油气勘探

全油气系统内涵与研究思路

  • 宋岩 , 1 ,
  • 贾承造 1, 2 ,
  • 姜林 1 ,
  • 马行陟 1 ,
  • 邵鑫笛 3
展开
  • 1 中国石油勘探开发研究院,北京 100083
  • 2 中国石油天然气集团有限公司,北京 100007
  • 3 中国石油大学(北京)非常规油气科学技术研究院,北京 102249

宋岩(1957-),女,山东淄博人,博士,中国石油勘探开发研究院教授级高级工程师,主要从事石油与天然气地质学方面的研究。地址:北京市海淀区学院路20号,中国石油勘探开发研究院石油地质实验研究中心,邮政编码:100083。E-mail:

Copy editor: 黄昌武

收稿日期: 2024-04-05

  修回日期: 2024-10-29

  网络出版日期: 2024-12-10

基金资助

中国石油天然气集团有限公司前瞻性、基础性课题“全油气系统理论与非常规油气成藏机理”(2021DJ0101)

Connotation and research strategy of the whole petroleum system

  • SONG Yan , 1 ,
  • JIA Chengzao 1, 2 ,
  • JIANG Lin 1 ,
  • MA Xingzhi 1 ,
  • SHAO Xindi 3
Expand
  • 1 PetroChina Research Institute of Petroleum Exploration & Development, Beijing 100083, China
  • 2 China National Petroleum Corporation, Beijing 100007, China
  • 3 Unconventional Petroleum Research Institute, China University of Petroleum (Beijing), Beijing 102249, China

Received date: 2024-04-05

  Revised date: 2024-10-29

  Online published: 2024-12-10

摘要

传统的含油气系统理论强调从“源”到“圈闭”的成藏过程恢复,其概念中的油气资源主体为常规油气资源,难以涵盖非常规油气富集机理的理念和研究。全油气系统理论是从含油气系统理论发展而来,结合页岩油气等非常规油气勘探实践与发现,增加了非常规油气的研究内容。尽管全油气系统研究仍涵盖“地质要素、动态演化、油气分布”三大方面,但其研究思路和研究内容相较含油气系统有很大的不同,主要包括:①地质要素方面,含油气系统主要研究烃源岩特征及生烃演化、常规油气储层物性、圈闭、运移和保存条件等内容,而全油气系统在上述研究的基础上增加了滞留烃定量评价、非常规储层表征、源储配置等研究内容;②动态演化方面,含油气系统主要研究常规油气烃源岩演化与圈闭形成期匹配,而全油气系统增加了非常规储层致密化与油气充注的匹配、非常规油气藏后期改造等研究内容;③油气分布方面,含油气系统以浮力成藏机制为核心研究常规油气的运聚与分布,而全油气系统则通过深入理解非常规油气自封闭成藏机制、查明常规—非常规油气分布序列,从而确定全油气系统的油气分布特征。

本文引用格式

宋岩 , 贾承造 , 姜林 , 马行陟 , 邵鑫笛 . 全油气系统内涵与研究思路[J]. 石油勘探与开发, 2024 , 51(6) : 1199 -1210 . DOI: 10.11698/PED.20240223

Abstract

With the continuous discovery of unconventional oil and gas, traditional petroleum system theories and methods can no longer adapt to the research of all underground oil and gas resources. Traditional petroleum system theories emphasize the restoration of the accumulation process from “source” to “trap”. The main oil and gas resources in the concept are conventional oil and gas, lacking the concept and research of unconventional oil and gas enrichment mechanism. The whole petroleum system is developed from the traditional petroleum system. Compared with the petroleum system, the whole petroleum system adds the research content of unconventional oil and gas. Although the study of the whole petroleum system is still in three aspects: geological elements, dynamic evolution and oil and gas distribution, its research ideas and research contents are very different, including the following three aspects. (1) In terms of geological elements, the traditional petroleum system studies the characteristics of source rocks and hydrocarbon generation evolution, and the reservoir properties, traps, migration and preservation conditions of conventional oil and gas. On the basis of the above research, the whole petroleum system has increased the quantitative evaluation of retained hydrocarbons, unconventional reservoir characterization, source reservoir configuration and other research contents. (2) In terms of dynamic evolution, the petroleum system studies the matching between the evolution of conventional oil and gas source rocks and the formation period of traps, that is, the critical moment of oil and gas accumulation, while the whole petroleum system has increased the research content of the matching of unconventional reservoir densification and oil and gas charging, and the later transformation of unconventional oil and gas reservoirs. (3) In terms of oil and gas distribution, the petroleum system takes buoyancy-drived accumulation mechanism as the core to study the migration, accumulation and distribution of conventional oil and gas. The whole petroleum system adds unconventional oil and gas self-sealing accumulation mechanism and conventional-unconventional oil and gas distribution sequence, so as to determine the oil and gas distribution characteristics of the whole petroleum system.

0 引言

1994年Magoon和Dow在《含油气系统——从源岩到圈闭》一书中,将含油气系统定义为一个与有效生烃灶相联系的所有油气聚集,包括形成这些油气聚集所必不可少的所有地质要素与成藏过程[1]。含油气系统理论是指导油气勘探的研究思路和方法论,是国内外各大油公司油气勘探过程中必不可少的重要研究工作之一[2-6]。含油气系统理论体系在国内外众多学者的油气勘探实践中不断完善和发展,进一步阐明了油气成藏过程中地质要素和成藏作用时空上的关联作用[4,7 -11],它的诞生和发展使得勘探家们在油气勘探过程中规避勘探风险、降低勘探成本和提高勘探效益等方面发挥了重大作用。
近年来,随着非常规油气勘探的全面开展,非常规油气地质理论飞速发展并形成了以发现致密储层微纳米级孔隙、发现找寻“甜点区”、发现规模“连续型”油气聚集为核心的非常规油气地质理论体系[12],也对经典石油天然气地质理论形成了重大突破[13-18],使得勘探家们找寻油气的思路和目光由圈闭重新回到烃源岩。已有的勘探实践表明,常规和非常规油气资源成因上相互关联、空间上相互共生,在含油气盆地中有序“共生富集”[17,19]。审视传统的含油气系统理论,强调从“源”到“圈闭”的成藏过程恢复,概念中的油气资源主体为常规油气资源,缺乏非常规油气富集机理的理念和研究。非常规油气地质理论的建立揭示了传统含油气系统理论存在重大缺陷,亟需在此基础上发展出全油气系统理论以指导常规-非常规油气一体化勘探开发[12,15 -16]
全油气系统研究包括烃类的生成—运移—聚集以及后期调整改造全过程,涵盖常规和非常规油气资源[12,15 -16],即含油气盆地内部有效烃源岩所生成的全部常规-非常规油气,以及与这些油气资源形成、演化和分布相关的全部地质要素和过程组成的天然系统[15]。目前中国学者围绕国内陆相含油气盆地全油气系统开展了相关研究,但对于全油气系统内涵、研究思路以及认知和理解程度上存在较大差异。全油气系统理论作为一门新兴的石油与天然气地质学理论,统一了常规和非常规油气的生成、运移、聚集保存与富集分布规律,有着固定的研究内容与研究程序。为使全油气系统理论更加科学、长远地发展,有效指导含油气盆地常规-非常规油气一体化勘探开发,针对全油气系统理论发展过程中存在的问题,本文系统探讨了全油气系统的研究对象、研究内容和研究思路。

1 全油气系统的概念与内涵

1.1 全油气系统理论的提出

1974年,Dow在油-源对比的基础上提出了含油气系统概念的雏形——石油系统(Oil System),并指出了石油系统的组成、研究内容以及最终目的[20]。Petroleum System一词最早由Perrodon等提出,并给出了含油气系统的明确定义[21-22]。随后Meissner等[23]、Ulmishek等[24]先后提出了石油生成器(Hydrocarbon Machine)和独立含油气系统(Independent Petroliferous System)等概念,但这些概念与Dow所提出的石油系统类似,均是对前人工作的发展和延伸。Magoon首次使用“基本要素”一词用以替代烃源岩、储集层、运移通道和盖层等概念,同时强调研究油气的演化过程就必须将基本要素在时间和空间上结合起来[25],并进一步阐述了含油气系统的定义、构成和作用[26],使用更加科学的方法和标准来确定含油气系统的演化、分布和确定程度。至此,含油气系统(Petroleum System)有了明确定义和概念,被人们广泛接受。赵文智等针对演化史长、层系多、构造频繁的叠合含油气盆地,提出复合含油气系统(Composite Petroleum System)的概念[3-5],有效解决了复杂叠合盆地多源、多期生烃以及多个关键时刻描述与研究困难的问题,极大地提高了复杂叠合盆地的勘探成效。
为进一步规避油气勘探中的风险,有效指导油气勘探,Magoon将complementary plays和complementary prospects(本文将其称为潜在含油气区带和潜在远景圈闭)两个概念引入含油气系统概念中[27],由此提出Total Petroleum System(总油气系统)概念[28],将含油气系统中未发现的油气资源纳入评价体系。Pollastro等人在针对Barnett盆地古生界总油气系统开展未发现油气资源评价时建立了Barnett盆地古生界总油气系统模型(见图1),并指出该总油气系统中最大的未发现资源量预计来自Barnett页岩内的连续型天然气聚集[29],但受限于当时技术水平和资料不足,并未开展深入研究。总油气系统将未发现的油气资源纳入评价体系,拓展了经典含油气系统理论的内涵,但缺乏非常规油气富集机理的理念,并未阐述常规与非常规油气之间的内在关联,仍属于含油气系统理论体系。
图1 Barnett盆地古生界总油气系统平面示意图[29]
随着非常规油气的规模开发与非常规油气地质理论的完善,对传统含油气系统理论产生重大挑战,传统的含油气系统理论和方法已不能适应地下全部油气资源的研究,需要发展全油气系统理论以指导常规-非常规油气一体化勘探开发。2017年国内学者贾承造院士提出了全油气系统(Whole Petroleum System)概念模型并指出:“全油气系统全面概括描述含油气盆地内部的全部油气资源,包括常规油气资源和非常规油气资源的生成、运移、聚集保存和富集分布的规律,统一传统常规和新兴非常规油气地质学”[12,16,30 -31]

1.2 全油气系统的概念与内涵

1.2.1 全油气系统的概念

含油气盆地内部油气的分布受有效烃源岩、沉积体系和构造格局的控制,一套烃源岩生成的油气往往能够在多套储层中聚集。因此,全油气系统的研究应以该套有效烃源岩的演化及分布为核心,结合与其具有成因关联的常规油气沿流体势的运聚分布以及非常规油气近距离或源内自封闭聚集分布,从而确定系统内常规油气与非常规油气有序分布特征及全油气系统分布范围。本文将全油气系统定义为含油气盆地中的一套有效烃源岩层系同一层系相互关联的有效烃源岩生成的油气,经过生成滞留、排烃运移、聚集成藏、后期调整改造,在源内或近源非常规储层中大面积连续聚集和远源运移在常规储层圈闭中聚集的全部地质要素与地质过程。含油气单元内部往往同时发育多套烃源岩,能够形成多个全油气系统,不同全油气系统之间静态地质要素可能存在共用,不同烃源岩生成的油气相互串连,导致全油气系统在含油气单元内部交叉叠置,形成复合全油气系统。因此,全油气系统研究的首要工作是在油气源对比的基础上,结合与其相关的油气聚集的静态要素和动态过程,确定某一全油气系统的形成和分布。

1.2.2 全油气系统的内涵

全油气系统是传统的含油气系统的拓展,从“从源岩到圈闭”发展到“从源岩到油气聚集”,包括了常规和非常规油气聚集相关的要素和过程。传统的含油气系统理论注重生烃高峰期的研究,以关键时刻为时间节点,判断含油气系统内部各个地质要素和成藏过程的时空组合关系,进而判断油气成藏的有效性。而全油气系统不仅注重烃源岩的生烃高峰期和常规油气的成藏关键时刻,还聚焦非常规油气聚集和调整改造全过程,以及各个地质要素与地质过程的时空匹配关系,特别是非常规油气的源内滞留成藏、近源短距离运移成藏和后期调整改造。全油气系统跳出含油气系统“从源岩到圈闭”的视角,立足“源储耦合,有序聚集”新视野,将非常规油气资源纳入评价体系,弥补了传统含油气系统理论的不足。
全油气系统是一个理论或研究方法的专用名称,而不是石油地质研究的概括名称,“全”是指全油气系统内的“全部”油气聚集,而不是指“全部”石油地质研究内容。全油气系统理论作为一套新兴的石油与天然气地质学理论,有着固定的研究内容与研究程序。

2 含油气系统理论回顾与研究实例

2.1 含油气系统理论核心

含油气系统被定义为由有效烃源岩及与其相关的油气和油气聚集过程中所必须的地质要素和成藏作用的天然系统。Magoon和Dow所提出含油气系统理论最为经典之处就是使用“四图一表”的方式展示了含油气系统的核心研究内容:通过使用埋藏史图说明特定地区地质要素、关键时刻和烃源岩热演化史;关键时刻的剖面图和平面图则用于描述各静态要素之间的空间组合关系;含油气系统事件图使用关键时刻概念说明含油气系统静态要素与地质过程的时空匹配关系;油气聚集汇总表则用于展示某一含油气系统中发现的油气田。
地质要素主要包含有效烃源岩、储集体、盖层、输导体系和上覆地层。动态演化史主要是指“从源岩到圈闭”这一过程所发生的油气生成、运移、聚集等一系列事件。含油气系统研究中以关键时刻描述含油气系统油气成藏时间;以埋藏史图和关键时刻的剖面图展示油气主要聚集时期基本要素的空间配置关系;以一系列事件的剖面图和平面图描述含油气系统的动态演化过程。

2.2 含油气系统研究实例

2000年宋岩等使用Magoon和Dow所提出含油气系统理论对准噶尔盆地侏罗系含油气系统进行了研究[2],由于当时并未发现非常规油气,所以含油气系统的研究完全是针对常规油气。

2.2.1 地质要素

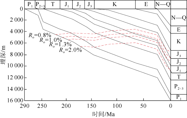
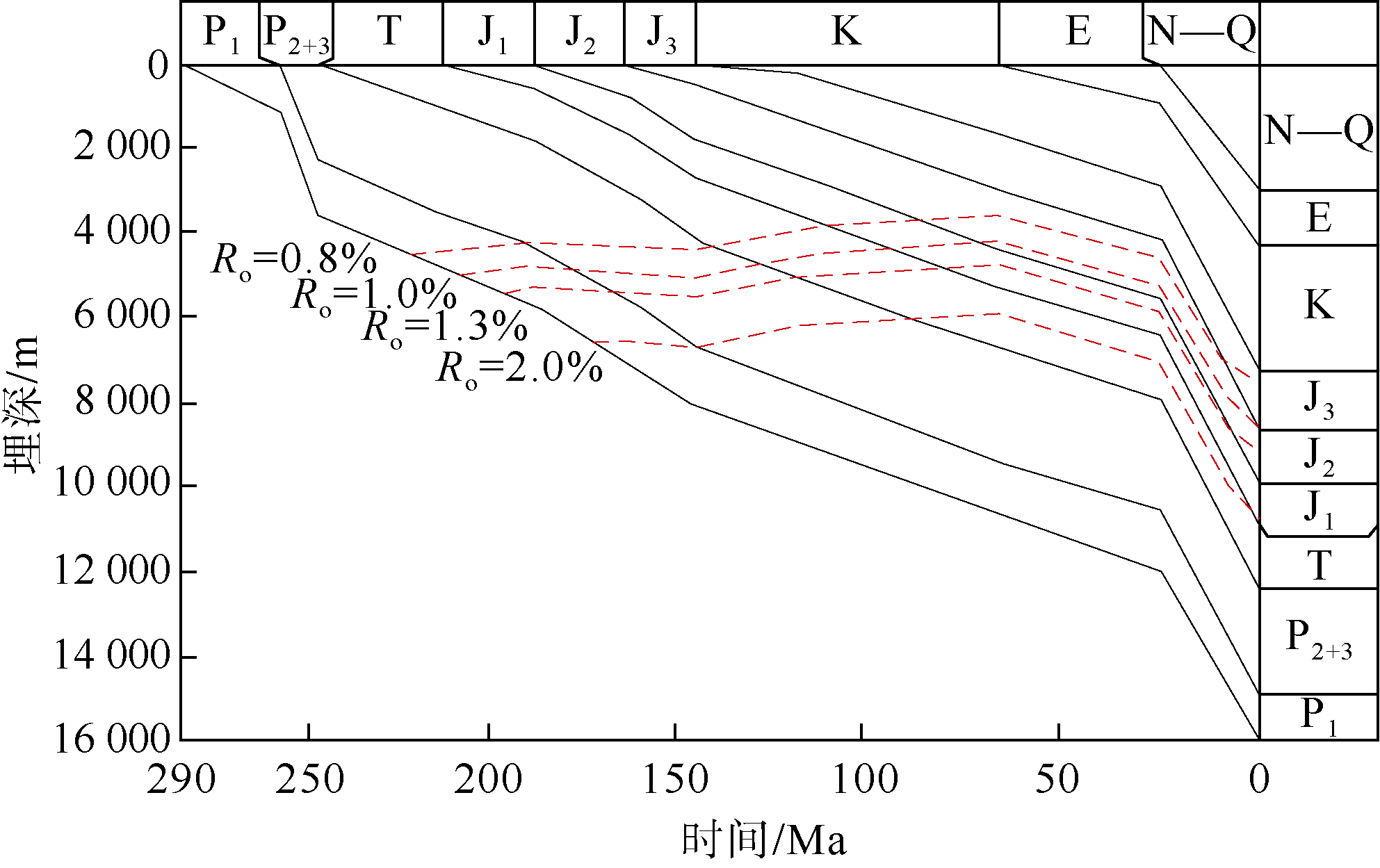
侏罗系烃源岩有机质母质主要来源于陆源高等植物,有机质类型以Ⅱ型和Ⅲ型为主,为一套很好的气源岩。侏罗系烃源岩在准噶尔盆地分布范围较广,埋深差异较大,导致烃源岩成熟度在平面分布上也存在较大差异。盆地北部大部分地区埋藏较浅,总体处于未成熟—低成熟演化阶段;南部凹陷中侏罗统埋深大,成熟度达到成熟—过成熟演化阶段。盆地南缘侏罗系烃源岩自沉积以来持续埋藏,早白垩世末期进入生烃门限,晚白垩世进入高成熟阶段,埋深较大凹陷区则能够达到过成熟阶段(见图2)。中下侏罗统烃源岩与侏罗系、古近系和新近系储/盖层构成了侏罗系含油气系统的基本要素(见图3)。
图2 准噶尔盆地南缘昌吉地区埋藏史图(Ro—有机质成熟度)
图3 准噶尔盆地侏罗系含油气系统地质要素组合柱状图

2.2.2 动态演化过程

下侏罗统烃源岩于晚白垩世—古近纪达到生烃高峰期,中侏罗统烃源岩生烃高峰期为古近纪至今。准噶尔盆地南缘侏罗系烃源岩热演化程度虽然最高,但其构造定型时间在盆地却最晚。燕山期,盆地南缘山前带在北天山对盆地内部的冲断作用下强烈上升,形成了南缘第1排构造带;古近纪,印度板块在喜马拉雅运动作用下向欧亚大陆运移发生碰撞,导致北天山推覆体向盆地方向大规模挤压扩展使山前坳陷的地层发生冲断、褶皱,形成了南缘2、3排构造。根据中下侏罗统烃源岩主要生排烃时期与圈闭的形成时期匹配关系,准噶尔盆地侏罗系含油气系统油气聚集成藏存在2个关键时刻[2,32 -34](见图4):白垩纪末为第1个关键时刻,此时期是下侏罗统烃源岩生成油气在第1排构造中聚集的时期,同时区域性盖层、局部盖层和直接盖层均具备了封闭能力;新近纪为第2个关键时刻,此阶段中侏罗统烃源岩生成的油气在第2排和第3排构造的下部源储间互型成藏组合和上部下生上储型成藏组合中分别聚集成藏,同时此阶段侏罗系含油气系统最上部区域盖层具备良好的封闭能力,能够使油气得到良好的保存。
图4 准噶尔盆地侏罗系含油气系统静态要素及动态演化匹配关系图

2.2.3 含油气系统分布特征

根据准噶尔盆地侏罗系烃源岩展布特征及热演化程度刻画出侏罗系生烃中心主要分布在中央坳陷区及其南部地区(见图5)。准噶尔盆地侏罗系含油气系统生成的油气围绕沙湾和阜康生烃凹陷周缘的北部中央坳陷斜坡区、南部山前带、西部侏罗系尖灭带和东部阜康东斜坡聚集成藏[2],以上地区共同构成了准噶尔盆地的含油气系统分布。
图5 准噶尔盆地侏罗系含油气系统分布平面图

3 全油气系统研究思路与研究内容

3.1 全油气系统研究思路

传统的含油气系统的研究适应于常规油气资源,而全油气系统是常规-非常规油气统一的有序聚集体系,是含油气系统的拓展。因此,其研究思路和内容应该是含油气系统的延续,可分为以下3大部分:①全油气系统静态地质要素特征及其在时间和空间上的组合关系;②全油气系统各个成藏事件发生过程及全油气系统动态演化过程;③全油气系统油气分布及有利区预测(见图6)。
图6 全油气系统研究技术路线图
传统含油气系统研究的地质要素主要包括与常规油气有关的有效烃源岩、储集体、盖层、输导体系和上覆地层。非常规油气的规模开发证实,烃源岩不仅仅能够产生油气,同时还能储集油气,资源潜力和规模巨大。因此,全油气系统中烃源岩的研究在确定有效生烃灶的基础上,还要注重烃源岩内滞留烃量的定量评价。非常规油气资源主要赋存于纳米—微米和毫米级储集空间内,非常规储层致密且微观孔隙结构复杂。同时,非常规油气资源独特的聚集机理和富集规律展示出源储组合关系对油气富集的控制作用,弱化了圈闭、盖层和输导体系在油气成藏过程中的作用,使得全油气系统对于非常规油气地质要素的研究侧重于非常规储层微观孔隙结构表征和源储组合关系两个方面。
全油气系统的演化过程包括与常规油气和非常规油气成藏相关的地质过程。对于常规油气资源使用“关键时刻”这一概念研究常规油气静态要素和成藏过程的时空匹配关系,圈闭条件和优质储层控制了油气的分布范围。而非常规油气致密储层的致密化过程与油气充注的匹配关系控制了油气的分布和油气藏的规模。因此对于全油气系统非常规油气成藏过程的研究应定量化恢复致密储层演化过程,重建油气充注历史,明确致密储层演化与油气充注的关系。此外,油气的后期调整改造过程会导致常规油气圈闭聚集的有效性和非常规油气赋存状态发生改变,进而影响油气的富集和高效采出。因此全油气系统演化过程研究还应注重油气后期调整改造。
全油气系统研究的最终目的是实现含油气单元全部常规-非常规油气资源的一体化勘探开发。常规油气聚集过程遵循浮力成藏机制,运移聚集过程为达西流,油气的成藏机制控制了油气分布范围。非常规油气主要为源内滞留成藏和源外近源聚集,整体表现为非浮力自封闭成藏。全油气系统油气分布预测应深入理解非常规油气成藏机制,依据其原理合理预测常规-非常规油气分布及资源规模,特别是常规油气与非常规油气分布序列规律。

3.2 全油气系统研究内容

3.2.1 全油气系统地质要素研究

传统的含油气系统地质要素是指常规油气成藏关键要素,如烃源岩、常规储层、圈闭、运移通道和封盖条件。全油气系统在含油气系统基础上增加了与非常规油气相关的要素,如滞留烃、致密储层、源储配置。

3.2.1.1 滞留烃量定量评价方法及实例

目前关于页岩层系内部滞留烃量定量评价有多种手段和方法。对页岩气而言,其含气量由损失气量、现场解吸气量和残余吸附气量3者组成[35-36]。损失气量是指岩心自地层中取出,尚未装入解析罐之前所逸散的气体量,这部分气体无法使用实验测量,只能通过逸散时间与解析气量变化率计算获得[37]。残余气量为解吸结束后残余在样品中的气体量[38]。页岩气含气量的获取方法一般是用普通的取心工具钻取岩心,当岩心提出井口后,立即用密封罐采取岩样,利用解吸仪测定岩样中气体随时间的变化规律,求出解吸含气量[39]。根据提钻到采样过程中岩样暴露的时间计算采样过程中的损失气量,然后在实验室将岩样粉碎测定残余气含量。对于损失气,主要采用密闭保压取心的方法避免在井筒中气体的损失,在取得岩心后尽量缩短岩心暴露时间来避免气体在大气中的损失。对于残余气,主要方法是将岩心样品在大于90 ℃的解吸环境中进行高温解吸以便减少残余气的存在,此外也可粉碎样品测残余气的含量。
对于页岩油而言,其滞留烃量评价主流方法可以分为热解法、分步抽提法和核磁共振法3种,其中热解法可以分为常规热解和分步热解两种[40-41]。常规热解使用游离烃含量(S1)反映页岩层系内部滞留烃量,但通常测试获得的S1存在轻烃散失和重烃损失;使用生烃动力学结合抽提前后页岩样品的岩石热解参数,可以对S1进行轻烃恢复和重烃校正,从而获得页岩的滞留烃量;分步热解法则是根据不同赋存状态的页岩油具有不同的分子热挥发能力,不同的温度区间分别对应非极性游离化合物、极性游离化合物、重烃以及胶质沥青质等吸附态物质,设置合理的加热条件对页岩层系中不同赋存状态的页岩油进行定量评价,进而获得其滞留烃量。分步抽提法是利用不同组成和极性分子在赋存空间和赋存状态上有一定选择性,利用不同数量溶剂或不同极性溶剂得到萃取物,从而获取不同赋存状态烃类含量[42]。核磁共振法则是根据游离油、吸附油以及干酪根在二维核磁共振谱图上弛豫时间的相应差异区分游离油和吸附油,直接计算不同赋存状态页岩油的含量[43]。除此之外,还有分子动力学模型法、自由烃差值法、溶胀法、物质平衡法以及孔隙油饱和度等方法用以评价不同赋存状态页岩油的含量[44]
以松辽盆地北部上白垩统青山口组烃源岩为例。青山口组是一套厚度大、面积广的半深湖—深湖相页岩,是松辽盆地青山口组全油气系统的供烃层系。青山口组页岩有机质类型以Ⅰ型和Ⅱ1型为主;总有机碳含量(TOC)为0.6%~8.1%,平均值约为2.39%;(S1+S2)为0.01~75.52 mg/g,平均值约为11.17 mg/g;烃源岩热演化成熟度为0.7%~1.6%,处于生油高峰期。综合页岩地球化学参数来看,松辽盆地北部青山口组页岩具有良好的生油能力且处于可大量生排烃阶段,为原地滞留形成页岩油藏奠定了基础。通过使用冷冻岩心测试数据标定青山口组页岩生烃演化过程获取化学动力学参数,拟合求取青山口组页岩轻烃恢复系数大致在1.00~3.65,随着成熟度的增加而增加并保持稳定。计算得到青山口组页岩轻烃散失量为1.00~16.04 mg/g,平均值约为5.71 mg/g。对比抽提前后页岩样品滞留烃含量(S2)差值获得热解测试未检测到的重烃损失量ΔS2,计算得到青山口组页岩重烃校正系数约为2,进而计算得青山口组页岩重烃损失量为0.02~13.18 mg/g,平均值约为3.21 mg/g。基于常规岩石热解结合轻烃校正和重烃恢复,可知青山口组页岩滞留烃量为3.00~22.00 mg/g,平均值约为8.69 mg/g,是热解实测S1值的2.5倍以上(见图7),相较于直接使用S1这一参数评价资源量具有更高的准确性和可靠性。
图7 松辽盆地北部青山口组页岩滞留烃特征

3.2.1.2 致密储层微观表征

非常规油气致密储层孔隙结构特征的精细表征和刻画是实现非常规油气评价的重要前提。目前,致密储层孔隙结构特征表征手段可以划分为图像观测法和流体注入法两种。图像观测法主要的手段有扫描电镜与氩离子抛光联用、大视域拼接技术、微纳米CT、聚焦离子双束显微镜(FIB-SEM)等技术。大视域拼接技术实现了高分辨率条件下表征尺度扩大,有效降低了样品非均质性对观测结果的影响;微纳米CT技术通过X射线扫描实现了样品孔隙结构的高精度无损成像;FIB-SEM则将高分辨率成像和离子切割束结合,实现了孔隙结构的三维成像,三维表征结果分辨率高但对样品具有一定损害。流体注入法主要有低温气体吸附、高压压汞与恒速压汞、核磁共振等方法。低温气体吸附包括二氧化碳吸附和氮气吸附,两者可分别表征0.35~2.00 nm和0.35~400.00 nm范围的孔径,结合高压压汞可实现致密储层孔隙结构的全孔径表征;恒速压汞相较高压压汞可以有效实现致密储层孔隙参数和喉道参数的分别提取;核磁共振实验同样可以实现致密储层孔径分布的表征。
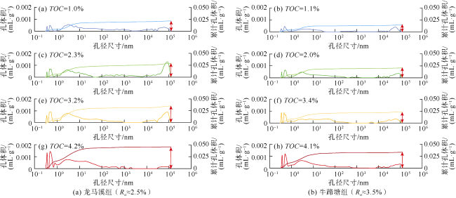
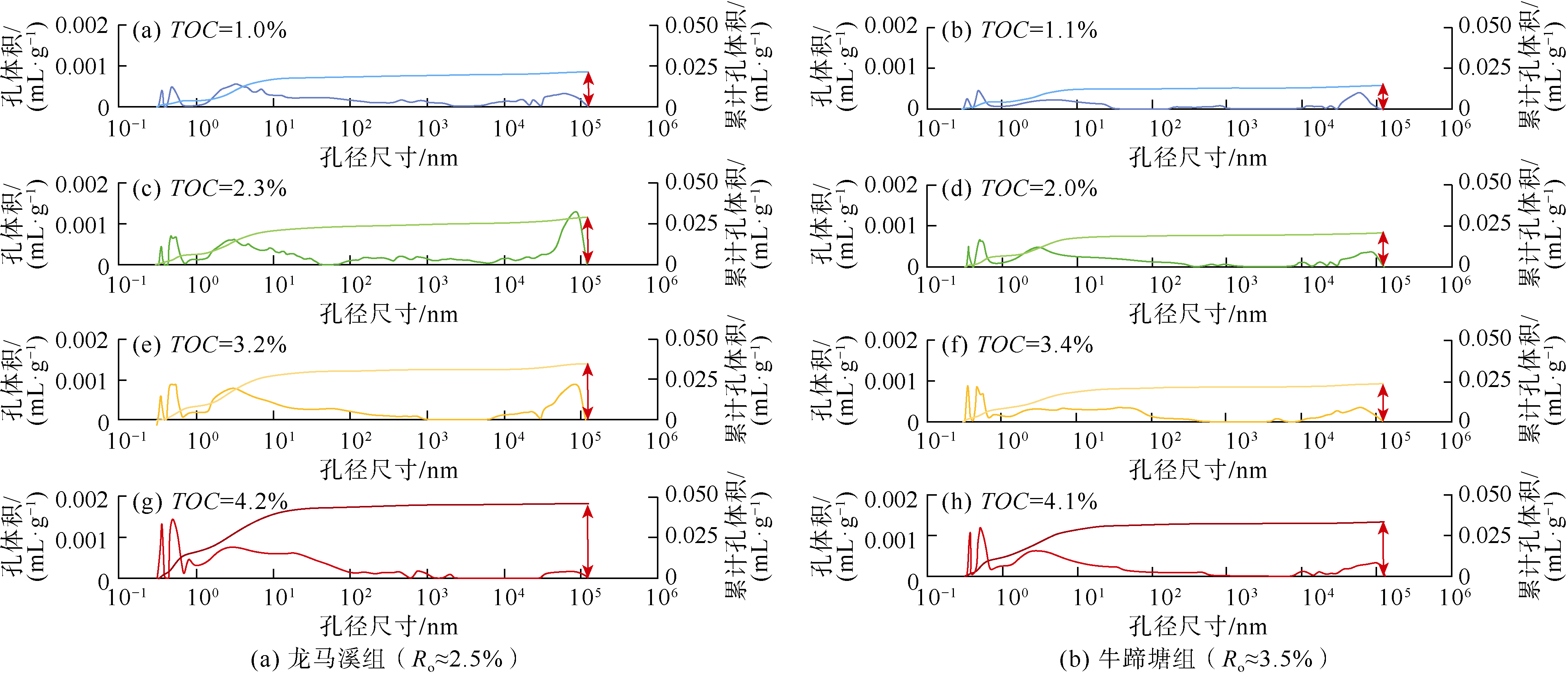
目前,低温气体吸附和高压压汞技术联用表征致密储层孔隙结构特征被广泛应用于致密储层评价。以渝东南地区海相页岩为例,下志留统龙马溪组和寒武系牛蹄塘组页岩孔径尺寸主要为0.5~100.0 nm,主要由中孔和微孔组成(见图8)。当页岩热演化程度保持一定时,随着有机碳含量的增加,中孔和微孔占比逐渐提高,页岩孔隙发育程度也随之逐渐增加。同时,牛蹄塘组页岩相较龙马溪组热演化程度较高,页岩孔隙发育程度也相对较低,主要由微孔和少量中孔组成,随着有机碳含量的增加孔隙的增加量也相对较小(见图8)。需要注意的是,使用低温气体吸附和高压压汞联用的方法表征致密储层孔隙结构时,针对黏土矿物含量高、微裂缝发育的样品,需要特别注意测试结果的准确性。
图8 下志留统龙马溪组和寒武系牛蹄塘组页岩孔隙结构全孔径表征

3.2.1.3 非常规油气源储配置

源储组合指具有明确油气供、聚关系的一套或多套烃源岩与某一套储集岩,在空间上紧邻或相邻而组成的一组地层单元[45]。依据中西部致密油盆地烃源和储层的空间匹配关系,可概括为下源上储、上源下储、“三明治”、薄互层和源储一体5种源储组合类型。其中前4者常常见于淡水湖相致密层中,源储一体型主要发育于咸化湖致密层中。
下源上储型组合。烃源岩位于储层之下、两者大面积紧密接触的组合类型,主要形成于沉积凹陷中心及其周边的水退层序中,典型例子是鄂尔多斯盆地三叠系延长组长64亚段致密油所在的源储组合类型,其中长7段为烃源岩,其上覆的长64亚段为储层。
上源下储型组合。烃源岩位于储层之上,两者大面积紧密接触的组合类型,相当于常规油气藏的顶生型生储盖组合,主要形成于沉积凹陷中心及其周边的水进层序中,典型例子是鄂尔多斯盆地延长组长81亚段致密油所在的源储组合类型,长73亚段为烃源岩,其下伏的长81亚段为储层。由于上覆的烃源岩又起到封盖的作用,这类组合往往具有较好的含油性。
“三明治”型组合。储层上覆地层和下伏地层均为烃源岩组成的三者大面积紧密接触的源储组合类型,主要形成于沉积凹陷中心及其周边的加积(稳定的水进水退)层序中,典型例子是鄂尔多斯盆地延长组长7段致密油所在的源储组合类型,其中长7段富有机质泥页岩为烃源岩,分布于长7段烃源岩之中的致密碎屑岩为储层。由于是上、下双向供油,“三明治”组合的含油性往往很好。
薄互层型组合。薄互层型指薄层(厚度通常小于1 m)烃源岩与薄层储层纵向上交互叠置形成的一种源储组合类型,通常出现在淡水湖盆的斜坡源储过渡带,是频繁水进水退沉积的结果。由于远离沉积中心,烃源岩厚度小且品质差,储层又薄,因此,薄互层型组合的含油性往往较差。
源储一体型组合。烃源岩与储层混杂在一起,既是烃源岩又是储层、源储难以区分的一类源储组合,通常发育于咸化湖沉积中心及周边,由泥页岩、泥质粉砂岩、粉砂岩等碎屑岩和云质岩、灰质岩等碳酸盐岩混合形成的细粒混积岩。这类组合由于位于富有机质的沉积中心,碳酸盐岩的溶蚀作用和裂缝作用均发育,因此往往具有很好的含油性,典型实例如准噶尔盆地吉木萨尔凹陷二叠系芦草沟组上下甜点层段。

3.2.2 全油气系统动态演化过程研究

对于全油气系统的动态演化不仅包含了常规油气的圈闭聚集过程,还包含了非常规油气的形成过程。非常规油气的聚集是一个持续的过程,对于致密油气而言,致密储层经历了复杂的成岩演化过程,该过程与油气充注的匹配关系往往影响了致密油气的分布特征;而对于自生自储的页岩油气和煤层气,其形成除了与烃源岩自身条件相关之外,后期稳定的保存条件则是源内油气富集的关键。

3.2.2.1 致密储层演化与油气充注的匹配

致密油气储层致密化过程与油气充注的匹配关系一直都是致密油气成藏研究中的关键问题。按照两者演化的形成顺序可分为“先成型”和“后成型”两种[46]。“先成型”致密油气其储层致密化过程在烃源岩演化达到生排烃高峰期前就已经达到致密储层的状态,储层孔隙结构复杂、连通性差,成藏动力为烃源岩生烃增压,聚集机理为非浮力成藏,最终可形成厚度大、范围广的致密油气藏;而“后成型”致密油气储层在原油充注成藏时依旧为常规储层,后期在压实成岩作用下储层逐渐致密,成藏动力主要为浮力,聚集机理为浮力成藏,油气藏分布范围受到早期圈闭的控制,分布范围较小,含油气面积最大不超过圈闭范围(见图9)。
图9 致密油气储层致密化过程与油气充注的匹配关系[46]ϕ—孔隙度;K—渗透率)
致密储层致密化过程与油气充注的研究内容主要包括2个方面,一是致密储层致密化过程的定量恢复,二是致密油气充注时期的确定。致密储层致密化过程的定量恢复主要研究思路是确定致密储层发生的主要成岩作用类型,计算成岩作用的成储效应,最终结合成岩演化序列建立成岩演化约束下的致密储层致密化过程。确定致密油气充注时期的手段主要有包裹体均一温度、自生伊利石定年、原油同位素定年和烃源岩生排烃史。在以上分析的基础上,探讨致密油气储层致密化背景下的油气充注过程,明确两者匹配过程。
以川西凹陷中上三叠统须家河组二段(简称须二段)致密砂岩气为例,须二段致密砂岩储层经历了强烈的压实作用和成岩作用,成岩演化阶段已进入晚成岩作用B期。须二段致密砂岩初始孔隙度约为45%,经历了早成岩作用A期和B期后,在压实作用和胶结作用下储层孔隙度演化至18%~22%;晚成岩作用A期,压实作用、胶结作用和溶蚀作用3者共同作用使储层开始致密化,此阶段结束时储层孔隙度降低至6%~10%(对应时间为晚侏罗世早期);晚成岩作用B期,压实作用影响减弱,胶结作用使得储层变得更加致密,孔隙度多分布于2%~5%[47]。川西须家河组主力烃源岩晚侏罗世早期进入生烃门限,早白垩世早期进入生烃高峰期,晚于须二段砂岩储层达到致密程度的时间。同时包裹体均一温度检测结果表明须二段致密储层油气充注时期为晚侏罗世晚期—早白垩世早期。结合致密储层演化史、烃源岩生烃史和包裹体均一温度,川西凹陷须二段致密砂岩气属于典型的“先致密后成藏”的“先成型”致密气藏[48]

3.2.2.2 非常规油气后期改造

非常规油气成藏后期的调整改造会导致油气藏内温度、压力和保存条件的变化,进而改变非常规油气赋存状态,特别是影响游离态油气的含量[18]。因此,非常规油气后期调整改造对非常规油气的富集至关重要,尤其是海相页岩气和高煤阶煤层气这类经过构造抬升而后期定型的气藏。
构造抬升的幅度和时间控制了海相页岩气和高煤阶煤层气的富集程度。构造抬升幅度对气藏的影响以高煤阶煤层气为例,宋岩等通过分析构造演化对煤层气富集程度的影响,总结了不同构造演化模式下煤层气的富集程度[49](见图10)。煤层在区域回返抬升后若持续抬升至煤层气风化带,煤层气藏遭受破坏,含气量较低;若煤层在区域回返抬升后持续抬升,但现今处于煤层气风化带之下,煤层将保持较高含气量;而当煤层在回返抬升后持续沉降,煤层将保持较高含气量,但煤层渗透率降低,不利于开发。构造抬升时间对气藏的影响以海相页岩气为例,四川盆地焦石坝地区奥陶系五峰组—志留系龙马溪组页岩构造抬升时间始于距今85 Ma左右,晚于彭水地区抬升时间(距今125 Ma),建成了页岩气高产区,而彭水地区抬升时间早而长未获得工业发现,表明抬升时间晚而短有利于页岩气的保存与富集[50]
图10 不同构造演化模式下的现今煤层气富集程度示意图

3.2.3 全油气系统油气分布规律研究

全油气系统研究的目的是实现含油气单元内部常规-非常规油气规模整体发现、高效开采。全油气系统内部常规-非常规油气共生富集,是统一的有序聚集体系。而这种有序聚集受控于常规-非常规油气成因机制,常规油气为浮力成藏,油气运聚受控于流体势而在构造高部位聚集成藏;非常规油气为非浮力成藏,连续聚集,多分布于盆地中心及斜坡,这与非常规油气成藏机制密切相关。因此,全油气系统油气分布规律研究在传统的含油气系统研究基础上,应加强非常规油气聚集机理和常规-非常规油气分布序列方面的研究。

3.2.3.1 非常规油气聚集机理

由于非常规储层致密,孔喉直径多分布于5~900 nm,浮力无法成为油气运移的主要动力使油气克服通过储层喉道的毛细管力,油气主要以游离态和吸附态束缚于储集空间中,表现为“滞留”和自封闭成藏的特征[17,51]。贾承造院士在剖析中国典型含油气盆地非常规油气成藏特征,分析其成藏动力机制后指出:非常规油气聚集的动力是分子间作用力,油气自封闭作用是非常规油气聚集机理的关键[16]。依据分子间作用力和相应自封闭作用,非常规油气聚集机制可分为3类:①以大分子黏滞力和缩合力为主的稠油和沥青;②以毛管压力和分子吸附力为主的致密油气、页岩油气和煤层气;③以分子间笼合作用为主的天然气水合物。
以四川盆地龙马溪组页岩气储层为例探讨非常规油气的自封闭机理。龙马溪组页岩气储层自下而上TOC和孔隙度呈现逐渐降低的趋势,含水饱和度逐渐增加,其自封闭机制主要有毛细管力、物性和吸附力3种,毛细管力自封闭作用是龙马溪组页岩气自封闭的核心(见图11)。页岩气储层内部的静水压力、毛细管力和流体膨胀力达到平衡时气藏可以形成自封闭,而当静水压力和流体膨胀力一定时,毛细管力成为气藏自封闭的关键。储层内部含水饱和度达到某一临界时,连通的孔隙中形成毛管水,储层才能形成有效的毛细管力封闭。龙马溪组页岩气主力气层之上的龙一段二亚段页岩层含水饱和度达到了临界含水饱和度,形成了较好的毛细管力封闭。龙一段二亚段页岩储层孔隙发育程度和连通性较一亚段主力气层相对变差,而有利于形成物性封闭。龙一段一亚段主力气层虽然含水饱和度较低、孔隙发育且连通性较好,但在局部束缚水发育和局部孔隙连通性差的部位也能形成毛细管力封闭和物性封闭。此外,以吸附态存在的页岩气占据了游离态气体有效运移路径,可形成一定自封闭作用。页岩气的自封闭状态是相对的,当构造运动导致地层抬升形成断裂,页岩气自封闭体系被破除,平衡状态被打破,最终导致页岩气藏被破坏,并形成新的自封闭平衡。
图11 龙马溪组页岩气自封闭机制(据文献[52]修改)

3.2.3.2 常规-非常规油气分布序列

全油气系统内不同类型非常规油气资源和常规油气资源是有序分布的[17]。对于陆相盆地而言,由盆缘向盆内,往往由以砂体为主的沉积相转变为泥岩为主的沉积相;同时随埋深逐渐增加,烃源岩热演化程度逐渐增加,由生油窗进入生气窗,储层在压实作用和成岩作用的共同作用下变得逐渐致密。由深至浅,不同类型油气藏储层环境和源储配置关系差异导致成藏机理变化和聚集部位差异。常规油气浮力成藏,聚集于源外构造高点,非常规油气压差驱动、自封闭成藏,近源或源内聚集。早在2013年笔者就提出[17],在含油气盆地一套烃源岩生成的油气纵向上由浅至深具有常规油气、致密油气和页岩油气有序分布规律;横向上由盆地中心向外具有页岩油气、致密油气和常规油气有序分布规律(见图12)。
图12 常规-非常规油气有序分布示意图[17]
贾承造自2017年提出全油气系统概念模型后,基于准噶尔盆地二叠系勘探实践,揭示了准噶尔盆地二叠系“全油气系统中常规-非常规油气序列成藏规律”[12]:由二叠系风城组生油岩向上依次充注形成致密油-常规油,风城组滞留烃形成页岩油,由浅至深依次发育常规油、致密油和页岩油。笔者通过对松辽盆地北部青山口组全油气系统深入研究发现:青山口组页岩自湖盆边部向盆地中心依次发育三角洲平原、三角洲前缘、前三角洲和深湖/半深湖相沉积;储层类型序列为细砂岩、粉砂岩和页岩,逐渐致密;平面上常规油藏、致密油和页岩油横向序列分布(见图13)。全油气系统常规-非常规油气有序分布打破了传统油气勘探只专注单一类型油气资源的思路。
图13 松辽盆地北部青山口组全油气系统常规-非常规油气序列分布模式图

4 结论

全油气系统是含油气盆地中某一套烃源岩层系或互相关联的烃源岩层系生成的油气,从生成演化到非常规储层甜点富集和常规储层圈闭聚集,以及后期调整改造的全部地质要素与地质过程的自然系统。全油气系统是传统的含油气系统的拓展,从“从源岩到圈闭”发展到“从源岩到油气聚集”。全油气系统与含油气系统理论的区别在于全油气系统理论将非常规油气资源纳入评价体系,从有效烃源岩出发,研究含油气单元内部与某一套烃源岩层系或者互相关联的烃源岩层系相关的全部常规-非常规油气资源的形成、演化和分布,从成因机理上揭示了常规-非常规油气资源的关联性和差异性。
全油气系统既是指导油气勘探开发的思想,又是研究含油气单元内部油气生成、运移和聚集的理论。全油气系统理论作为一门新兴的石油地质学,其研究思路和研究内容涵盖地质要素、动态演化和油气分布3个方面,立足盆地沉积体系和构造热演化格架研究常规-非常规油气的地质要素和演化过程,基于常规-非常规油气成藏机理预测油气分布范围和资源配置关系,实现常规-非常规油气整体研究、立体勘探。
[1]
MAGOON L B, DOW W G. The petroleum system[M]//MAGOON L B, DOW W G. The petroleum system: From source to trap. Tulsa: American Association of Petroleum Geologists, 1994: 2-24.

[2]
宋岩, 王喜双, 房德权. 准噶尔盆地含油气系统的形成与演化[J]. 石油学报, 2000, 21(4): 20-25.

DOI

SONG Yan, WANG Xishuang, FANG Dequan. The formation and development of petroleum systems in Junggar Basin[J]. Acta Petrolei Sinica, 2000, 21(4): 20-25.

DOI

[3]
何登发, 赵文智, 雷振宇, 等. 中国叠合型盆地复合含油气系统的基本特征[J]. 地学前缘, 2000, 7(3): 23-37.

HE Dengfa, ZHAO Wenzhi, LEI Zhenyu, et al. Characteristics of composite petroleum systems of superimposed basins in China[J]. Earth Science Frontiers, 2000, 7(3): 23-37.

[4]
赵文智, 何登发. 中国复合含油气系统的概念及其意义[J]. 勘探家, 2000, 5(3): 1-11.

ZHAO Wenzhi, HE Dengfa. Concept and its significance of composite petroleum systems in China[J]. Petroleum Explorationist, 2000, 5(3): 1-11.

[5]
赵文智, 何登发, 池英柳, 等. 中国复合含油气系统的基本特征与勘探技术[J]. 石油学报, 2001, 22(1): 6-13.

DOI

ZHAO Wenzhi, HE Dengfa, CHI Yingliu, et al. Major characteristics and exploration technology of multi-source petroleum systems in China[J]. Acta Petrolei Sinica, 2001, 22(1): 6-13.

DOI

[6]
方世虎, 徐怀民, 宋岩, 等. 准噶尔盆地东部吉木萨尔凹陷复合含油气系统特征及其演化[J]. 地球学报, 2005, 26(3): 259-264.

FANG Shihu, XU Huaimin, SONG Yan, et al. Characteristics and evolution of the composite petroleum system in Jimsar Depression, eastern Junggar Basin[J]. Acta Geoscientica Sinica, 2005, 26(3): 259-264.

[7]
赵文智, 何登发. 中国含油气系统的基本特征与勘探对策[J]. 石油学报, 2002, 23(6): 1-11.

ZHAO Wenzhi, HE Dengfa. Characteristics and exploration strategy of composite petroleum systems in China[J]. Acta Petrolei Sinica, 2002, 23(6): 1-11.

[8]
张水昌, 张斌, 王晓梅, 等. 松辽盆地古龙页岩油富集机制与常规—非常规油有序分布[J]. 石油勘探与开发, 2023, 50(5): 911-923.

DOI

ZHANG Shuichang, ZHANG Bin, WANG Xiaomei, et al. Gulong shale oil enrichment mechanism and orderly distribution of conventional-unconventional oil in the Cretaceous Qingshankou Formation, Songliao Basin, NE China[J]. Petroleum Exploration and Development, 2023, 50(5): 911-923.

[9]
朱日祥, 张水昌, 万博, 等. 新特提斯域演化对波斯湾超级含油气盆地形成的影响[J]. 石油勘探与开发, 2023, 50(1): 1-11.

DOI

ZHU Rixiang, ZHANG Shuichang, WAN Bo, et al. Effects of Neo-Tethyan evolution on the petroleum system of Persian Gulf superbasin[J]. Petroleum Exploration and Development, 2023, 50(1): 1-11.

[10]
WANDREY C J, LAW B E, SHAH H A. Patala-Nammal composite total petroleum system, Kohat-Potwar geologic province, Pakistan: Bulletin 2208-B[R]. Reston, VA: U.S. Geological Survey, 2004.

[11]
魏恒飞, 李秋媛, 毕建军, 等. 论烃源岩层系含油气系统[J]. 大庆石油地质与开发, 2020, 39(6): 1-12.

WEI Hengfei, LI Qiuyuan, BI Jianjun, et al. Discussion on the petroleum system of hydrocarbon source-rock series[J]. Petroleum Geology & Oilfield Development in Daqing, 2020, 39(6): 1-12.

[12]
贾承造. 论非常规油气对经典石油天然气地质学理论的突破及意义[J]. 石油勘探与开发, 2017, 44(1): 1-11.

DOI

JIA Chengzao. Breakthrough and significance of unconventional oil and gas to classical petroleum geological theory[J]. Petroleum Exploration and Development, 2017, 44(1): 1-11.

[13]
PANG X Q. Quantitative evaluation of the whole petroleum system[M]. Singapore: Springer, 2023.

[14]
庞雄奇, 贾承造, 宋岩, 等. 全油气系统定量评价:方法原理与实际应用[J]. 石油学报, 2022, 43(6): 727-759.

DOI

PANG Xiongqi, JIA Chengzao, SONG Yan, et al. Quantitative evaluation of whole petroleum system: Principle and application[J]. Acta Petrolei Sinica, 2022, 43(6): 727-759.

DOI

[15]
JIA C Z, PANG X Q, SONG Y. Whole petroleum system and ordered distribution pattern of conventional and unconventional oil and gas reservoirs[J]. Petroleum Science, 2023, 20(1): 1-19.

[16]
贾承造, 庞雄奇, 宋岩. 论非常规油气成藏机理: 油气自封闭作用与分子间作用力[J]. 石油勘探与开发, 2021, 48(3): 437-452.

DOI

JIA Chengzao, PANG Xiongqi, SONG Yan. The mechanism of unconventional hydrocarbon formation: Hydrocarbon self-containment and intermolecular forces[J]. Petroleum Exploration and Development, 2021, 48(3): 437-452.

[17]
宋岩, 姜林, 马行陟. 非常规油气藏的形成及其分布特征[J]. 古地理学报, 2013, 15(5): 605-614.

SONG Yan, JIANG Lin, MA Xingzhi. Formation and distribution characteristics of unconventional oil and gas reservoirs[J]. Journal of Palaeogeography, 2013, 15(5): 605-614.

[18]
宋岩, 李卓, 姜振学, 等. 非常规油气地质研究进展与发展趋势[J]. 石油勘探与开发, 2017, 44(4): 638-648.

SONG Yan, LI Zhuo, JIANG Zhenxue, et al. Progress and development trend of unconventional oil and gas geological research[J]. Petroleum Exploration and Development, 2017, 44(4): 638-648.

[19]
杨智, 邹才能. 论常规-非常规油气有序“共生富集”: 兼论常规-非常规油气地质学理论技术[J]. 地质学报, 2022, 96(5): 1635-1653.

YANG Zhi, ZOU Caineng. Orderly “symbiotic enrichment” of conventional & unconventional oil and gas: Discussion on theory and technology of conventional & unconventional petroleum geology[J]. Acta Geologica Sinica, 2022, 96(5): 1635-1653.

[20]
DOW W G. Application of oil-correlation and source-rock data to exploration in Williston Basin[J]. AAPG Bulletin, 1974, 58(7): 1253-1262.

[21]
PERRODON A. Petroleum systems: Models and applications[J]. Journal of Petroleum Geology, 1992, 15(2): 319-325.

[22]
PERRODON A, MASSE P. Subsidence, sedimentation and petroleum systems[J]. Journal of Petroleum Geology, 1984, 7(1): 5-25.

[23]
MEISSNER F F, WOODWARD J, CLAYTON J L. Stratigraphic relationships and distribution of hydrocarbon source rocks in greater rocky mountain region: Abstract[J]. AAPG Bulletin, 1984, 68(7): 942.

[24]
ULMISHEK G. Stratigraphic aspects of petroleum resource assessment[M]// RICE D D. Oil and gas assessment:Methods and applications. Tulsa: American Association of Petroleum Geologists, 1986: 59-68.

[25]
MAGOON L B. Petroleum system: A classification scheme for research, resource assessment, and exploration[R]. Los Angeles: AAPG Annual Convention, 1987: 91038.

[26]
MAGOON L B. Petroleum systems of the United States: Bulletin 1870[R]. Washington, D.C.: United States Government Printing Office, 1988.

[27]
MAGOON L B. The play that complements the petroleum system-a new exploration equation[J]. Oil and Gas Journal, 1995, 93(40): 85-87.

[28]
MAGOON L B, SCHMOKER J W. The total petroleum system: The natural fluid network that constrains the assessment unit[R]// USGS World Energy Assessment Team. U.S. geological survey digital data series 60. Reston, VA: U.S. Geological Survey, 2000: PS-1-PS-20.

[29]
POLLASTRO R M. Total petroleum system assessment of undiscovered resources in the giant Barnett Shale continuous (unconventional) gas accumulation, Fort Worth Basin, Texas[J]. AAPG Bulletin, 2007, 91(4): 551-578.

[30]
贾承造, 郑民, 张永峰. 非常规油气地质学重要理论问题[J]. 石油学报, 2014, 35(1): 1-10.

DOI

JIA Chengzao, ZHENG Min, ZHANG Yongfeng. Four important theoretical issues of unconventional petroleum geology[J]. Acta Petrolei Sinica, 2014, 35(1): 1-10.

DOI

[31]
贾承造, 庞雄奇, 宋岩. 全油气系统理论基本原理[J]. 石油勘探与开发, 2024, 51(4): 679-691.

DOI

JIA Chengzao, PANG Xiongqi, SONG Yan. Basic principles of the whole petroleum system[J]. Petroleum Exploration and Development, 2024, 51(4): 679-691.

[32]
宋岩, 戴金星, 孙永祥, 等. 准噶尔盆地南缘西部天然气地质特征及有利气聚集带预测[J]. 石油勘探与开发, 1993, 20(1): 48-54.

SONG Yan, DAI Jinxing, SUN Yongxiang, et al. Geologic characteristics of natural gas and a prediction of the best accumulation zones in western part of southern margin of Junggar Basin[J]. Petroleum Exploration and Development, 1993, 20(1): 48-54.

[33]
宋岩, 戴春森, 陈英. 准噶尔盆地腹部油气富集规律及其成藏特征[J]. 天然气工业, 1996, 23(6): 9-13.

SONG Yan, DAI Chunsen, CHEN Ying. Oil-gas enrichment laws and reservoir-formed characteristics in the central part of Junggar Basin[J]. Natural Gas Industry, 1996, 23(6): 9-13.

[34]
宋岩, 夏新宇, 王震亮, 等. 天然气运移和聚集动力的耦合作用[J]. 科学通报, 2001, 46(22): 1906-1910.

SONG Yan, XIA Xinyu, WANG Zhenliang, et al. Coupling effect of migration and accumulation dynamics of natural gas[J]. Chinese Science Bulletin, 2001, 46(22): 1906-1910.

[35]
TAKAHASHI K U, SUZUKI N, SAITO H. Compositional and isotopic changes in expelled and residual gases during anhydrous closed-system pyrolysis of hydrogen-rich Eocene subbituminous coal[J]. International Journal of Coal Geology, 2014, 127: 14-23.

[36]
MA Y, ZHONG N N, LI D H, et al. Organic matter/clay mineral intergranular pores in the Lower Cambrian Lujiaping Shale in the north-eastern part of the Upper Yangtze area, China: A possible microscopic mechanism for gas preservation[J]. International Journal of Coal Geology, 2015, 137: 38-54.

[37]
DIAMOND W P, SCHATZEL S J. Measuring the gas content of coal: A review[J]. International Journal of Coal Geology, 1998, 35(1/2/3/4): 311-331.

[38]
STRĄPOĆ D, MASTALERZ M, SCHIMMELMANN A, et al. Geochemical constraints on the origin and volume of gas in the New Albany Shale (Devonian-Mississippian), eastern Illinois Basin[J]. AAPG Bulletin, 2010, 94(11): 1713-1740.

[39]
TANG X L, JIANG Z X, JIANG S, et al. Characteristics and origin of in-situ gas desorption of the Cambrian Shuijingtuo Formation shale gas reservoir in the Sichuan Basin, China[J]. Fuel, 2017, 187: 285-295.

[40]
薛海涛, 田善思, 卢双舫, 等. 页岩油资源定量评价中关键参数的选取与校正: 以松辽盆地北部青山口组为例[J]. 矿物岩石地球化学通报, 2015, 34(1): 70-78.

XUE Haitao, TIAN Shansi, LU Shuangfang, et al. Selection and verification of key parameters in the quantitative evaluation of shale oil: A case study at the Qingshankou Formation, northern Songliao Basin[J]. Bulletin of Mineralogy, Petrology and Geochemistry, 2015, 34(1): 70-78.

[41]
蒋启贵, 黎茂稳, 钱门辉, 等. 不同赋存状态页岩油定量表征技术与应用研究[J]. 石油实验地质, 2016, 38(6): 842-849.

JIANG Qigui, LI Maowen, QIAN Menhui, et al. Quantitative characterization of shale oil in different occurrence states and its application[J]. Petroleum Geology and Experiment, 2016, 38(6): 842-849.

[42]
钱门辉, 蒋启贵, 李志明, 等. 开放体系下页岩生烃组分动力学研究: 以渤南洼陷为例[J]. 地球化学, 2017, 46(2): 149-157.

QIAN Menhui, JIANG Qigui, LI Zhiming, et al. A study on the compositional kinetics of shale hydrocarbon generation under an open system: Taking the Bonan sub-sag as an example[J]. Geochimica, 2017, 46(2): 149-157.

[43]
KHATIBI S, OSTADHASSAN M, XIE Z H, et al. NMR relaxometry a new approach to detect geochemical properties of organic matter in tight shales[J]. Fuel, 2019, 235: 167-177.

[44]
HU T, PANG X Q, JIANG F J, et al. Movable oil content evaluation of lacustrine organic-rich shales: Methods and a novel quantitative evaluation model[J]. Earth-Science Reviews, 2021, 214: 103545.

[45]
宋岩, 罗群, 姜振学, 等. 中国中西部沉积盆地致密油富集机理及其主控因素[J]. 石油勘探与开发, 2021, 48(2): 421-433.

DOI

SONG Yan, LUO Qun, JIANG Zhenxue, et al. Enrichment of tight oil and its controlling factors in central and western China[J]. Petroleum Exploration and Development, 2021, 48(2): 421-433.

[46]
姜振学, 林世国, 庞雄奇, 等. 两种类型致密砂岩气藏对比[J]. 石油实验地质, 2006, 28(3): 210-214.

JIANG Zhenxue, LIN Shiguo, PANG Xiongqi, et al. The comparison of two types of tight sand gas reservoir[J]. Petroleum Geology and Experiment, 2006, 28(3): 210-214.

[47]
陈冬霞, 庞雄奇, 杨克明, 等. 川西坳陷中段上三叠统须二段致密砂岩孔隙度演化史[J]. 吉林大学学报(地球科学版), 2012, 42(增刊1): 42-51.

CHEN Dongxia, PANG Xiongqi, YANG Keming, et al. Porosity evolution of tight gas sand of the second member of Xujiahe Formation of Upper Triassic, western Sichuan Depression[J]. Journal of Jilin University (Earth Science Edition), 2012, 42(S1): 42-51.

[48]
陈冬霞, 庞雄奇, 杨克明, 等. 川西坳陷深层叠复连续型致密砂岩气藏成因及形成过程[J]. 吉林大学学报(地球科学版), 2016, 46(6): 1611-1623.

CHEN Dongxia, PANG Xiongqi, YANG Keming, et al. Genetic mechanism and formation of superimposed continuous tight sandstone reservoir in deep Xujiahe Formation in western Sichuan Depression[J]. Journal of Jilin University (Earth Science Edition), 2016, 46(6): 1611-1623.

[49]
宋岩, 赵孟军, 柳少波, 等. 构造演化对煤层气富集程度的影响[J]. 科学通报, 2005, 50(增刊1): 1-5.

SONG Yan, ZHAO Mengjun, LIU Shaobo, et al. The influence of tectonic evolution on the enrichment degree of coalbed methane[J]. Chinese Science Bulletin, 2005, 50(S1): 1-5.

[50]
JI W M, SONG Y, JIANG Z X, et al. Geological controls and estimation algorithms of lacustrine shale gas adsorption capacity: A case study of the Triassic strata in the southeastern Ordos Basin, China[J]. International Journal of Coal Geology, 2014, 134/135: 61-73.

[51]
ZHANG K, SONG Y, JIA C Z, et al. Vertical sealing mechanism of shale and its roof and floor and effect on shale gas accumulation, a case study of marine shale in Sichuan Basin, the Upper Yangtze area[J]. Journal of Petroleum Science and Engineering, 2019, 175: 743-754.

[52]
万成祥. 海相页岩自封闭机理及控制因素: 以四川盆地龙马溪组为例[D]. 北京: 中国石油大学(北京), 2023.

WAN Chengxiang. Self-sealing mechanism and controlling factors of marine shale: A case study of Longmaxi Formation in Sichuan Basin[D]. Beijing: China University of Petroleum (Beijing), 2023.

文章导航

/