oil Recovery, Ministry of Education, Northeast Petroleum University, Daqing 163318, China
  • 2 Postdoctoral Res Ctr, Daqing Oilfield Company Limited, Daqing 163453, China
  • 3 Sanya Offshore Oil and Gas Research Institute, Northeast Petroleum University, Sanya 572024, China

Received date: 2024-05-17

  Revised date: 2024-11-24

  Online published: 2024-12-10

摘要

考虑压驱剂在基质内的吸附耗损,提出压驱剂动态饱和吸附量随压差和渗透率变化的表征方法,耦合压驱剂黏度-浓度变化关系,建立考虑高压降吸附作用的压驱非线性渗流模型,并开展了影响因素分析。研究表明:压驱技术补能效果主要受基质渗透率、裂缝长度、压驱剂初始浓度影响,补能效果与基质渗透率、裂缝长度呈正相关,与压驱剂初始浓度呈负相关;高压驱剂初始浓度和注入量有利于提高基质内压驱剂浓度从而增强洗油效率,但较长裂缝不利于保持基质内较高的压驱剂浓度;裂缝长度和泵注排量是影响压驱后基质内流体渗流速度的直接因素,可控制驱替相前缘位置,从而影响压驱波及面积。合理选择上述参数,可有效补充地层能量,扩大压驱剂波及体积,提高压驱采收率,并节约开发成本。

本文引用格式

王凤娇 , 徐贺 , 刘义坤 , 孟详昊 , 刘吕超帆 . 耦合高压降吸附作用的压驱非线性渗流模型——以大庆油田中低渗透储层为例[J]. 石油勘探与开发, 2024 , 51(6) : 1355 -1362 . DOI: 10.11698/PED.20240325

Abstract

Considering the adsorption loss of the hydraulic fracturing assisted oil displacement (HFAD) agent in the matrix, a method is proposed to characterize the dynamic saturation adsorption capacity of the HFAD agent with pressure differential and permeability. Coupled with the viscosity-concentration relationship of the HFAD agent, a non-linear seepage model of HFAD was established, taking into account the adsorption effect of high pressure drops, and the influencing factors were analyzed. The findings indicate that the replenishment of formation energy associated with HFAD technology is predominantly influenced by matrix permeability, fracture length and the initial concentration of the HFAD agent. The effect of replenishment of formation energy is positively correlated with matrix permeability and fracture length, and negatively correlated with the initial concentration of the HFAD agent. The initial concentration and injection amount of the high-pressure HFAD agent can enhance the concentration of the HFAD agent in the matrix and improve the efficiency of oil washing. However, a longer fracture is not conducive to maintaining the high concentration of the HFAD agent in the matrix. Furthermore, the fracture length and pump displacement are the direct factors affecting the fluid flow velocity in the matrix subsequent to HFAD. These factors can be utilized to control the location of the displacement phase front, and thus affect the swept area of HFAD. A reasonable selection of the aforementioned parameters can effectively supplement the formation energy, expand the swept volume of the HFAD agent, improve the recovery efficiency of HFAD, and reduce the development cost.

0 引言

压驱技术是近年来提出的一种新型提高采收率技术,兼顾水力压裂和化学驱的技术优势,并将传统水力压裂的“促裂缝延伸”变为“缓裂缝延伸”,将“抑制压裂液滤失”变为“促进滤失”[1]。该技术可有效抑制因裂缝快速延伸导致的驱替相前缘过早突破现象,扩大驱替相波及体积,提高驱油效率[2]。现有研究表明:压驱技术高压注入条件下可有效补充地层能量,改善储层孔渗物性,扩大平均孔喉半径,并降低原油在壁面上的黏附功,从而降低流体渗流阻力,提高流体渗流速度[3-5];该技术还可降低压驱剂在储层内的吸附耗损,提高压驱剂有效浓度,从而达到经济高效开发目的[6-7]
目前,压驱技术已广泛应用于大庆油田和胜利油田,并陆续在长庆油田、吐哈油田、江苏油田等陆相砂岩油田以及海上低渗透油田开展了先导试验[8-12]。以大庆油田萨中开发区为例,其主要挖潜对象已从主力油层逐步转为中低渗透储层,长期注水开发导致地层能量亏空严重,面临动用程度低、采用常规措施难以有效挖潜等一系列问题。为此,对该区80口生产井实施压驱措施,并取得了较好的开发效果。以X井组为例,压驱前单井平均日产油0.86 t,单井含水率平均89.46%。压驱措施后,有效期内单井平均日产油5.74 t,单井含水率降低至平均84.53%,平均单井有效生产周期253 d,平均单井累计增油1 452.22 t。由此可见,该技术控水增油效果显著,可有效提高驱油效率[13-15]。然而,目前鲜见针对压驱渗流理论的研究报道。压驱技术高压增能作用可有效降低压驱剂吸附耗损,影响压驱剂浓度场分布,从而改变流体黏度场,致使常规渗流模型不再适用。因此,压驱后流体渗流规律尚不明确,工程应用缺乏理论指导,制约了压驱技术的进一步大范围推广应用。
针对上述问题,本文以大庆油田中低渗透储层为例,通过动态吸附实验反演回归动态吸附量随渗透率和压差的变化关系。然后,基于达西定律,考虑压驱过程中压驱剂吸附耗损,引入黏度-浓度变化方程,建立压驱多因素耦合非线性渗流模型。最后,对模型进行敏感性分析,明确各参数对压驱后基质内流体渗流规律的影响。

1 压驱剂吸附规律实验研究

1.1 实验材料

实验试剂为压驱剂(石油磺酸盐,有效含量70%,其黏度-浓度关系曲线如图1所示)、海明1622溶液(0.004 mol/L)、亚甲基蓝溶液(0.036 g/L)、百里酚蓝溶液(0.07 g/L)、稀硫酸(10%)和氯仿。
图1 压驱剂黏度-质量浓度关系曲线
实验用水为大庆油田萨中开发区回注水,矿化度为3 681 mg/L。
实验岩心为人造岩心。取萨中开发区X井组天然岩心6块,其矿物成分分析结果如表1所示,可见该区块储层矿物以石英和斜长石为主。分别制备不同渗透率级别人造岩心,岩心中各矿物组分含量取表1中均值,以保证动态吸附实验的平行性。人造岩心渗透率为(50~90)×10-3 μm2,共12块,岩心基础参数如表2所示。
表1 萨中开发区X井组天然岩心矿物成分表
样品
编号
石英/
%
钾长
石/%
斜长
石/%
岩屑/
%
黏土
矿物/%
方解
石/%
白云
石/%
1 47.50 7.80 27.90 4.50 11.38 0.80 0.12
2 47.90 7.70 29.30 4.30 10.34 0.40 0.06
3 48.10 7.90 28.85 4.20 10.30 0.60 0.05
4 49.20 7.63 27.90 4.30 10.35 0.55 0.07
5 49.00 7.60 27.80 4.30 10.70 0.50 0.10
6 48.80 7.70 28.30 4.20 10.40 0.52 0.08
均值 48.42 7.72 28.34 4.30 10.58 0.56 0.08
表2 动态吸附实验基础参数
人造岩心编号 岩心长度/m 直径/m 渗透率级别/10-3 μm2 渗透率/10-3 μm2 孔隙度/% 驱替压差/MPa 围压/MPa
1-1 0.1 0.025 50 50.34 17.42 0.1 3
1-2 0.1 0.025 49.96 17.13 0.5 3
1-3 0.1 0.025 49.18 16.98 1.0 3
1-4 0.1 0.225 50.27 17.38 1.5 3
2-1 0.1 0.025 70 70.68 18.64 0.1 3
2-2 0.1 0.025 69.14 18.13 0.5 3
2-3 0.1 0.025 69.43 18.28 1.0 3
2-4 0.1 0.225 70.85 18.72 1.5 3
3-1 0.1 0.025 90 90.46 19.76 0.1 3
3-2 0.1 0.025 89.13 19.43 0.5 3
3-3 0.1 0.025 90.96 19.91 1.0 3
3-4 0.1 0.025 89.81 19.62 1.5 3

1.2 实验设备

主要设备为HBYQ-2耐高温高压岩心流动实验装置(见图2),包含双缸恒速恒压泵、活塞容器、压力传感器、岩心夹持器、恒温箱和计量装置等。辅助设备有手摇泵、真空泵、计时器、搅拌器、电子天平、具塞量筒、微量滴定管、计量试管等。
图2 实验装置示意图

1.3 实验设计

实验步骤:①按图2所示连接装置,阀门b开启,阀门a关闭,将岩心放入岩心夹持器并抽真空饱和水;②开启压驱剂活塞容器上部对应阀门及岩心夹持器两端阀门,随后开启恒速恒压泵,按表2中实验方案恒压注入压驱剂;③岩心出口端采出液压驱剂浓度恢复至压驱剂初始浓度时,认为岩心达到动态饱和吸附状态,动态吸附实验结束;④采用两相滴定法对压驱剂进行浓度测定,根据标准溶液确定修正系数A°,并根据(1)式计算每管采出液中的压驱剂浓度,然后根据(2)式计算压驱剂动态饱和吸附量[7];⑤更换岩心重复步骤①—③,直至表2中所有实验方案全部完成。
$ C=\frac{A^{\prime} V_{1} c_{\mathrm{h}} M}{1000 V} \times 100 \%$
$ \Gamma=\frac{c_{0} V_{0}-\sum C_{i} V_{i}}{m}$
压驱剂浓度测定原理为[7]:以10%的稀硫酸溶液提供酸性环境,以氯仿作为萃取剂,以亚甲基蓝(阳离子染料)和百里酚蓝(阴离子染料)作为指示剂;使用海明1622(阳离子型表面活性剂)滴定压驱剂(石油磺酸盐,阴离子型表面活性剂);滴定前,压驱剂与亚甲基蓝形成蓝色络合物,与百里酚蓝混合使下层有机相呈浅紫灰色,上层混合指示剂呈紫色;滴定过程中,海明1622与压驱剂反应,上层紫色逐渐变浅;最后,过量的海明1622与百里酚蓝形成溶于氯仿的黄色络合物,与亚甲基蓝混合使下层有机相呈黄绿色,滴定到达终点。

1.4 实验结果

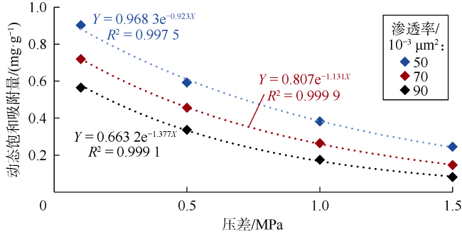
不同渗透率条件下压驱剂在岩心内动态饱和吸附量随驱替压差变化关系曲线如图3所示。可见,压驱剂动态饱和吸附量与渗透率和压差呈负相关,且不同渗透率条件下压驱剂动态饱和吸附量随压差的变化趋势相同;当压差达到一定值后,动态饱和吸附量下降幅度变小。岩心渗透率越低,其孔喉连通性越差,压驱高压增能改善孔喉连通性效果越好,压驱高压降吸附效果越明显;当渗透率升高到一定值后,压驱高压增能对岩心孔喉连通性影响变小,压驱高压降吸附效果减弱。
图3 不同渗透率条件下压驱剂动态饱和吸附量随驱替压差变化关系曲线
分析图3中3条曲线发现:不同渗透率条件下,压驱剂在岩心内动态饱和吸附量随压差的变化关系均符合指数变化关系。因此,提出表征压驱剂动态饱和吸附量随压差和渗透率变化的方法,通过对不同渗透率条件下压驱剂动态吸附量随压差变化结果进行回归,建立压驱剂动态饱和吸附量随压差和渗透率的变化关系式:
$ \Gamma=a \mathrm{e}^{-b \Delta p}$
(3)式中,系数ab均与基质渗透率相关。绘制系数ab随渗透率的变化关系曲线,如图4所示。通过反演方法确定系数ab随岩心渗透率的变化关系,并建立相关方程:
$ \left\{\begin{array}{l} a=-0.517 \ln K_{\mathrm{m}}+2.9942 \\ b=0.7665 \ln K_{\mathrm{m}}-2.0859 \end{array}\right.$
图4 系数ab随岩心渗透率变化关系曲线
将(4)式代入(3)式,即可得到压驱剂在岩心内动态饱和吸附量随驱替压差和渗透率变化关系式:
$ \Gamma=\left(-0.517 \ln K_{\mathrm{m}}+2.9942\right) \mathrm{e}^{-\left(0.7665 \ln K_{\mathrm{m}}-2.0859\right) \Delta p}$

2 渗流模型

2.1 模型假设

压驱技术借助水力压裂手段将压驱剂高速泵入储层并压开裂缝(裂缝为水平裂缝,且不考虑裂缝扩展过程)。压驱剂随着裂缝扩展向沿程上下储层渗流(忽略压驱剂从裂缝尖端向基质中渗流),流体经裂缝流向基质孔隙(见图5)。
假设流体在基质内的流动符合达西定律,忽略裂缝内压力变化;假设注入流体向裂缝上下基质内的流量相同,计算过程中取模型上半部分;假设基质均匀且各向同性,流体在基质中发生单相等温的平面单向流,基质内压力分布pm(x, r)与裂缝半长(r)、渗流距离(x)相关;考虑压驱剂在基质中的吸附耗损,假设压驱剂在波及范围内的基质中均达到动态饱和吸附,不考虑重力影响,岩石、流体不可压缩。

2.2 压驱非线性多因素耦合渗流模型建立

压驱剂在压差作用下从裂缝向基质中渗流(x方向),将裂缝视为供给边界,供给压力为pf,压驱剂在储层渗流的最远距离为xe/2,此位置边界压力为pme。根据质量守恒定律可知单位时间内流动单元内流体流入与流出的总质量差在数值上等于单位时间内该单元内流体质量的变化量,且该渗流单元内流体发生稳定渗流,流入与流出该单元的流体质量相等,即连续性方程[16]
$ \frac{\partial\left(\rho_{\mathrm{w}} v_{\mathrm{m}}\right)}{\partial x}=0$
运动方程[17]
$ v_{\mathrm{m}}=-10^{6} \frac{K_{\mathrm{m}}}{\mu_{\mathrm{m}}} \frac{\partial p_{\mathrm{m}}}{\partial x}$
将(7)式代入(6)式可得:
$ \frac{\partial\left(\frac{\rho_{\mathrm{w}} K_{\mathrm{m}}}{\mu_{\mathrm{m}}} \frac{\partial p_{\mathrm{m}}}{\partial x}\right)}{\partial x}=0$
对(8)式积分得:
$ \frac{\partial p_{\mathrm{m}}}{\partial x}=C_{1} \mu_{\mathrm{m}}$
根据图1拟合压驱剂黏度随浓度变化关系曲线,确定压驱剂黏度变化方程为:
$ \mu_{\mathrm{m}}=0.0006 c+0.6228$
考虑压驱剂在基质内发生吸附耗损,且压驱剂在波及区域内的基质岩石中均达到动态饱和吸附,波及区域内基质岩石质量为:
$ M_{\mathrm{m}}=10^{-6} \rho_{\mathrm{r}} x r w$
压驱剂在基质岩石内动态饱和吸附量为:
$ c_{1}=M_{\mathrm{m}} a \mathrm{e}^{-b \Delta \Delta p}$
则基质内压驱剂质量浓度随压差变化关系为:
$ c=c_{0}-\frac{10^{-3} \rho_{\mathrm{r}} x \partial w a \mathrm{e}^{-b \Delta p}}{q t / 2}$
(13)式中,qt即为压驱剂注入量。基质中x位置处的驱替压差可以表示为:
$ \Delta p=p_{\mathrm{f}}-p_{\mathrm{m}}$
将(14)式代入(13)式中可得:
$ c=c_{0}-\frac{10^{-3} \rho_{\mathrm{r}} x z w a \mathrm{e}^{-b\left(p_{\mathrm{r}}-p_{\mathrm{m}}\right)}}{q t / 2}$
将(15)式代入(10)式中可得:
$ \mu_{\mathrm{m}}=0.0006 c_{0}-\frac{0.0006 \times 10^{-3} \rho_{\mathrm{r}} x z w a e^{-b\left(p_{\mathrm{t}}-p_{\mathrm{m}}\right)}}{q t / 2}+0.6228$
将(16)式代入(9)式可得:
$ \frac{\partial p_{\mathrm{m}}}{\partial x}=A-B x \mathrm{e}^{b p_{m}}$
其中:
$ \left\{\begin{array}{l} A=\left(0.0006 c_{0}+0.6228\right) C_{\mathrm{1}} \\ B=\frac{0.0006 \times 10^{-3} \rho_{\mathrm{r}} r w C_{\mathrm{1}} a \mathrm{e}^{-b p_{r}}}{q t / 2} \end{array}\right.$
基于常数变易法求得基质内压力分布公式为:
$ p_{\mathrm{m}}=\frac{-\ln \left(\frac{B}{A} x-\frac{B}{b A^{2}}+C_{\mathrm{II}} \mathrm{e}^{-b A x}\right)}{b}$
对(19)式求导得:
$ \frac{\partial p_{\mathrm{m}}}{\partial x}=-\frac{1}{b} \frac{\frac{B}{A}-b A C_{\mathrm{I}} \mathrm{e}^{-b. d x}}{\frac{B}{A} x-\frac{B}{b A^{2}}+C_{\mathrm{II}} \mathrm{e}^{-b. d x}}$
将(20)式代入(7)式得:
$ v_{\mathrm{m}}=10^{6} \frac{K_{\mathrm{m}}}{\mu_{\mathrm{m}}} \frac{B A-b A^{3} C_{\mathrm{II}} \mathrm{e}^{-b. d x}}{B A b x-B+C_{\mathrm{II}} A^{2} b \mathrm{e}^{-b. \Delta x}}$

2.3 模型求解

模型初始条件为:
$ \left\{\begin{array}{ll} t=t, & r=r, \quad x=0, \quad p_{\mathrm{m}}=p_{\mathrm{f}} \\ t=t, & r=r, \quad x=\frac{x_{\mathrm{e}}}{2}, \quad p_{\mathrm{m}}=p_{\mathrm{me}} \end{array}\right.$
由于不同注入排量条件下裂缝内的压力不同,为确保模型准确性,以大庆油田萨中开发区现场监测数据为例,绘制地面施工排量与缝内压力间的关系曲线,如图6所示。可见,随着施工排量的增加,缝内压力快速上升,然后趋于平稳。根据图6拟合出缝内压力与泵注排量间的关系式为:
$ p_{\mathrm{f}}=-0.0737 q^{2}+1.1374 q+18.152$
图6 不同施工排量条件下缝内压力变化曲线

2.4 模型验证

通过压驱实验模拟压驱剂沿裂缝向基质远端的渗流过程,以岩心入口端面模拟裂缝端面,以压驱剂从入口流向岩心远端表征压驱剂沿裂缝向上/下储层基质渗流的过程。使用前文所述人造岩心制备方法制作岩心,岩心尺寸为4.5 cm×4.5 cm×30.0 cm,渗透率为76.4×10-3 μm2,岩心夹持器每隔10 cm布置1个测压点,用于监测压驱后岩心不同位置处的压力数据。采用图2所示装置开展模拟实验,阀门a开启,阀门b关闭。岩心放入夹持器后抽真空饱和水(认为岩心内初始压力为0.1 MPa,即pme=0.1 MPa)。实验未设置采出端,仅模拟压驱剂的注入过程,设置压驱剂注入速度为5 cm3/min,注入量为20 cm3。压驱结束时分别读取4个测压点的压力数据,绘制压驱后岩心沿程压力曲线,如图7所示。岩心入口端压力为16.38 MPa,即采用模型计算岩心内压力分布时pf=16.38 MPa。
图7 模型计算与实验的压力对比
根据表3中的基础数据,采用理论模型计算岩心不同位置处的压力,并与实验数据对比(见图7)。可见,本文所建立的理论模型计算的压力分布曲线与实验结果吻合度较高,可较好地模拟压驱过程。但模型忽略了重力影响以及岩石和流体的可压性,导致模拟结果与实验数据存在一定的偏差。
表3 模型验证基础参数表
参数 取值 参数 取值
ρr 1.963 g/cm3 w 4.5 cm
xe 0.3 m q 5 cm3/min
c 3 000 mg/L t 4 min
r 4.5 cm Km 76.4×10-3 μm2

3 影响因素分析

为方便计算,变量t取值为施工完成时间,设定压驱剂注入量为2 000 m3,具体基础参数如表4所示。
表4 影响因素分析基础参数表
参数 取值 参数 取值
ρr 1.963 g/cm3 w 20 m
xe 2 m q 5 m3/min
c 3 000 mg/L t 400 min
r 70 m Km 70×10-3 μm2
通过计算压驱过程中基质内压力、渗流速度和压驱剂质量浓度,重点分析基质渗透率、压驱剂初始质量浓度、压驱剂注入量、泵注排量和裂缝长度对压驱后基质内流体渗流规律的影响。在分析某一参数的影响时,只对该参数取不同值,其他参数取值均根据表4确定。

3.1 基质渗透率

不同基质渗透率条件下基质内压力、渗流速度和压驱剂质量浓度随渗流距离的变化关系如图8所示。可以看出,基质内压力、渗流速度和压驱剂质量浓度均与基质渗透率呈正相关。相对于基质渗透率50×10-3 μm2而言,基质渗透率为60×10-3,70×10-3,80×10-3,90×10-3,100×10-3 μm2时,基质远端(渗流距离为1 m时)流体渗流速度分别升高1.06%,1.80%,2.36%,2.79%,3.15%,压力分别升高4.40%,7.68%,10.22%,12.24%,13.89%,压驱剂质量浓度分别增大0.22,0.41,0.56,0.70,0.82倍。由此可见,基质渗透率是影响压驱后基质内压力和压驱剂质量浓度的重要因素,对流体渗流速度影响较小;基质渗透率越大,压驱后基质内压力和压驱剂质量浓度越高,压驱技术补能效果越好,洗油效率越强。
图8 不同基质渗透率条件下基质内压力、渗流速度和压驱剂质量浓度随渗流距离的变化关系曲线

3.2 压驱剂初始质量浓度

不同压驱剂初始质量浓度条件下基质内压力、渗流速度和压驱剂质量浓度随渗流距离的变化关系如图9所示。可以看出,渗流速度和压驱剂质量浓度与压驱剂初始质量浓度呈正相关,基质内压力与其呈负相关。相对于压驱剂初始质量浓度2 000 mg/L而言,压驱剂初始质量浓度为2 500,3 000,3 500,4 000 mg/L时,基质远端流体渗流速度分别升高2.95%,4.49%,5.43%,6.06%,压力分别降低3.54%,7.07%,10.59%,14.10%,压驱剂质量浓度分别增大4.76,9.50,14.21,18.90倍。由此可见,压驱剂初始质量浓度直接决定压驱后基质内压驱剂质量浓度大小;初始质量浓度越高,基质内压驱剂质量浓度越高,压驱洗油效率越强。此外,压驱剂初始质量浓度是影响压驱后基质内压力的重要因素,过高的初始质量浓度会导致压驱技术补能效果变差。
图9 不同压驱剂初始质量浓度条件下渗流速度、基质内压力和压驱剂质量浓度随渗流距离的变化关系曲线

3.3 压驱剂注入量

不同注入量条件下基质内压力、流体渗流速度和压驱剂质量浓度随渗流距离的变化关系如图10所示。可以看出,渗流速度和压驱剂质量浓度与压驱剂注入量呈正相关,基质内压力与其呈负相关。相对于注入量1 000 m3而言,注入量为2 000,2 500,3 000,3 500 m3时,基质远端流体渗流速度分别升高3.58%,4.91%,5.60%,6.02%,压力分别降低2.20%,3.48%,4.33%,4.92%,压驱剂质量浓度分别增大1.01,1.59,1.97,2.23倍。由此可见,压驱剂注入量对压驱后基质内压驱剂质量浓度影响较大,对基质内压力和流体渗流速度影响较小;较高的注入量可提升压驱后基质内压驱剂质量浓度,从而增强压驱洗油效率。
图10 不同注入量条件下渗流速度、基质内压力和压驱剂质量浓度随渗流距离的变化关系曲线

3.4 泵注排量

不同泵注排量条件下基质内压力、流体渗流速度和压驱剂质量浓度随渗流距离的变化关系如图11所示。可以看出,渗流速度和压驱剂质量浓度与泵注排量呈正相关;渗流距离较小时,基质压力与泵注排量呈正相关,当渗流距离超过一定值后与其呈负相关。相对于泵注排量4 m3/min而言,泵注排量为4.5,5.0,5.5,6.0 m3/min时,基质远端流体渗流速度分别升高12.68%,25.39%,38.14%,50.91%,压力分别降低0.91%,2.06%,3.43%,5.04%,压驱剂质量浓度分别增大0.04,0.08,0.11,0.15倍。由此可见,泵注排量是影响压驱后基质内流体渗流速度的直接因素,但其对基质内压力和压驱剂质量浓度影响不大;过大的泵注排量会导致压驱后基质内流体渗流速度过高,驱替相前缘突破过快,从而降低压驱波及面积。
图11 不同泵注排量条件下渗流速度、基质内压力和压驱剂质量浓度随渗流距离的变化关系曲线

3.5 裂缝长度

不同裂缝长度条件下基质内压力、流体渗流速度和压驱剂质量浓度随渗流距离的变化关系如图12所示。可以看出,渗流速度和压驱剂质量浓度与裂缝半长呈负相关,基质内压力与其呈正相关。相对于裂缝半长50 m而言,裂缝半长为60,70,80,90,100 m时,基质远端流体渗流速度分别降低17.39%,29.98%,39.65%,47.46%,54.15%,压力分别升高8.10%,13.90%,18.27%,21.68%,24.41%,压驱剂质量浓度分别降低16.73%,33.77%,51.02%,68.42%,85.92%。由此可见,裂缝长度直接影响压驱后流体渗流速度,且是影响基质内压力和压驱剂质量浓度分布的重要参数。裂缝较长会导致压驱后基质内流体渗流速度和压驱剂质量浓度降低,基质内压力升高,在增强补能效果和扩大压驱波及面积效果的同时,降低压驱洗油效率。
图12 不同缝长条件下渗流速度、基质内压力和压驱剂质量浓度随渗流距离的变化关系曲线

4 结论

基质渗透率、裂缝长度和压驱剂初始浓度是影响压驱补能效果的重要参数,其中基质渗透率和裂缝长度对补能效果具有正面影响。压驱洗油效率主要受压驱剂初始浓度、注入量和裂缝长度影响,高压驱剂初始浓度和注入量有利于提高压驱后基质内压驱剂浓度从而增强洗油效率。裂缝长度和泵注排量是影响压驱后基质内流体渗流速度的直接因素,可控制驱替相前缘位置,从而影响压驱波及面积。
在矿场实际应用压驱技术时,应优先选择孔渗物性相对较好的储层,并根据具体的油藏条件和生产需要,选择合适的压驱剂初始浓度、注入量、泵注排量以及裂缝长度。确保压驱技术可有效补充地层能量,扩大驱替相波及体积,并使基质远端压驱剂达到有效浓度,从而提高压驱采收率。
符号注释:
ab——拟合关系式中系数,无因次;A°——修正系数,无因次;c——基质内压驱剂质量浓度,mg/L;ch——海明溶液的浓度,mol/L;c0——压驱剂初始质量浓度,mg/L;c1——基质内压驱剂动态饱和吸附量,g;C——压驱剂质量浓度,mg/L;CC——常数,无因次;Ci——第i种采出液中压驱剂质量浓度,mg/L;i——采出液编号;Km——基质渗透率,10-3 μm2m——岩心质量,mg;M——石油磺酸盐平均当量,g/mol;Mm——波及区域内基质岩石质量,g;pf——缝内压力,MPa;pm——基质压力,MPa;pme——基质边界压力,MPa;Δp——驱替压差,MPa;q——泵注排量,m3/min;r——裂缝半长,m;t——注入时间,min;vm——渗流速度,m/s;V——采出液体积,mL;V0——压驱剂溶液注入体积,mL;V1——滴定消耗海明溶液的体积,mL;Vi——第i种采出液的体积,mL;w——裂缝宽度,m;x——渗流距离,m;xe——基质厚度,m;Γ——压驱剂动态饱和吸附量,mg/g;µm——压驱剂黏度,mPa·s;ρr——基质岩石密度,g/cm3ρw——驱替相密度,g/cm3
[1]
刘义坤, 王凤娇, 汪玉梅, 等. 中低渗透储集层压驱提高采收率机理[J]. 石油勘探与开发, 2022, 49(4): 752-759.

DOI

LIU Yikun, WANG Fengjiao, WANG Yumei, et al. The mechanism of hydraulic fracturing assisted oil displacement to enhance oil recovery in low and medium permeability reservoirs[J]. Petroleum Exploration and Development, 2022, 49(4): 752-759.

[2]
王凤娇, 孟详昊, 刘义坤, 等. 致密储层压驱焖井阶段渗吸机理分子模拟研究[J]. 力学学报, 2024, 56(6): 1624-1634.

WANG Fengjiao, MENG Xianghao, LIU Yikun, et al. The shut-in imbibition mechanism of hydraulic fracturing-assisted oil displacement in tight reservoirs based on molecular simulation[J]. Chinese Journal of Theoretical and Applied Mechanics, 2024, 56(6): 1624-1634.

[3]
WANG F J, XU H, WANG S, et al. Fluid flow and efficient development technologies in unconventional reservoirs: State-of-the-art methods and future perspectives[J]. Advances in Geo-Energy Research, 2024, 12(3): 237-240.

[4]
WANG F J, XU H, LIU Y K, et al. Research on the adsorption law of HFAD agents on the surface of porous media during hydraulic fracturing-assisted oil displacement in low-permeability reservoirs[J]. Langmuir, 2023, 39(50): 18614-18620.

DOI PMID

[5]
WANG F J, WANG X, LIU Y K, et al. Study on micro displacement mechanism of hydraulic fracturing by oil displacement agent at high pressure[J]. Geofluids, 2021, 2021: 5541512.

[6]
WANG F J, XU H, LIU Y K, et al. Mechanism of low chemical agent adsorption by high pressure for hydraulic fracturing-assisted oil displacement technology: A study of molecular dynamics combined with laboratory experiments[J]. Langmuir, 2023, 39(46): 16628-16636.

DOI PMID

[7]
王凤娇, 徐贺, 刘义坤, 等. 压驱技术高压降吸附提高采收率机理[J]. 石油学报, 2024, 45(2): 403-411.

DOI

WANG Fengjiao, XU He, LIU Yikun, et al. The mechanism of hydraulic fracturing-assisted oil displacement technique applied to enhance oil recovery by high-pressure reduced adsorption[J]. Acta Petrolei Sinica, 2024, 45(2): 403-411.

DOI

[8]
张冶, 程毅. 大庆喇嘛甸油田聚驱后压堵驱剩余潜力挖潜可行性[J]. 大庆石油地质与开发, 2022, 41(6): 109-116.

ZHANG Ye, CHENG Yi. Feasibility of fracturing-plugging flooding to tap remaining potential after polymer flooding in Lamadian Oilfield in Daqing[J]. Petroleum Geology & Oilfield Development in Daqing, 2022, 41(6): 109-116.

[9]
杨勇, 张世明, 曹小朋, 等. 胜利油田低渗透油藏压驱开发技术实践与认识[J]. 油气地质与采收率, 2023, 30(6): 61-71.

YANG Yong, ZHANG Shiming, CAO Xiaopeng, et al. Practice and understanding of pressure drive development technology for low-permeability reservoirs in Shengli Oilfield[J]. Petroleum Geology and Recovery Efficiency, 2023, 30(6): 61-71.

[10]
崔传智, 王俊康, 吴忠维, 等. 致密油藏压驱动态裂缝模型建立及应用[J]. 特种油气藏, 2023, 30(4): 87-95.

DOI

CUI Chuanzhi, WANG Junkang, WU Zhongwei, et al. Establishment and application of pressure drive dynamic fracture model for tight oil reservoirs[J]. Special Oil & Gas Reservoirs, 2023, 30(4): 87-95.

[11]
蔡新明, 黄艳梅, 金忠康. 江苏油田复杂断块低渗透油藏压驱研究与实践[J]. 复杂油气藏, 2023, 16(3): 343-346.

CAI Xinming, HUANG Yanmei, JIN Zhongkang. Research and practice of pressure flooding in low-permeability reservoirs of complex fault block in Jiangsu Oilfield[J]. Complex Hydrocarbon Reservoirs, 2023, 16(3): 343-346.

[12]
刘义刚. 渤海油田低渗储层开采技术研究进展与展望[J]. 中国海上油气, 2024, 36(1): 117-124.

LIU Yigang. Research progress and prospect of low-permeability reservoir exploitation technologies in Bohai Oilfield[J]. China Offshore Oil and Gas, 2024, 36(1): 117-124.

[13]
张莉. 中国石化东部老油田提高采收率技术进展及攻关方向[J]. 石油与天然气地质, 2022, 43(3): 717-723.

ZHANG Li. Progress and research direction of EOR technology in eastern mature oilfields of Sinopec[J]. Oil & Gas Geology, 2022, 43(3): 717-723.

[14]
何金钢, 王洪卫. 三类油层压裂驱油技术设计及效果研究[J]. 西南石油大学学报(自然科学版), 2018, 40(5): 95-104.

DOI

HE Jingang, WANG Hongwei. Design and effect of fracture-flooding in class Ⅲ oil reservoirs[J]. Journal of Southwest Petroleum University (Science & Technology Edition), 2018, 40(5): 95-104.

[15]
马玉娟. 大庆长垣油田三类油层压裂驱油提高采收率技术及其应用[J]. 大庆石油地质与开发, 2021, 40(2): 103-109.

MA Yujuan. Application of fracturing-flooding EOR technique in type Ⅲ oil reservoirs in Daqing placanticline oilfield[J]. Petroleum Geology & Oilfield Development in Daqing, 2021, 40(2): 103-109.

[16]
方文超, 姜汉桥, 李俊键, 等. 致密储集层跨尺度耦合渗流数值模拟模型[J]. 石油勘探与开发, 2017, 44(3): 415-422.

DOI

FANG Wenchao, JIANG Hanqiao, LI Junjian, et al. A numerical simulation model for multi-scale flow in tight oil reservoirs[J]. Petroleum Exploration and Development, 2017, 44(3): 415-422.

[17]
林加恩, 何辉, 王怡华. 广义管流-渗流耦合试井分析模型[J]. 石油勘探与开发, 2021, 48(4): 797-806.

DOI

LIN Jiaen, HE Hui, WANG Yihua. A well test analysis model of generalized tube flow and seepage coupling[J]. Petroleum Exploration and Development, 2021, 48(4): 797-806.

文章导航

/