油气勘探

埋藏过程对深层—超深层碎屑岩成岩作用及优质储层发育的影响——以准噶尔盆地南缘下白垩统清水河组为例

  • 陈思芮 , 1, 2 ,
  • 鲜本忠 , 1, 2 ,
  • 纪友亮 1, 2 ,
  • 李嘉奇 3 ,
  • 田荣恒 2 ,
  • 王鹏宇 2 ,
  • 唐禾元 2
展开
  • 1 中国石油大学(北京)油气资源与探测国家重点实验室,北京 102249
  • 2 中国石油大学(北京)地球科学学院,北京 102249
  • 3 中国地质大学(北京)能源学院,北京 100083
鲜本忠(1973-),男,重庆涪陵人,博士,中国石油大学(北京)地球科学学院教授,主要从事沉积学与储层地质学研究。地址:北京市昌平区府学路18号,中国石油大学(北京)地球科学学院,邮政编码:102249。E-mail:

陈思芮(1994-),男,河北廊坊人,中国石油大学(北京)在读博士研究生,主要从事油气储层地质学研究。地址:北京市昌平区府学路18号,中国石油大学(北京)地球科学学院,邮政编码:102249。E-mail:

Copy editor: 衣英杰

收稿日期: 2023-09-25

  修回日期: 2024-02-06

  网络出版日期: 2024-04-03

基金资助

国家自然科学基金项目(41872113)

国家自然科学基金项目(42172109)

国家自然科学基金项目(42172108)

国家重点研发计划项目(2018YFA0702405)

中国石油天然气集团有限公司-中国石油大学(北京)战略合作科技专项(ZLZX2020-02)

中国石油大学(北京)科研启动基金项目(2462020BJRC002)

中国石油大学(北京)科研启动基金项目(2462020YXZZ020)

Influences of burial process on diagenesis and high-quality reservoir development of deep-ultra-deep clastic rocks: A case study of Lower Cretaceous Qingshuihe Formation in southern margin of Junggar Basin, NW China

  • CHEN Sirui , 1, 2 ,
  • XIAN Benzhong , 1, 2 ,
  • JI Youliang 1, 2 ,
  • LI Jiaqi 3 ,
  • TIAN Rongheng 2 ,
  • WANG Pengyu 2 ,
  • TANG Heyuan 2
Expand
  • 1 State Key Laboratory of Petroleum Resources and Prospecting, China University of Petroleum (Beijing), Beijing 102249, China
  • 2 College of Geosciences, China University of Petroleum (Beijing), Beijing 102249, China
  • 3 School of Energy Resources, China University of Geosciences, Beijing 100083, China

Received date: 2023-09-25

  Revised date: 2024-02-06

  Online published: 2024-04-03

摘要

以准噶尔盆地南缘下白垩统清水河组为例,综合利用岩石薄片、扫描电镜、电子探针、稳定同位素组成及流体包裹体等技术手段,开展前陆盆地埋藏过程对深层—超深层碎屑岩成岩作用及优质储层发育影响的研究。研究表明,清水河组依次经历了“缓慢浅埋”、“构造抬升”、“渐进深埋”与“快速深埋”4个埋藏阶段。“缓慢浅埋”与“构造抬升”不仅能够缓解储层颗粒间的机械压实作用,还有利于长期保持开放型的成岩体系;既能够促进大气淡水对储层易溶组分的充分溶解,还能够抑制溶蚀产物的沉淀。晚期“快速深埋”过程促成流体超压的发育,一方面有效地抑制压实、胶结作用对原生孔隙的破坏,另一方面也促进储层微裂缝的大量发育,提高了晚期有机酸充注产生的溶蚀效果。基于孔隙度演化史的定量恢复,证实长期“缓慢浅埋”与“构造抬升”过程对深层—超深层优质碎屑岩储层发育的贡献最大,其次为晚期“快速深埋”过程,“渐进深埋”过程则几乎没有贡献。

本文引用格式

陈思芮 , 鲜本忠 , 纪友亮 , 李嘉奇 , 田荣恒 , 王鹏宇 , 唐禾元 . 埋藏过程对深层—超深层碎屑岩成岩作用及优质储层发育的影响——以准噶尔盆地南缘下白垩统清水河组为例[J]. 石油勘探与开发, 2024 , 51(2) : 323 -336 . DOI: 10.11698/PED.20230529

Abstract

Taking the Lower Cretaceous Qingshuihe Formation in the southern margin of Junggar Basin as an example, the influences of the burial process in a foreland basin on the diagenesis and the development of high-quality reservoirs of deep and ultra-deep clastic rocks were investigated using thin section, scanning electron microscope, electron probe, stable isotopic composition and fluid inclusion data. The Qingshuihe Formation went through four burial stages of slow shallow burial, tectonic uplift, progressive deep burial and rapid deep burial successively. The stages of slow shallow burial and tectonic uplift not only can alleviate the mechanical compaction of grains, but also can maintain an open diagenetic system in the reservoirs for a long time, which promotes the dissolution of soluble components by meteoric freshwater and inhibits the precipitation of dissolution products in the reservoirs. The late rapid deep burial process contributed to the development of fluid overpressure, which effectively inhibits the destruction of primary pores by compaction and cementation. The fluid overpressure promotes the development of microfractures in the reservoir, which enhances the dissolution effect of organic acids. Based on the quantitative reconstruction of porosity evolution history, it is found that the long-term slow shallow burial and tectonic uplift processes make the greatest contribution to the development of deep-ultra-deep high-quality clastic rock reservoirs, followed by the late rapid deep burial process, and the progressive deep burial process has little contribution.

0 引言

近年来在天山以南库车地区与天山以北准噶尔盆地南缘(简称“准南”)的深层—超深层碎屑岩中均获得高产的工业油气流,揭示了中国西部前陆盆地深层—超深层巨大的油气勘探潜力[1-2]。针对库车地区深层—超深层碎屑岩成岩作用前人已开展了详细的研究。准噶尔盆地南缘深层—超深层油气勘探由于刚刚取得突破,受限于勘探程度较低、地质资料有限等因素的制约,导致对该地区深层—超深层碎屑岩储层成岩作用与优质储层发育机理的研究较为滞后。
随着成岩作用理论的不断发展以及实验手段的不断丰富,建立埋藏方式与成岩事件相耦合的地质模型对于储层发育机制的解释至关重要[3]。埋藏方式可通过影响成岩体系的开放程度、烃源岩的成熟时间、超压的形成时间及强度,间接控制成岩流体的性质与各种成岩作用的强度,进而影响储层的质量[3-6]。准噶尔盆地南缘具有与库车地区深层—超深层极为相似的埋藏方式,即浅埋时间相对较长、而深埋时间相对较短[2,7]。对于库车地区,前人认为长期浅埋时期的原始碱性流体、深埋阶段的继承性碱性流体、上覆膏盐层衍生的碱性流体以及富CO2酸性流体在储层成岩演化过程中发挥了重要作用[7]。而目前关于此类埋藏方式与准南深层—超深层碎屑岩成岩响应关联性的研究工作仍较为薄弱,仅注意到了其对机械压实作用的影响,缺乏对受该埋藏方式影响下的矿物胶结作用与溶蚀作用响应规律的深入研究,致使该埋藏方式与储层质量之间的利弊关系仍不清楚,不利于深入认识储层发育机理及分布规律。同时准南与库车地区虽紧邻天山山脉,但深层—超深层碎屑岩物质组成明显不同,库车地区相对富长英质组分、贫火山物质、且发育厚层膏盐[7],准南地区则相对富火山物质、贫长英质组分、膏盐层发育程度低[8]。因此在相似埋藏方式影响下,天山以南关于深层—超深层碎屑岩储层成因机理的解释难以有效指导天山以北的准南地区,有必要开展适用于指导准南地区深层—超深层碎屑岩油气勘探的储层发育机理研究。
本文选取近年来多次获油气勘探突破的准南下白垩统清水河组碎屑岩为研究对象,基于埋藏史资料、钻测井资料、储层分析化验资料,依次开展岩石学、矿物学、成岩流体性质以及元素地球化学方面的研究,建立成岩事件与储集空间演化历史。在此基础上,深入探讨“长期浅埋—晚期快速深埋”过程对深层—超深层碎屑岩储层成岩作用及优质储层发育的影响,以期为包含准噶尔盆地南缘在内的具有类似埋藏方式的含油气盆地深层—超深层碎屑岩储层预测及精细评价提供更多理论支撑。

1 区域地质概况

准噶尔盆地南缘为北天山的山前前陆冲断带[8],西部以扎伊尔山为界,东部接博格达山,南与伊林黑比尔根山相邻,北至盆地的中央坳陷区(见图1a)。四棵树凹陷位于准南的西段[2](见图1b),勘探面积约6.3× 103 km2。四棵树凹陷受多期构造运动控制,海西—印支运动期发育高泉构造带与艾卡构造带,燕山期走滑断裂及伴生断裂进一步切割两大构造带,喜马拉雅期浅层经历逆冲推覆运动,形成了现今的构造格局[8]
图1 准南四棵树凹陷地理位置及成藏组合综合柱状图

(a)准噶尔盆地南缘四棵树凹陷地理位置;(b)高泉地区井位分布;(c)侏罗系—下白垩统综合柱状图

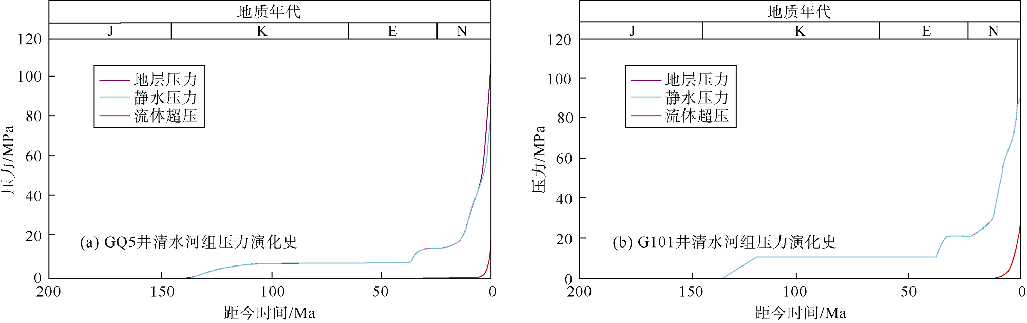
四棵树凹陷南部高泉地区是本次的研究工区(见图1b),该地区于2019年获重大油气勘探突破[2]。研究的目标层位为下白垩统清水河组(见图1c),是研究区的高产油气层[2,8]。清水河组底部发育扇三角洲水下分流河道碎屑岩储集体,埋藏深度为5 500~6 000 m,厚度为20~180 m(见图1c)。埋藏历史资料显示,清水河组深层—超深层碎屑岩储层经历了缓慢浅埋、构造抬升、渐进深埋及快速深埋4个阶段(见图2)。其中“缓慢浅埋”到“渐进深埋”阶段(距今14~140 Ma),清水河组储层流体压力系统为常压;而在快速深埋阶段,清水河组储层流体压力曲线呈增加趋势,表明该时期储层内部发育流体超压(见图3)。
图2 准南四棵树凹陷高泉地区清水河组埋藏热演化史图

(据文献[9]修改;Q—第四系;N2d—独山子组;N1t—塔西河组;N1S—沙湾组;E2—3a—安集海河组;K2d—东沟组;K1h—呼图壁组;K1q—清水河组)

图3 准南四棵树凹陷高泉地区清水河组压力演化史(据文献[10]修改)

2 样品与分析方法

研究资料包括四棵树凹陷24口井钻测井资料和200余块岩心样品的分析测试资料。岩心样品埋深为5 500~6 500 m。开展的分析测试项目包括铸体薄片、扫描电镜、电子探针、稳定同位素组成和流体包裹体均一温度分析:①铸体薄片样品的显微特征观察与面孔率定量统计均在中国石油大学(北京)油气资源与探测国家重点实验室完成,所用仪器分别为OLYMPUS-BX51型光学显微镜与ZEISS Crossbeam 540型扫描电镜。②碳氧同位素组成(δ13C和δ18O)测试是在北京核工业地质研究所完成。将富含方解石的岩心样品研磨至0.075 mm,然后在70 ℃的真空环境下将粉末样品与100%的磷酸反应4~8 h,运用MAT-253型稳定同位素比质谱仪对化学反应过程中释放的CO2进行测定。其中δ18O测量精度为±0.08‰,δ13C测量精度为±0.06‰。③电子探针元素测试是在中国科学院地质与地球物理研究所完成。使用空间分辨率达7 nm的JXA-8100型电子探针微量分析仪(EPMA,主量元素的测量精度为±1.0%,微量元素的测量精度为±3.0%)对岩石样品中火山灰、自生矿物进行主量元素测试,其中EPMA电子束尺寸为3~5 μm。④流体包裹体测试是在北京核工业地质研究所完成。显微测温仪器型号为LINKAM THMS 600型冷热台。流体包裹体的均一温度测试精度为±0.1 ℃,最终冰点温度的精度为±0.1 ℃。实验首先将盐水包裹体冷却至最低温度,然后在温度缓慢上升的过程中观察包裹体的相变情况。在加热速率不超过0.1 ℃/min的条件下观察包裹体的最终冰点温度。在1 ℃/min的加热速率下观察包裹体均一温度。

3 深层—超深层碎屑岩储层特征

3.1 岩石学特征

四棵树凹陷清水河组的砂岩以岩屑砂岩为主,成分成熟度整体较低(见图4a图4b)。石英占比仅为6.0%,其含量平均值为8.0%;长石占比仅10.0%,其含量平均值为5.5%;岩屑占比达到84.0%,其含量平均值为71.5%(见图4a图4b)。填隙物包括自生胶结物(见图4c)与火山灰(见图5a)。自生胶结物以硅质胶结物(占比仅4%)、碳酸盐胶结物(占比为21%)、铁质胶结物(占比为7%)和自生黏土矿物(占比为54%)为主。
图4 准南四棵树凹陷高泉地区清水河组砂岩组分特征

(a)碎屑颗粒组分类型与比例;(b)岩石组分三角图;(c)填隙物组分类型与比例

图5 准南四棵树凹陷高泉地区清水河组碎屑岩储层成岩矿物特征(Qo—自生石英;Qm—微晶石英;Ca-Ⅰ—一期方解石;Ca-Ⅱ—二期方解石;Py—黄铁矿;Ht—赤铁矿;I/S—伊/蒙混层;I—伊利石;K—高岭石;Ch—绿泥石;FD—长石溶蚀)

(a)GHW001井,5 828.67 m,粒间火山灰,扫描电镜;(b)GHW001井,5 833.96 m,分布于火山灰中的微晶石英,单偏光;(c)GHW001井,5 829.77 m,环绕颗粒生长的石英加大边,扫描电镜;(d)GHW001井,5 833.96 m,充填于火山灰中的一期方解石,单偏光;(e)GHW001井,5 825.00 m,占据原生孔隙的二期方解石,正交光;(f)GHW001井,5 829.77 m,呈金属光泽的黄铁矿,正交光;(g)G101井,6 081.96 m,呈砖红色的赤铁矿,单偏光;(h)GHW001井,5 824.19 m,粒间伊利石,扫描电镜;(i)GHW001井,5 832.84 m,“蜂窝状”伊/蒙混层,扫描电镜;(j)GHW001井,5 825.19 m,绿泥石化的火山灰,单偏光;(k)GQ5井,6 051.96 m,颗粒边缘的绿泥石,单偏光;(l)GQ5井,6 051.96 m,微裂缝中存在蠕虫状高岭石,扫描电镜;(m)GHW001井,5 832.84 m,粒内溶孔中的高岭石,扫描电镜

3.2 成岩矿物特征

探索“长期浅埋—晚期快速深埋”过程对矿物胶结及溶解作用等成岩作用的影响是本次研究重要内容之一。基于四棵树凹陷清水河组岩心样品对各类胶结物和溶蚀特征进行分析。

3.2.1 硅质胶结物特征

硅质胶结包括微晶石英与石英次生加大边两类。微晶石英常与颗粒间的火山灰相伴生(见图5b),表明颗粒间火山灰的脱玻化作用是微晶石英的重要物质来源。石英加大边以环绕碎屑颗粒边缘生长为主,可通过识别“尘线”来区分其与石英颗粒(见图5c)。

3.2.2 碳酸盐胶结物特征

研究识别出两期方解石胶结物。一期方解石(Ca-Ⅰ)以不规则“点状”或“斑状”形式出现,常充填于火山灰中,呈明显伴生关系(见图5d)。二期方解石(Ca-Ⅱ)晶形好、自形程度高,常以“连晶状”形式充填原生孔隙(见图5e)。

3.2.3 铁质胶结物特征

铁质胶结涵盖了黄铁矿与赤铁矿两种类型。黄铁矿在反射光下主要呈现典型的金属光泽,赤铁矿在反射光下呈现明显的砖红色(见图5f图5g),代表清水河组的成岩环境曾具有较强的氧化性。

3.2.4 自生黏土胶结物特征

黏土矿物胶结主要存在伊利石、伊蒙混层、绿泥石以及高岭石4种类型。伊利石以“纤维状”形式充填原生孔隙(见图5h),伊/蒙混层以“蜂窝状”的形式占据原生孔隙(见图5i),绿泥石以“包壳状”形式覆盖颗粒表面(见图5j、图5k),高岭石以“蠕虫状”充填在粒内溶孔中,形成时间晚于绿泥石包壳(见图5l图5m)。

3.2.5 溶蚀特征

清水河组碎屑岩储层中的颗粒与胶结物在“长期浅埋—晚期快速深埋”过程中普遍受到酸性流体的溶解。其中凝灰岩岩屑中的长石质斑晶经常被选择性的溶解并形成相应的粒内溶孔,这些粒内溶孔常与切穿碎屑颗粒的微裂缝相伴生(见图6a图6b)。火山灰和一期方解石溶蚀则促进了粒间溶孔的发育(见图6c—6f)。此外清水组还广泛发育原生孔隙。这些原生孔隙的形态规则、边缘平直(见图6g),部分原生孔隙的边缘被绿泥石包壳所覆盖(见图6h)。面孔率统计显示,原生粒间孔隙占比为55%,次生溶孔占比为34%,微裂缝占比为11%(见图7a)。在次生溶孔中,火山灰和不规则方解石(Ca-I)溶蚀产生的粒间溶孔分别为17.3%和5.4%,长石质斑晶溶蚀产生的粒内溶孔为11.8%(见图7b)。
图6 准南四棵树凹陷高泉地区清水河组碎屑岩储层储集空间特征(Ch—绿泥石;Ca-I ds—一期方解石溶解;Mf—微裂缝;PP—原生孔隙;Tf—凝灰岩岩屑溶解)

(a)G101井,6 022.65 m,开启型微裂缝,单偏光;(b)G101井,6 020.83 m,粒内溶孔与微裂缝相伴生,单偏光;(c)GHW001井,5 829.04 m,丝缕状火山灰溶解残余,单偏光;(d)GHW001井,5 829.04 m,枝杈状火山灰溶解残余,单偏光;(e)GHW001井,5 828.67 m,火山灰中方解石被溶解,单偏光;(f)GHW001井,5 833.96 m,火山灰中的方解石被溶解,单偏光;(g)GHW001井,5 828.67 m,形态规则的原生孔隙,单偏光;(h)GQ5井,6 051.96 m,孔隙边缘发育绿泥石包壳,单偏光

图7 准南四棵树凹陷高泉地区清水河组碎屑岩储层储集空间及物性参数分布特征(N为样品数)

(a)原生孔、次生孔和微裂缝分布;(b)粒间溶孔与粒内溶孔分布;(c)孔隙度、渗透率分布

3.3 储层物性特征

致密型碎屑岩是指中国含油气盆地中孔隙度低于10%、原位地层渗透率低于0.1×10-3 μm2或空气渗透率低于1.0×10-3 μm2的储层[11]。四棵树凹陷清水河组的深层—超深层碎屑岩储层的孔隙度为2.6%~17.4%,平均值为8.3%;渗透率为(0.01~38.60)×10-3 μm2,平均值为4.7×10-3 μm2,整体孔、渗特征接近致密碎屑岩储层(见图7c)。但从图7可以看出,仍有部分储层的孔隙度大于10%、渗透率大于1.0×10-3 μm2,即清水河组深层—超深层的典型优质碎屑岩储层。

3.4 储层成岩流体地球化学特征

埋藏过程的复杂多变势必会导致储层成岩流体性质的多样化,进而对胶结与溶解作用产生影响。需要对储层中的地层水与流体包裹体地球化学特征分析来明确其成岩流体性质。

3.4.1 地层水地球化学特征

清水河组碎屑岩储层地层水属于典型低矿化度的NaHCO3型。假设原始地层水是现今地层水的主要来源,在经历溶蚀作用且埋藏深度如此之大的情况下,地层水理应向高矿化度的CaCl2型水演化[12]。由此认为清水河组储层地层水曾与低矿化度大气淡水发生过强烈的混合作用,导致离子浓度被稀释。但上述情况通常需要开放的成岩体系作为支撑。通过计算发现,清水河组储层地层水的变质系数普遍接近1、脱硫系数普遍大于10(见图8a图8b),证明清水河组地层水的水文活动整体相对活跃[12],开放型成岩体系的持续时间大于封闭型成岩体系。
图8 准南高泉地区清水河组地层水地球化学特征

(a)变质系数随深度变化;(b)脱硫系数随深度变化

图9 准南四棵树凹陷高泉地区清水河组碎屑岩储层流体包裹体及均一温度特征(Al—盐水包裹体;GHI—烃类包裹体)

3.4.2 流体包裹体特征

烃类包裹体与盐水包裹体分布于颗粒微裂缝和石英加大边中。盐水包裹体在颗粒微裂缝与石英加大边中均有分布,单偏光下呈灰色或浅棕色(见图9a)。烃类包裹体只存在于石英加大边(与盐水包裹体呈伴生关系),单偏光下呈深灰色,荧光下呈蓝色(见图9b图9c)。均一温度测试结果显示,微裂缝与石英加大边的盐水包裹体均一温度峰值区间分别为60~80 ℃与80~100 ℃(见图9d图9e)。将微裂缝中的盐水包裹体均一温度峰值区间投影到热演化史图上(见图2),估算出微裂缝的形成时间为距今8~12 Ma。将石英加大边中与烃类包裹体伴生的盐水包裹体均一温度峰值区间投影到热演化史图上(见图2),估算出清水河组的烃类、有机酸充注事件发生在距今5~8 Ma。

4 讨论

4.1 “长期浅埋—晚期快速深埋”对深层—超深层碎屑岩成岩作用的影响

4.1.1 埋藏过程对压实作用的影响

前人基于数学模型计算认为地层孔隙度受埋藏方式制约[13]。埋藏史曲线与时间轴所围成的面积越大,压实作用对原生孔隙的破坏程度越大[14]。中国含油气盆地的地层埋藏史可分为恒速型、减速型、加速型和中断型,中断型埋藏方式的压实作用最强,其次为减速型和恒速型埋藏方式,加速型埋藏方式的压实减孔幅度最弱[13]
从埋藏速率变化趋势来看,清水河组依次经历了缓慢浅埋(7 m/Ma)、构造抬升、渐进深埋(46 m/Ma)和快速深埋(346 m/Ma)3种不同沉降速率的埋藏阶段。从各埋藏阶段持续时间来看,缓慢浅埋阶段为70 Ma、构造抬升阶段为30 Ma、渐进深埋阶段为26 Ma,快速深埋阶段仅为14 Ma(见图2)。因此清水河组具有“长期缓慢—短期快速”的典型加速型埋藏方式。而基于上述分析,机械压实作用在该类型地层沉降过程背景下对储集空间的破坏程度相对较小,有利于原生孔隙的保存。综合图7可以证实,清水河组深层—超深层优质储层的形成主要依赖于原生孔隙的保存,进而彰显了该地区优势埋藏方式相较于酸性流体充注对于深层—超深层优质储层的发育更为重要。
选择与研究区相邻的准噶尔盆地南缘中段清水河组碎屑岩储层来进行压实作用强度对比。该地区与研究区具有相似的沉积环境、埋藏深度与岩石组成,但埋藏史属于典型的恒速型[15]。对比结果显示,“长期缓慢浅埋—晚期快速深埋”加速型埋藏方式影响下的碎屑岩受机械压实作用损失的粒间孔隙体积为50%~90%(见图10a),而恒速型埋藏方式影响下的碎屑岩受机械压实作用损失的粒间孔隙体积则达到75%~90%(见图10b),显然前者对压实作用抑制程度更为明显。
图10 准南不同地区清水河组碎屑岩储层机械压实作用强度对比

4.1.2 埋藏过程对胶结与溶解作用的影响

综合埋藏演化史(见图2)、成岩矿物特征(见图5b图5m)、元素地球化学特征(见图11)以及稳定同位素组成特征(见图12),重点探讨“长期浅埋—晚期快速深埋”过程对储层胶结与溶解作用的影响。
图11 准南四棵树凹陷高泉地区清水河组成岩矿物及火山灰的元素地球化学特征
图12 准南四棵树凹陷高泉地区清水河组不同期次方解石的稳定同位素及沉淀温度特征

(a)方解石稳定同位素特征;(b)方解石沉淀温度特征

4.1.2.1 硅质胶结作用

碎屑岩储层中的硅质胶结物存在多种物质来源,诸如长石的溶蚀作用与火山物质的脱玻化作用均可提供SiO2[16-17]。地层温度是影响溶蚀作用与脱玻化作用的关键因素。火山物质在低温环境下极不稳定(<50 ℃),容易发生脱玻化作用形成微晶石英[17];而适宜有机酸保存的地温为80~120 ℃。地层温度的变化趋势在某种程度上取决于埋藏方式,表明硅质胶结物与埋藏方式之间关系密切。根据前述分析,清水河组“缓慢浅埋”过程的持续时间为70~140 Ma,地层温度小于30 ℃(见图2),适宜火山物质脱玻化作用的发生与微晶石英的形成。镜下薄片可见由脱玻化作用产生的微晶石英散乱地分布于火山灰中(见图5b)。通过电子探针从微晶石英中检测出二氧化钛(TiO2)(见图5b图11a),证实火山物质脱玻化析出的无定形硅在重结晶过程中受到地表大气淡水淋滤的影响,导致最终的微晶石英中含有少量二氧化钛[18]。当然火山灰的溶蚀也会抑制脱玻化作用,故微晶石英的形成时间主要集中在“缓慢浅埋”阶段早期。石英加大边中几乎不含二氧化钛,因此受大气淡水淋滤的影响较小(见图5c图11a)。值得注意的是,石英加大边中的盐水包裹体均一温度的峰值区间为80~100 ℃(见图9e),对应晚期“快速深埋”过程(见图2)。埋藏速度和地温的迅速升高导致烃源岩快速成熟,并释放有机酸进入储层溶解长石和凝灰岩岩屑。因此石英加大边中的SiO2主要来自长石及岩屑溶解。

4.1.2.2 碳酸盐胶结作用

Mn、Fe元素含量指示了方解石沉淀时的成岩环境[19]。氧化条件下的Mn、Fe多以Mn4+、Fe3+存在,不易进入矿物晶格;半氧化—还原环境下的Fe多为Fe3+,不易进入矿物晶格,而Mn多为Mn2+,可以进入矿物晶格;还原条件下的Mn、Fe以Mn2+、Fe2+的形式存在,均可进入矿物晶格[19]。清水河组碎屑岩储层存在两期方解石,Ca-Ⅰ具有Mn、Fe含量低的特征(见图5d图11b),形成于偏氧化的成岩环境。Ca-Ⅱ具有Mn、Fe含量高的特征(见图5e图11b),形成于偏还原的成岩环境。
稳定同位素组成(δ13C和δ18O)可用于判断方解石胶结物的形成时间[9]。方解石沉淀温度显示,Ca-Ⅰ的沉淀温度普遍小于30 ℃(见图12),对应“缓慢浅埋”阶段(见图2)。Ca-Ⅱ的沉淀温度接近50 ℃(见图12),对应地温不断升高的“渐进深埋”阶段(见图2)。前人的研究显示,当方解石的“碳”主要来自大气淡水中的CO2,其δ13C值通常为−5‰~−1‰[20]。而当方解石的“碳”来源为有机质热演化产生的CO2,其δ13C值通常约为−25‰[20]。Ca-Ⅰ与Ca-Ⅱ的δ13C值分布范围既有−5‰~−1‰的,又有在−25‰附近的(见图12),说明清水河组的方解石成因与大气淡水淋滤、有机质热演化均有关。
距今100~140 Ma,“缓慢浅埋”过程导致清水河组的埋藏深度不足500 m(见图2),储层内部形成了弱压实—偏氧化的开放型成岩体系。该时期湿润气候环境[21]带来充沛的大气降水沿断层进入储层内部,并对颗粒间的火山灰进行充分溶蚀,形成粒间溶孔的同时释放出Ca2+、Mg2+、CO32−和HCO3等离子。随后在“缓慢浅埋”阶段晚期(距今70~100 Ma),研究区处于炎热、干旱气候环境[21],缺乏大气淡水供给导致孔隙水由弱酸性向碱性转变,这一时期孔隙水中的Ca2+与CO32−、HCO3结合形成Ca-Ⅰ,部分Ca-Ⅰ沉淀在火山灰的溶孔中(见图5d图6c)。Ca-Ⅱ在“渐进深埋”阶段末期开始沉淀(见图5e),该阶段受埋藏速率、地层温度逐渐增高的影响(古地温30~50 ℃)(见图12),有机质热演化程度开始提高并释放有机成因CO2。因受有机碳的影响,Ca-Ⅱ的δ13C值发生了大幅度的“负漂移”(见图12)。因此Ca-Ⅰ属于“缓慢浅埋”过程与古气候环境的耦合产物,而Ca-Ⅱ为“渐进深埋”与有机质热演化的耦合产物。

4.1.2.3 自生黏土胶结作用

火山物质可以提供绿泥石包壳发育所需的Fe2+和Mg2+。薄片观察与电子探针分析显示,清水河组火山灰中的Fe、Mg元素相对富集(见图5a图11c),且发生了明显的绿泥石化,甚至在部分火山灰溶解孔边缘附近观察到绿泥石晶体的沉淀(见图5),表明绿泥石包壳的形成与火山灰的溶蚀和蚀变密切相关。绿泥石包壳的发育需要高孔高渗、碱性的开放成岩体系[22]。“缓慢浅埋”过程缓解压实作用对储层孔隙喉道的破坏,为绿泥石包壳的发育提供了相对开放地球化学系统。伴随着湿润气候期(距今100~140 Ma)大量大气淡水沿断层涌入碎屑岩储层,在不断充分溶解火山物质的同时,释放出发育绿泥石包壳所需的Fe2+和Mg2+离子。待到气候环境转为炎热-干旱(66~100 Ma)、孔隙水性质由弱酸性变为碱性时,先前析出的Fe2+和Mg2+离子与火山灰蚀变产生的蒙脱石结合[22],形成绿泥石包壳。
碎屑组分中的长石、火山物质与酸性流体反应可以产生高岭石[3,16]。如果在此过程中地球化学系统稳定地保持开放状态,则有利于不稳定组分的溶解产物被带离溶解带,从而抑制高岭石的沉淀[3]。清水河组碎屑岩储层的次生孔隙比例为34%(见图7a),但高岭石沉淀量占比仅为4%(见图4c),表明高岭石在溶蚀过程中的沉淀量极低。显然这样的成岩现象与清水河组特殊的埋藏方式密切相关。清水河组在距今100 Ma内的埋藏深度不足500 m,其中构造抬升阶段的埋藏深度更是靠近地表(见图2),这样的埋藏史放眼世界范围内的深层—超深层领域也并不多见。长期维持如此浅的埋藏深度为储层提供了极为稳定的开放型成岩体系,保证了充沛大气淡水在溶解不稳定组分的同时,仍能够凭借其较强的流动性将高岭石沉淀所需的化学组分带出溶解带。因此,极少在被溶蚀的火山灰附近发现高岭石沉淀的迹象。此外,由于清水河组进入深埋时间较晚(见图2)、有机酸充注时间较短,导致高岭石在深层封闭体系下的沉淀量也十分有限。
火山灰可在成岩早期蚀变的过程中转变为蒙脱石,并与孔隙水中的K+结合转化为伊利石[23]。以往研究表明,蒙脱石能够在成岩作用的任何阶段均可转变为伊利石[24],因此K+供给量对于蒙脱石的伊利石化过程更为重要。由于清水河组长石含量平均值仅5.5%,因此火山灰成为K+离子的重要来源。通过电子探针测试发现,清水河组火山灰中的K2O含量较低(见图5a图11c),且即便在大气淡水淋滤中释放出来也极易在长期“缓慢浅埋”和“构造抬升”创造的开放成岩体系中被带离储层,难以达到伊利石沉淀所需的K+离子浓度。因此,“缓慢浅埋”与“构造抬升”过程不利于伊利石沉淀。进入深埋藏阶段后,有机酸溶解长石、火山物质也可提供K+离子。同时随着地球化学系统的封闭性增强,K+损失程度有所降低,有利于蒙脱石向伊利石转化。因此“渐进深埋”和“快速深埋”过程适宜伊利石、伊/蒙混层沉淀(见图5h图5i)。

4.2 “长期浅埋—晚期快速深埋”对深层—超深层优质碎屑岩储层发育的影响

有学者指出,气候环境成为影响“浅埋”或“构造抬升”阶段成岩环境的重要因素[25],盛行的古气候环境通过影响海洋或湖盆的原始水体性质,间接控制颗粒间的成岩流体性质,从而对埋藏过程中的成岩作用及优质储层的发育产生重要影响[25]。在湿润气候下,大气淡水淋滤成因的次生溶孔在总次生孔隙中的占比达到22.7%(见图7b),其中由火山灰溶蚀提供的粒间溶孔比例为17.3%,一期方解石(Ca-Ⅰ)溶蚀产生的粒间溶孔比例为5.4%。同时在该时期溶蚀产物不易发生沉淀,进而为深层—超深层优质储层的发育积累了充足的增孔型次生孔隙。此外,炎热、干旱气候环境下形成的绿泥石包壳能够抑制孔隙水中的SiO2沉淀,间接阻止SiO2在颗粒表面成核和生长,抑制自生石英加大形成,从而保护原生孔隙[26]。绿泥石相对含量越高(见图13),储层物性越好。
图13 准南高泉地区GQ5井清水河组绿泥石含量与储层质量关系
除长期“缓慢浅埋”和“构造抬升”外,晚期“快速深埋”是深层—超深层优质碎屑岩储层发育的重要因素。地层的快速沉降能够抑制流体压力的消散,并使其不断在孔隙中积累直至形成流体超压[5]。这种超压发育机制在世界范围也广泛存在,例如挪威北海盆地边缘、美国墨西哥湾部分地区的深层超压发育期均匹配有类似的晚期快速埋藏过程[5,27]。流体超压能够抵抗机械压实作用和保护原生孔隙[5]。前人基于理论模型推导出1 MPa的流体超压相当于有效埋深减小80 m[28]。清水河组的压力系数高达2.16,因此流体超压对机械压实的抑制效果是显著的。在超压环境下,碳酸盐在水溶液中的溶解度随着压力的增加而增加[29],流体超压可抑制碳酸盐沉淀。此外,流体超压还可以增强蒙脱石层间水的稳定性,间接抑制蒙脱石向混合层伊利石/蒙脱石或伊利石的转变过程[30],从而保护原生粒间孔隙、延缓胶结作用对储层质量的破坏。在中—浅层常压带内的碳酸盐矿物、黏土矿物含量随埋藏深度增大而增大(见图14a图14d),造成储层孔隙度、渗透率随埋藏深度增大而降低(见图14e图14f)。而深层—超深层超压带内的碳酸盐矿物与黏土矿物含量随埋藏深度增加而降低(见图14a图14d),孔隙度、渗透率呈增加趋势。甚至在深层—超深层超压带内的部分孔、渗显著大于中—浅层常压带(见图14e图14f)。
图14 准南四棵树凹陷清水河组碎屑岩压力系数、碳酸盐矿物、黏土矿物及物性参数垂向分布特征

(a)压力系数垂向分布;(b)方解石含量垂向分布;(c)伊/蒙混层相对含量垂向分布;(d)伊利石相对含量垂向分布;(e)孔隙度垂向分布;(f)渗透率垂向分布

除了原生孔隙,流体超压与次生孔隙同样关系密切。强大的流体压力突破了岩石的破裂下限,导致清水河组碎屑颗粒发育着开启程度较高的微裂缝,增加了流体渗流能力[9]。由常压带向超压带的清水河组储层渗透率呈上升趋势(见图14f)。微裂缝形成与有机酸充注属同一时期,因此微裂缝还充当了有机酸的良好运移通道,有效增加了储层中的有机酸数量,提高了凝灰岩岩屑的溶解程度。图7显示由凝灰岩岩屑溶蚀产生的粒内溶孔比例达到11.8%。
最后选取现今孔隙度为15%的优质岩石样品,并参照前人研究方法恢复了以“长期浅埋—晚期快速深埋”约束的深层—超深层优质碎屑岩储层孔隙度演化史[23,31],进而从定量化的角度明确了该埋藏史下的不同埋藏过程对优质储层的贡献程度。在以“缓慢浅埋”和“构造抬升”为主导的埋藏过程中,机械压实减孔仅为5.9%,同时充沛的大气淡水淋滤为储层提供约2.3%的次生孔隙(见图15)。在晚期“快速深埋”过程中,微裂缝与有机酸相互配合为储层提供了1.2%的次生孔隙(见图15)。同时由晚期快速深埋过程引起的流体超压有效地减少了原生孔隙的损失。从孔隙度演化史可知,从地下1 200 m沉降至6 000 m,由机械压实作用造成的原生孔隙损失度仍未超过10%(见图15)。此外,渐进深埋过程以压实减孔与胶结减孔为主,不利于保存原生孔隙和增加次生孔隙(见图15)。因此对于具有“长期浅埋—晚期快速深埋”过程的深层—超深碎屑岩储层而言,“缓慢浅埋”与“构造抬升”过程对优质储层发育的贡献程度相对最大,其次为晚期“快速深埋”过程,类似“渐进深埋”的埋藏过程对优质储层的发育最为不利(见图15)。
图15 准南四棵树凹陷高泉地区清水河组深层—超深层优质碎屑岩储层演化过程(ΔϕCom—机械压实减孔量;ΔϕCem—胶结减孔量;ΔϕDis—溶蚀增孔量)

5 结论

“缓慢浅埋”和“构造抬升”过程能够缓解压实作用在漫长地质时间内对清水河组碎屑岩储层原生孔隙的破坏,促进绿泥石包壳在颗粒边缘的发育程度和提升颗粒抗压实能力,使得原生孔隙的损失度仅为5.9%。晚期“快速深埋”过程促进流体超压发育,导致原生孔隙损失度在沉降幅度接近6 000 m的背景下仍未超过10%。此外流体超压能够抑制碳酸盐矿物沉淀与黏土矿物转化,有利于缓解晚期胶结作用对原生孔隙的破坏。
“缓慢浅埋”和“构造抬升”过程在漫长地质时间内为次生孔隙积累创造了稳定的开放型成岩体系,使大气淡水能够充分溶解储层中的易溶组分,抑制自身高岭石沉淀,进而为储层提供2.3%的次生孔隙。因此上述两过程对次生孔隙发育的贡献最大。其次为晚期“快速深埋”过程。该过程触发的流体超压致使碎屑颗粒发生破裂并产生微裂缝,有机酸在微裂缝的引导下充分溶解不稳定碎屑颗粒,并为深部储层提供了1.2%的次生孔隙。
具有“早期浅埋、晚期深埋”过程的深层—超深层能否发育优质碎屑岩储层更多取决于原生孔隙的保存程度,其次为次生孔隙的发育程度。早期“浅埋”或“构造抬升”的持续时间越长,地层的埋藏深度越小,对原生孔隙的保存越有利;若此过程存在湿润的气候环境,则大气淡水淋滤还可为储层提供更多有效的次生孔隙。同时晚期持续深埋的时间越短,越有利于促成流体超压、保存原生孔隙和维持良好的孔隙结构。若超压强度突破岩石的破裂下限,还会产生大量的微裂缝,有利于晚期油气在储层中的运移与聚集。
[1]
何登发, 贾承造, 赵文智, 等. 中国超深层油气勘探领域研究进展与关键问题[J]. 石油勘探与开发, 2023, 50(6): 1162-1172.

DOI

HE Dengfa, JIA Chengzao, ZHAO Wenzhi, et al. Research progress and key issues of ultra-deep oil and gas exploration in China[J]. Petroleum Exploration and Development, 2023, 50(6): 1162-1172.

[2]
桂丽黎, 卓勤功, 鲁雪松, 等. 基于原位方解石U-Pb定年与包裹体分析技术恢复储集层成岩-成藏过程: 以准噶尔盆地南缘高泉地区白垩系清水河组为例[J]. 石油勘探与开发, 2023, 50(6): 1209-1220.

DOI

GUI Lili, ZHUO Qingong, LU Xuesong, et al. Restoration of reservoir diagenesis and hydrocarbon accumulation process by calcite in-situ U-Pb dating and fluid inclusion analysis: A case study on Cretaceous Qingshuihe Formation in Gaoquan, southern Junggar Basin, NW China[J]. Petroleum Exploration and Development, 2023, 50(6): 1209-1220.

[3]
操应长, 远光辉, 王艳忠, 等. 典型含油气盆地深层富长石碎屑岩储层长石溶蚀接力成孔认识及其油气地质意义[J]. 中国科学: 地球科学, 2022, 52(9): 1694-1725.

CAO Yingchang, YUAN Guanghui, WANG Yanzhong, et al. Successive formation of secondary pores via feldspar dissolution in deeply buried feldspar-rich clastic reservoirs in typical petroliferous basins and its petroleum geological significance[J]. SCIENCE CHINA Earth Sciences, 2022, 65(9): 1673-1703.

DOI

[4]
HAKIMI M H, AL-MATARY A M, SALAD HERSI O. Burial and thermal history reconstruction of the Mukalla-Sayhut Basin in the Gulf of Aden, Yemen: Implications for hydrocarbon generation from Paleocene potential source rock[J]. Journal of African Earth Sciences, 2018, 144: 59-75.

DOI

[5]
SATHAR S, JONES S. Fluid overpressure as a control on sandstone reservoir quality in a mechanical compaction dominated setting: Magnolia Field, Gulf of Mexico[J]. Terra Nova, 2016, 28(3): 155-162.

DOI

[6]
SUN D Q, LIU X P, LI W H, et al. Quantitative evaluation the physical properties evolution of sandstone reservoirs constrained by burial and thermal evolution reconstruction: A case study from the Lower Cretaceous Baxigai Formation of the western Yingmaili area in the Tabei Uplift, Tarim Basin, NW China[J]. Journal of Petroleum Science and Engineering, 2022, 208(Part B): 109460.

DOI

[7]
李玲, 唐洪明, 王茜, 等. 库车坳陷超深层白垩系巴什基奇克组致密砂岩成岩流体演化研究[J]. 中南大学学报, 2018, 25(10): 2472-2495.

LI Ling, TANG Hongming, WANG Xi, et al. Evolution of diagenetic fluid of ultra-deep Cretaceous Bashijiqike Formation in Kuqa Depression[J]. Journal of Central South University, 2018, 25(10): 2472-2495.

DOI

[8]
ZHANG Z Y, ZHU G Y, CHI L X, et al. Discovery of the high-yield well GT1 in the deep strata of the southern margin of the Junggar Basin, China: Implications for liquid petroleum potential in deep assemblage[J]. Journal of Petroleum Science and Engineering, 2020, 191: 107178.

DOI

[9]
靳军, 鲜本忠, 连丽霞, 等. 晚期快速埋藏过程中微裂缝对深层不同成岩强度碎屑岩储集层的改造作用: 来自准噶尔盆地南缘白垩系清水河组成岩物理模拟的启示[J]. 石油勘探与开发, 2023, 50(2): 309-321.

DOI

JIN Jun, XIAN Benzhong, LIAN Lixia, et al. Reformation of deep clastic reservoirs with different diagenetic intensities by microfractures during late rapid deep burial: Implications from diagenetic physical simulation of Cretaceous Qingshuihe Formation in the southern margin of Junggar Basin, NW China[J]. Petroleum Exploration and Development, 2023, 50(2): 309-321.

[10]
刘伟. 准噶尔盆地南缘下组合异常高压形成机制及其演化特征[D]. 陕西: 西安石油大学, 2019.

LIU Wei. Formation mechanism and evolution characteristics of the lower anomalous high pressure in the southern margin of the Junggar Basin[D]. Shanxi: Xi’an Shiyou University, 2019.

[11]
ZOU C N, ZHU R K, LIU K Y, et al. Tight gas sandstone reservoirs in China: Characteristics and recognition criteria[J]. Journal of Petroleum Science and Engineering, 2012, 88/89: 82-91.

DOI

[12]
陈中红, 王书南, 王黎, 等. 山东东营凹陷新近系地层水化学场特征及油气意义[J]. 古地理学报, 2012, 14(5): 685-693.

CHEN Zhonghong, WANG Shunan, WANG Li, et al. Characteristics of formation water chemical fields and its petroleum significance of the Neogene in Dongying Sag, Shandong Province[J]. Journal of Palaeogeography, 2012, 14(5): 685-693.

[13]
何小胡, 刘震, 梁全胜, 等. 沉积地层埋藏过程对泥岩压实作用的影响[J]. 地学前缘, 2010, 17(4): 167-173.

HE Xiaohu, LIU Zhen, LIANG Quansheng, et al. The influence of burial history on mudstone compaction[J]. Earth Science Frontiers, 2010, 17(4): 167-173.

[14]
夏鲁, 刘震, 李潍莲, 等. 砂岩压实三元解析减孔模型及其石油地质意义: 以鄂尔多斯盆地十里加汗地区二叠系下石盒子组致密砂岩为例[J]. 石油勘探与开发, 2018, 45(2): 275-286.

DOI

XIA Lu, LIU Zhen, LI Weilian, et al. Ternary analytic porosity-reduction model of sandstone compaction trend and its significance in petroleum geology: A case study of tight sandstones in Permian Lower Shihezi Formation of Shilijiahan area, Ordos Basin, China[J]. Petroleum Exploration and Development, 2018, 45(2): 275-286.

[15]
郭华军, 司学强, 袁波, 等. 准噶尔盆地南缘中段超深层相对优质砂岩储层发育特征及主控因素[J]. 海相油气地质, 2022, 27(3): 313-324.

GUO Huajun, SI Xueqiang, YUAN Bo, et al. The characteristics and main controlling factors of ultra-deep sandstone reservoir in the middle part of the southern margin of Junggar Basin[J]. Marine Origin Petroleum Geology, 2022, 27(3): 313-324.

[16]
XI K L, CAO Y C, JAHREN J, et al. Quartz cement and its origin in tight sandstone reservoirs of the Cretaceous Quantou Formation in the southern Songliao Basin, China[J]. Marine and Petroleum Geology, 2015, 66(Part 4): 748-763.

DOI

[17]
章顺利, 吕正祥, 熊晨皓, 等. 岐口凹陷侏罗系微晶石英包壳特征及形成机制[J]. 新疆石油地质, 2018, 39(5): 537-541.

ZHANG Shunli, LYU Zhengxiang, XIONG Chenhao, et al. Characteristics and formation mechanism of Jurassic microcrystalline quartz coating in Qikou Sag[J]. Xinjiang Petroleum Geology, 2018, 39(5): 537-541.

[18]
徐昉昊, 徐国盛, 刘勇, 等. 东海西湖凹陷中央反转构造带古近系花港组致密砂岩储集层控制因素[J]. 石油勘探与开发, 2020, 47(1): 98-109.

DOI

XU Fanghao, XU Guosheng, LIU Yong, et al. Factors controlling the development of tight sandstone reservoirs in the Huagang Formation of the central inverted structural belt in Xihu Sag, East China Sea Basin[J]. Petroleum Exploration and Development, 2020, 47(1): 98-109.

[19]
于炳松. 阴极发光显微镜在碳酸盐岩研究中的应用及其进展[J]. 地质科技情报, 1992, 11(4): 92-96.

YU Bingsong. The application and development of catho-doluminescence microscope in the study of carbonate rocks[J]. Bulletin of Geological Science and Technology, 1992, 11(4): 92-96.

[20]
WANG Z K, CAO Y C, SWENNEN R, et al. Meteoric freshwater leaching and its significance to reservoir quality in a buried hill of Lower-Middle Jurassic fluvial sandstones: A case study from the Huanghua Depression, Bohai Bay Basin, China[J]. Journal of Petroleum Science and Engineering, 2022, 210: 109834.

DOI

[21]
王熠哲, 吴朝东, 马健, 等. 准噶尔盆地白垩纪—新近纪地层颜色韵律与古环境和古气候演化[J]. 古地理学报, 2019, 21(3): 451-468.

WANG Yizhe, WU Chaodong, MA Jian, et al. Strata color rhythm of the Cretaceous-Neogene and evolution of palaeoenvironment and palaeoclimate in Junggar Basin[J]. Journal of Palaeogeography, 2019, 21(3): 451-468.

[22]
GARCÍA-ROMERO E, VEGAS J, BALDONEDO J L, et al. Clay minerals as alteration products in basaltic volcaniclastic deposits of La Palma (Canary Islands, Spain)[J]. Sedimentary Geology, 2005, 174(3/4): 237-253.

DOI

[23]
SUN N L, ZHONG J H, HAO B, et al. Sedimentological and diagenetic control on the reservoir quality of deep-lacustrine sedimentary gravity flow sand reservoirs of the Upper Triassic Yanchang Formation in Southern Ordos Basin, China[J]. Marine and Petroleum Geology, 2020, 112: 104050.

DOI

[24]
STORVOLL V, BJØRLYKKE K, KARLSEN D, et al. Porosity preservation in reservoir sandstones due to grain-coating illite: A study of the Jurassic Garn Formation from the Kristin and Lavrans fields, offshore Mid-Norway[J]. Marine and Petroleum Geology, 2002, 19(6): 767-781.

DOI

[25]
WANG J, PANG Y H, CAO Y C, et al. Sedimentary environment constraints on the diagenetic evolution of clastic reservoirs: Examples from the Eocene “red-bed” and “gray-bed” in the Dongying Depression, China[J]. Marine and Petroleum Geology, 2021, 131: 105153.

DOI

[26]
EHRENBERG S N. Preservation of anomalously high porosity in deeply buried sandstones by grain-coating chlorite: Examples from the Norwegian continental shelf[J]. AAPG Bulletin, 1993, 77(7): 1260-1286.

[27]
BAIG I, FALEIDE J I, MONDOL N H, et al. Burial and exhumation history controls on shale compaction and thermal maturity along the Norwegian North Sea Basin margin areas[J]. Marine and Petroleum Geology, 2019, 104: 61-85.

DOI

[28]
KUPECZ J A, GLUYAS J, BLOCH S. Reservoir quality prediction in sandstones and carbonates[M]. Tulsa: American Association of Petroleum Geologists, 1997: 19-27.

[29]
DUAN W, LI C F, LUO C F, et al. Effect of formation overpressure on the reservoir diagenesis and its petroleum geological significance for the DF11 Block of the Yinggehai Basin, the South China Sea[J]. Marine and Petroleum Geology, 2018, 97: 49-65.

DOI

[30]
COLTEN-BRADLEY V A. Role of pressure in smectite dehydration—effects on geopressure and smectite-to-illite transformation[J]. AAPG Bulletin, 1987, 71(11): 1414-1427.

[31]
WANG W G, LIN C Y, ZHANG X G, et al. Effect of burial history on diagenetic and reservoir-forming process of the Oligocene sandstone in Xihu Sag, East China Sea Basin[J]. Marine and Petroleum Geology, 2020, 112: 104034.

DOI

文章导航

/