油气勘探

鄂尔多斯盆地长7段重力流砂岩长石溶蚀特征及控制因素

  • 祝海华 , 1 ,
  • 张秋霞 1 ,
  • 董国栋 2 ,
  • 商斐 3 ,
  • 张釜源 1 ,
  • 赵晓明 1 ,
  • 张喜 1
展开
  • 1 西南石油大学地球科学与技术学院,成都 610500
  • 2 中国石油长庆油田公司勘探开发研究院,西安 710018
  • 3 中国石油勘探开发研究院,北京 100083

祝海华(1987-),男,浙江江山人,博士,西南石油大学地球科学与技术学院副教授,主要从事储集层地质学、页岩油气地质研究。地址:四川省成都市新都区新都大道8号,西南石油大学地球科学与技术学院,邮政编码:610500。E-mail:

Copy editor: 衣英杰

收稿日期: 2023-08-10

  修回日期: 2023-12-20

  网络出版日期: 2024-01-23

基金资助

国家自然科学基金项目(42202176)

中国石油-西南石油大学创新联合体科技合作项目(2020CX050103)

Characteristics and control factors of feldspar dissolution in gravity flow sandstone of Chang 7 Member, Triassic Yanchang Formation, Ordos Basin, NW China

  • ZHU Haihua , 1 ,
  • ZHANG Qiuxia 1 ,
  • DONG Guodong 2 ,
  • SHANG Fei 3 ,
  • ZHANG Fuyuan 1 ,
  • ZHAO Xiaoming 1 ,
  • ZHANG Xi 1
Expand
  • 1 School of Geoscience and Technology, Southwest Petroleum University, Chengdu 610500, China
  • 2 Exploration & Development Research Institute of PetroChina Changqing Oilfield Company, Xi'an 710018, China
  • 3 PetroChina Research Institute of Petroleum Exploration & Development, Beijing 100083, China

Received date: 2023-08-10

  Revised date: 2023-12-20

  Online published: 2024-01-23

摘要

基于岩心薄片、扫描电镜、能谱分析、X射线衍射全岩分析及溶蚀实验,研究鄂尔多斯盆地三叠系延长组7段(简称长7段)重力流砂岩中长石溶孔发育特征及控制因素,明确长石溶孔的形成与分布,为预测优质储集层分布提供依据。研究表明:①研究区长7段砂岩中的长石经历3类成岩作用:长石次生加大、黏土以及方解石的交代、长石碎屑的溶蚀作用。②长7段致密砂岩中的长石溶蚀主要源于有机酸溶蚀,此外还受长石类型、长石早期蚀变程度以及砂岩中云母碎屑对有机酸的缓冲作用影响。③不同长石的溶蚀程度不同,表现为钾长石较斜长石易溶蚀,钾长石中正长石较微斜长石易溶,未蚀变的长石较早期高岭土或绢云母化的长石易溶蚀。④溶蚀实验显示云母的存在会抑制长石溶蚀,相同质量的云母对有机酸的消耗能力明显强于长石。⑤在云母含量低的情况下,长7段砂岩长石溶孔较为发育,储集层物性得以改善,而云母含量较高的地区长石溶孔则明显减少。

本文引用格式

祝海华 , 张秋霞 , 董国栋 , 商斐 , 张釜源 , 赵晓明 , 张喜 . 鄂尔多斯盆地长7段重力流砂岩长石溶蚀特征及控制因素[J]. 石油勘探与开发, 2024 , 51(1) : 102 -113 . DOI: 10.11698/PED.20230428

Abstract

To clarify the formation and distribution of feldspar dissolution pores and predict the distribution of high-quality reservoir in gravity flow sandstone of the 7th member of Triassic Yanchang Formation (Chang 7 Member) in the Ordos Basin, thin sections, scanning electron microscopy, energy spectrum analysis, X-ray diffraction whole rock analysis, and dissolution experiments are employed in this study to investigate the growth characteristics and control factors of feldspar dissolution pores. The results show that: (1) Three types of diagenetic processes are observed in the feldspar of Chang 7 sandstone in the study area: secondary overgrowth of feldspar, replacement by clay and calcite, and dissolution of detrital feldspar. (2) The feldspar dissolution of Chang 7 tight sandstone is caused by organic acid, and is further affected by the type of feldspar, the degree of early feldspar alteration, and the buffering effect of mica debris on organic acid. (3) Feldspars have varying degrees of dissolution. Potassium feldspar is more susceptible to dissolution than plagioclase. Among potassium feldspar, orthoclase is more soluble than microcline, and unaltered feldspar is more soluble than early kaolinized or sericitized feldspar. (4) The dissolution experiment demonstrated that the presence of mica can hinder the dissolution of feldspar. Mica of the same mass has a significantly stronger capacity to consume organic acids than feldspar. (5) Dissolution pores in feldspar of Chang 7 Member are more abundant in areas with low mica content, and they improve the reservoir physical properties, while in areas with high mica content, the number of feldspar dissolution pores decreases significantly.

0 引言

中国鄂尔多斯盆地三叠系延长组7段(简称长7段)广泛发育半深湖—深湖相重力流砂岩,与深水沉积的黑色页岩和暗色泥岩不等厚度互层[1],是重要的非常规油气储集层。长石溶孔是此类砂岩主要的储集空间之一[1-6],因此,明确长石溶蚀特征及控制因素对理解源内或近源砂岩甜点储集层的成因至关重要。
20世纪70年代末,Schmidt和MacDonald提出次生孔隙概念,80年代Surdam、Stoessell等[7-10]一批学者建立了长石等铝硅酸盐矿物和碳酸盐矿物的有机酸溶蚀模式,该理论被广泛应用于中国陆相砂岩储集层的研究中。一般认为有机质演化过程中产生的有机酸易进入砂岩溶蚀长石、岩屑等不稳定组分[11-16],因此理论上越靠近烃源岩越容易发生溶蚀作用。长7段半深湖—深湖重力流砂岩与烃源岩互层分布,具有优越的溶蚀条件,但已有数据显示在砂岩结构成熟度相似条件下,长7段砂岩长石溶蚀孔隙在空间上与烃源岩最厚区不一致,即溶蚀程度最高的地区并非烃源岩最发育区[5]。这种差异的成因少见讨论,也很难用体系封闭性或溶蚀物质含量的差异来解释,因为长7段现今油田地层水数据表明,作为页岩油产层,水型均为CaCl2[17],同时构造平缓,体系封闭性在区域上没有明显差异,不同地区长石含量虽然有一定差异,但仍远大于溶蚀需求[13]
岩石学特征是砂岩物性的主要控制因素,在不同成岩阶段对孔隙演化具有重要影响[18]。前人研究认为,除了长石、岩屑及碳酸盐矿物的溶蚀会消耗有机酸外,云母、火山物质蚀变、黏土转化也会调节孔隙流体酸碱性[12,19 -20]。例如,云母矿物可以吸附H+,使得孔隙水pH值升高,促进相邻石英碎屑的压溶作用和次生加大[19,21 -24]以及方解石、绿泥石或者高岭石沉淀[3,19,25]。云母是否影响了长7段砂岩长石的溶蚀则研究较少。本文以鄂尔多斯盆地长7段半深湖—深湖相重力流砂岩为研究对象,开展岩石学、成岩特征分析,结合溶蚀实验,重点研究不同类型长石的溶蚀特征、长石和云母碎屑对有机酸的消耗能力以及影响长石溶蚀的主要因素。

1 地质概况

鄂尔多斯盆地位于中国东部构造域与西部构造域结合部位,研究区位于鄂尔多斯盆地西南部,构造上属于伊陕斜坡和天环坳陷,该区是目前延长组页岩油勘探的核心区(见图1a[26-27]
图1 研究区位置图(a)、鄂尔多斯盆地长7段沉积相(b)、物源分区及取样井分布(c)(据文献[26]修改)
延长组自下而上可划分为长10段—长1段,其沉积特征反映了湖盆形成、扩张到消亡的演化过程。目的层长7段沉积时为最大湖侵期,沉积的黑色页岩是重要的生油层[4,28 -31],该时期在半深湖—深湖区还沉积了一套大面积展布的重力流砂体,纵向上与黑色页岩互层共生(见图1b[31-32]。长7段沉积物主要来自于盆地周缘[26],形成东北区、西南区等5个物源沉积区(见图1c),其中主物源来自东北和西南方向,中部为混源区。

2 样品及方法

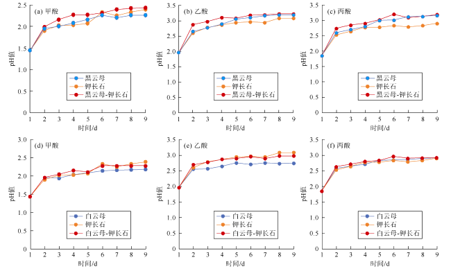
本次研究重新选取鄂尔多斯盆地长7段14口井68个样品(见图1b)开展岩石铸体薄片、扫描电镜及能谱分析,并在半深湖—深湖亚相选取典型重力流砂岩样品开展全岩分析(XRD),分析砂岩岩石学特征、长石类型、长石含量以及长石溶蚀特征。结合收集的177口井864个砂岩薄片鉴定数据(共932个),分析碎屑组分、溶蚀孔隙的平面分布,明确长石溶孔与碎屑组分、烃源岩平面分布的关系。在此基础上,选取黑云母、白云母、钾长石3种矿物与甲酸、乙酸、丙酸进行有机酸溶蚀实验,利用实验结果与实际认识相互验证。具体实验流程:①根据黑云母、白云母和长石的平均体积分数计算出其质量,长石的平均体积分数约为30%、云母的平均体积分数约为5%。按其质量比用电子秤称量,分别设置为0.9,0.9,5.0 g;②参考前人有机酸溶蚀实验,调制浓度0.1 mol/L的甲酸、乙酸和丙酸[33];③选择黑云母、白云母、钾长石、黑云母-钾长石、白云母-钾长石共5组矿物及组合,每组分为3份,分别用胶头滴管加入10 mL配好的甲酸、乙酸和丙酸进行有机酸反应;④将15组溶液静置反应,每24 h利用玻笔式酸度计测量溶液的pH值,直至第九天实验数据稳定后结束测量。

3 长7段砂岩岩石学特征

由于远离物源、水体较深,研究区长7段砂岩整体表现为粒度细、分选较好、磨圆差。碎屑粒径主要分布范围为0.04~0.30 mm,平均为0.16 mm,主要为细砂岩,含量约为59.1%,其次为粉细砂岩、中细砂岩和少量不等粒砂岩,含量分别为22.9%,13.4%,4.6%。分选整体较好,以中等为主,约占52.7%,其次为好和差,分别为22.7%和24.6%,碎屑多为次棱角状。
主要岩石类型以岩屑质长石砂岩和长石质岩屑砂岩为主,含量分别为44.3%和41.9%(见图2);其次为长石砂岩和岩屑砂岩,含量分别为8.2%和5.6%。碎屑颗粒中的石英含量11%~70%,平均值为36.45%;长石含量7%~60%,平均值为24.47%;岩屑含量7%~44%,平均值为18.94%(见表1)。云母含量较高,最多可达30.0%,平均值为5.14%。杂基平均含量为9.39%,以水云母为主,少量凝灰质和网状黏土。胶结物总含量为6.21%,主要为碳酸盐、硅质、伊利石、绿泥石等自生矿物。
图2 研究区长7段砂岩分类三角图
表1 研究区长7段砂岩薄片岩石组分及面孔率统计表
分区 样品
数量/个
碎屑组分含量/% 填隙物含量/% 面孔率/%
石英 长石 岩屑 云母 杂基 胶结物 长石
溶孔
岩屑
溶孔
胶结物
溶孔
粒间孔 总面
孔率
东北部 99 15.80~51.50/25.11 12.00~53.50/42.52 7.00~27.20/12.01 7.10 6.64 6.62 0.80 0.10 1.10 2.30
中部 145 11.00~56.50/25.10 7.00~57.53/35.10 7.00~41.01/14.01 7.67 10.21 7.92 0.68 0.10 1.10 2.00
南部 55 21.00~54.00/39.10 8.00~60.00/24.10 9.00~24.80/17.12 4.70 10.10 4.90 1.04 0.10 0.30 1.60
西部 65 16.00~70.00/33.08 7.30~57.00/24.22 7.20~44.00/24.32 4.56 8.15 5.67 1.01 0.30 0.20 3.30 4.90
西南部 568 15.80~51.50/40.16 12.00~53.50/19.08 8.10~27.20/20.88 4.31 9.68 5.89 0.96 0.10 0.10 0.70 2.00
平均值 36.45 24.47 18.94 5.14 9.39 6.21 0.91 0.10 0.08 0.95 2.19

注:“/”后为平均值

受周围物源区母岩影响,碎屑成分在平面上具有较强的分区性,表现为东北地区云母、长石碎屑含量高(见图3),长石含量平均值为42.52%,云母含量平均值为7.10%,岩石类型以长石砂岩、岩屑长石砂岩为主,而西南地区岩屑、石英含量高,云母含量低,平均值为4.31%,以岩屑长石砂岩和长石岩屑砂岩为主。
图3 研究区长7段长石(a)、云母(b)含量分布(资料来源于薄片统计)
X射线全岩衍射结果显示长7段砂岩斜长石含量为7.14%~36.10%,平均值为18.33%,钾长石含量为5.37%~17.98%,平均值为8.21%。不同地区长石含量不同,东北、中部、西部以及西南地区斜长石含量分别为31.35%,14.10%,12.01%,16.25%,而钾长石含量分别为9.76%,9.58%,6.16%,8.02%(见图4)。全岩测试的钾长石、斜长石含量与薄片统计长石含量分布趋势一致。
图4 研究区长7段斜长石、钾长石平均含量直方图

4 长7段砂岩中长石的成岩演化

薄片及扫描电镜观察显示长7段砂岩中长石有3类成岩现象:长石次生加大、长石被交代以及长石溶蚀。

4.1 长石次生加大及被交代

长石次生加大现象较少见,加大边与长石碎屑相比晶体更干净,未蚀变且不含包裹体,说明为成岩期产物,消光特征与碎屑长石可以保持一致(见图5a)也可相反(见图5b)。
图5 研究区长7段长石次生加大及被交代现象(Pl—斜长石;Kfs—钾长石)

(a)正9井,1 216.53 m,斜长石绢云母化,可见次生加大边,正交光;(b)正8井,1 178.50 m,长石次生加大,单偏光;(c)正8井,1 178.50 m,钾长石高岭土化,颗粒边缘微溶蚀,正交光;(d)胡218井,2 201.60 m,钾长石完全溶蚀,少量残余,之后被方解石胶结充填,单偏光;(e)环54井,2 647.83 m,钾长石被方解石部分交代,阴极发光;(f)宁29井,1 634.70 m,早期方解石交代钾长石,阴极发光

长石被交代主要是指长石被黏土以及碳酸盐矿物交代。前者表现为弱酸性条件下,钾长石高岭土化(见图5c)或斜长石的绢云母化,矿物表面雾化,与长石加大边呈鲜明对比(见图5a),说明黏土对长石的交代出现时间早于长石次生加大,可能为早成岩期产物。长石被碳酸盐矿物交代表现为长石被方解石部分或完全交代(见图5d图5f),在早期基底式碳酸盐胶结砂岩以及孔隙式胶结砂岩中均可见,说明方解石对长石的交代在整个成岩期都可能出现。

4.2 长石的溶蚀

4.2.1 长石溶孔特征

根据932个铸体薄片资料统计,长7段孔隙类型以溶孔和粒间孔为主,平均面孔率为2.19%,其中长石溶孔面孔率为0.91%(见图6a),贡献近一半的储集空间。不同类型长石溶蚀程度与特征不同,表现为钾长石较斜长石更易溶蚀。对本次新磨制的68个铸体薄片统计显示钾长石溶孔面孔率0~2.4%(见图6b),平均值为0.75%,斜长石溶孔面孔率0~0.8%,平均值为0.13%,偏光显微镜下钾长石的解理呈明显的阶梯状(见图7a),多为简单双晶(正长石)或格子状双晶(微斜长石)。钾长石溶蚀之后骨架残余,孔隙大,赋存烃类被洗出后可充注红色树脂(见图7a图7b),而斜长石(主要为钠长石)溶孔小,连通性差,易残余烃类(见图7c),说明长石溶蚀出现于埋藏期烃类充注之前。
图6 研究区长7段砂岩不同孔隙面孔率(a)及不同类型长石溶孔面孔率(b)统计图
图7 研究区长7段砂岩不同类型长石溶蚀现象薄片照片(Ab—钠长石;Mic—微斜长石)

(a)西23井,1 973.79 m,钾长石溶蚀,溶孔充填红色树脂,单偏光;(b)西23井,1 973.79 m,钾长石溶蚀,溶蚀之后呈骨架残余,相邻微斜长石未溶,单偏光;(c)西23井,1 973.79 m,斜长石(主要为钠长石)部分溶蚀,溶孔中充填烃类,单偏光;(d)与图a相同视域,正交光;(e)与图b相同视域,微斜长石呈格子状双晶,正交光;(f)与图c相同视域,钠长石呈聚片双晶,正交光;(g)宁28井,1 689.33 m,钾长石溶蚀残余骨架,相邻高岭土化钾长石未溶,单偏光;(h)与图g相同视域,正交光;(i)宁28井,1 689.33 m,长石高岭土化,未溶蚀,单偏光(左)及正交偏光(右)

扫描电镜下,钾长石溶孔也明显多于斜长石。钾长石碎屑的溶孔发育程度高于相邻的钠长石碎屑(见图8a);长石碎屑中钾长石与钠长石呈双晶接触,钾长石一侧发育大小不等的溶孔,而相邻黑云母的钠长石不发育孔隙(见图8b);钠长石碎屑中孔隙的分布仍然与钾长石固溶体密切相关,钾长石中的孔隙明显多于基质钠长石(见图8c图8d)。此外,钾长石中正长石较微斜长石更易溶,常见正长石大部分溶蚀,而相邻微斜长石未溶蚀或少部分溶蚀(见图7e)。干净未蚀变的长石溶蚀程度高(见图7d图7f),长石高岭土化或绢云母化之后往往保存完整,而相邻未蚀变长石则易发生溶蚀(见图7g图7i)。
图8 研究区长7段砂岩不同类型长石扫描电镜照片及能谱曲线(①—⑧为能谱探测点)

(a)山110井,1 944.9 m,钾长石(浅灰色)微孔的密度、数量高于相邻钠长石(灰色);(b)山110井,1 944.9 m,钾长石与钠长石呈双晶接触,靠近接触界限的钾长石发育数个大小不等的溶孔,相邻黑云母的钠长石不发育孔隙;(c)山110井,1 498.6 m,钠长石中孔隙分布与钾长石固溶体分布相关;(d)山110井,1 498.6 m,钾长石孔隙多于钠长石

4.2.2 长石溶解过程

长石被有机酸溶蚀是长7段砂岩次生孔隙形成的主要途径[5-6]。在此过程中,长石溶蚀析出SiO2,沉淀石英、高岭石,如果地层流体富含钾离子,则会形成伊利石[34]。镜下常见长石溶孔内或附近沉淀自生石英与伊利石(见图9a)或高岭石共生现象(见图9b图9c)。
图9 研究区长7段砂岩长石溶蚀产物扫描电镜照片(Cal—方解石;I—伊利石;K—高岭石;Qtz—石英)

(a)里150井,2 110.00 m,溶孔中充填自生石英和伊利石;(b)安72井,2 422.54 m,钾长石溶蚀,溶孔中充填石英;(c)胡211井,2 300.39 m,钾长石溶蚀形成次生孔,粒间孔分布高岭石;(d)庄144井,1 809.40 m,孔隙被钠长石和方解石部分充填;(e)耿170井,2 572.00 m,溶孔中分布自生钠长石和伊利石;(f)环87井,2 463.04 m,自生短板状钠长石、伊利石分布于次生孔隙中

各类长石的钠长石化是长石溶孔形成的另一个途径。以斜长石为例,斜长石是钠长石和钙长石的类质同象混合物,在钠长石化时,斜长石中的Ca2+被Na+替换形成钠长石,Ca2+析出,如果进一步沉淀可形成碳酸盐胶结物,最终形成自生钠长石晶体与方解石或白云石的组合[35-39](见图9d)。
钾长石发生钠长石化时,钾长石中的K+被Na+替换,形成钠长石,析出的K+可以在更高温度下(100~130 ℃)进一步与高岭石反应,形成自生伊利石,最终形成钠长石和伊利石矿物组合[40](见图9e图9f)。

4.3 长石溶孔分布

薄片面孔率统计显示不同物源沉积区长石溶孔差异大(见图10a),南部、西南以及西部长石的溶孔较高,分别为1.04%,0.96%,1.01%,其次东北地区0.80%,中部混源区长石溶孔发育程度最低,面孔率平均值为0.68%(见表1)。长石溶孔分布与长7段优质烃源岩最厚区以及长石含量最高区的分布有一定错位(见图3a图10b),与云母含量分布呈相反趋势(见图3b),说明长石的溶蚀可能受云母的影响。
图10 研究区长7段长石溶孔面孔率(a)及暗色泥岩厚度(b)分布

4.4 长石的溶蚀实验

为进一步了解有机酸、云母对钾长石溶蚀的影响,开展不同矿物组合与3种有机酸的溶蚀实验,并测定不同反应时间溶液pH数据。根据酸碱度计算公式计算出实验样品中氢离子的物质的量浓度(见表2图11)。
表2 不同矿物组合溶蚀实验pH值变化统计表
矿物 有机酸 pH值 氢离子浓度/
(10−3 mol•L−1)
第1天 第2天 第3天 第4天 第5天 第6天 第7天 第8天 第9天
甲酸 1.44 1.95 2.00 2.08 2.16 2.26 2.20 2.26 2.26 30.81
黑云母 乙酸 1.96 2.65 2.77 2.89 3.05 3.10 3.16 3.19 3.19 10.32
丙酸 1.85 2.60 2.70 2.80 3.00 3.01 3.12 3.13 3.16 13.41
甲酸 1.44 1.96 1.94 2.04 2.08 2.14 2.16 2.17 2.18 29.70
白云母 乙酸 1.96 2.55 2.56 2.64 2.75 2.70 2.75 2.73 2.74 9.15
丙酸 1.85 2.58 2.65 2.71 2.83 2.85 2.86 2.89 2.92 12.88
甲酸 1.44 1.90 2.02 2.03 2.07 2.33 2.25 2.33 2.39 28.43
钾长石 乙酸 1.96 2.60 2.78 2.86 2.94 2.96 2.94 3.08 3.08 10.07
丙酸 1.85 2.53 2.64 2.77 2.78 2.83 2.79 2.83 2.90 12.69
甲酸 1.44 1.99 2.16 2.27 2.27 2.31 2.39 2.42 2.43 32.13
黑云母-钾长石 乙酸 1.96 2.87 2.97 3.10 3.08 3.18 3.19 3.22 3.22 10.19
丙酸 1.85 2.74 2.85 2.90 3.02 3.20 3.09 3.13 3.19 13.20
甲酸 1.44 1.96 2.05 2.15 2.11 2.28 2.28 2.28 2.28 28.15
白云母-钾长石 乙酸 1.96 2.69 2.77 2.86 2.89 2.95 2.89 2.97 2.97 9.71
丙酸 1.85 2.63 2.71 2.80 2.83 2.96 2.90 2.91 2.92 12.74
图11 不同矿物组合引起的有机酸pH值随时间变化曲线
实验结果显示:①整个实验过程中,所有实验组前2天pH值变化较明显,后7天pH值基本趋于稳定,说明反应趋于平衡。②甲酸酸性最强,与不同矿物或组合反应程度最高,氢离子浓度变化大,均超过28× 10−3 mol/L,明显高于乙酸和丙酸。③黑云母与甲酸、乙酸、丙酸的反应程度高于长石,白云母与甲酸、丙酸的反应略高于长石,但与乙酸反应程度略低于长石。

5 长石溶蚀作用的控制因素

5.1 长石含量及类型对溶蚀的影响

长7段砂岩薄片统计结果表明长石含量与长石溶孔的面孔率相关性较差(见图12),可能原因是长石的溶蚀程度较低,平均面孔率为0.85%,而薄片统计长石含量平均值为24.47%,且全岩衍射分析中钾长石含量平均值为8.21%,已经远满足溶蚀需求,因此长石含量并不是控制长石溶蚀的主要因素。
图12 研究区长石含量与长石溶孔面孔率相关关系图
长石类型则对长7段砂岩溶蚀具有明显的影响,表现为:①钾长石较斜长石更易溶蚀;②钾长石中正长石较微斜长石更易溶;③未蚀变长石较高岭土或绢云母化的长石更易溶蚀。不同类型长石溶蚀程度存在较大差异与长石成分有关。能谱分析显示长7段的斜长石几乎不含钙,多为稳定的钠长石。随着深度、温度增加,钠长石的稳定性更高,而钾长石更不稳定[36],同时钾长石的溶蚀前后的体积变化要大于钙长石和钠长石[41], 因此钾长石的溶蚀对砂岩孔隙的形成更为重要。
在同生期或早成岩期,长石易高岭土化或绢云母化[42-43],此类长石在晚期也没有被溶蚀,主要原因可能是长石的易溶组分在早期交代时首先被消耗,加之高岭石或伊利石本身也是埋藏期长石溶蚀的产物之一[18,43 -46],因此早期高岭土化或绢云母化会抑制晚期溶蚀反应的进行。

5.2 成熟烃源岩排出的有机酸与溶孔的关系

大气淡水以及有机酸普遍被认为是颗粒溶蚀的主要介质[47-49]。研究区内长7段半深湖—深湖相的重力流砂岩沉积水体深,不易暴露,埋藏期整体构造稳定,断层发育少,不利于大气淡水淋滤[6],且长石溶孔保存较好,少见压塌变形等特征(见图7),因此推测长石溶蚀主要与埋藏期有机酸有关。
长7段发育厚度大、有机质丰度高的黑色页岩,呈北西—南东向分布于姬塬—正宁一带,厚度超过30 m(见图10b)。空间上,半深湖—深湖的重力流砂岩与优质烃源岩互层共生,烃源岩在成熟过程中排出的酸性水可直接进入相邻砂体中进行溶蚀改造,具有天然的溶蚀条件,这也是长7段细粒富含杂基的砂岩仍普遍发育溶蚀孔隙的主要原因[4,6]。但另一方面,长7段优质烃源岩最发育地区与砂岩长石溶孔发育区分布并不一致。如图10a图10b以及表1所示,中部华池一带烃源岩最发育,厚度一般大于20 m,同时长石含量高,平均值为35.1%,但该地区长石溶孔仅0.68%;西南部宁县—庆城一带烃源岩减薄,长石含量减少(平均仅为19.08%),但该区长石溶孔含量反而增加,平均0.96%,说明除烃源岩外,长石溶蚀还受其他因素影响。

5.3 云母对长石溶蚀的影响

云母矿物在酸性溶液中会发生蚀变或者溶蚀作用,并析出K+、Mg2+、Fe3+和Al3+,提高孔隙水的pH值[19,50 -52],这个过程会抑制长石的溶蚀。
溶蚀实验也显示,云母、长石在蚀变过程中均会消耗有机酸,根据实验结果换算,每克黑云母对甲酸、乙酸和丙酸3种有机酸的消耗分别为34.23×10−3,11.47×10−3,14.60×10−3 mol/L;每克白云母对甲酸、乙酸和丙酸3种有机酸的消耗分别为33.00×10−3,10.17×10−3,14.31×10−3 mol/L;每克长石对甲酸、乙酸和丙酸3种有机酸的消耗分别为5.69×10−3,2.01×10−3,2.54×10−3 mol/L。从单位质量的消耗量来看,黑云母、白云母明显高于长石,说明云母对长石的溶蚀具有明显的缓冲作用。
云母对长石溶蚀的另一个潜在影响是云母矿物蚀变后膨胀充填孔隙或压实形成假杂基,降低孔喉的渗流能力[53],从而影响有机酸进入砂岩溶蚀长石。
长7段砂岩云母与长石溶孔的分布特征与本次实验结果一致(见表1)。中部华池一带,虽然烃源岩最发育,长石含量高,但云母含量丰富,平均含量为7.67%,砂岩的长石溶孔面孔率要明显低于西南地区的砂岩(云母平均4.31%),说明云母对长石溶蚀的抑制也体现在了宏观尺度。
长期以来,储集层成因机理的关注重点主要集中于溶蚀流体类型(大气水还是有机酸或CO2)以及成岩体系的封闭性[7,47,53 -55],而砂岩自身组分对溶蚀流体的竞争消耗问题较少被讨论。
实验显示,相同质量的云母对有机酸的消耗能力明显大于长石矿物(4~5倍),因此在实际情况中,即使砂岩的云母含量较低,其对有机酸的消耗以及长石矿物溶解的影响也不能忽略。长7段砂岩中长石溶孔与云母含量的分布关系也证明了云母矿物对溶蚀孔隙的潜在影响,研究次生孔隙分布时应该考虑云母-长石竞争耗酸的影响。由于云母在碎屑岩中广泛存在,尤其在半深湖—深湖相重力流砂岩中更易富集,该认识对分析与评价深水沉积砂岩储集层具有一定的意义。

6 结论

长7段砂岩长石主要经历3类成岩过程:长石次生加大、长石被黏土以及方解石交代、溶蚀作用。有机酸溶蚀以及钠长石化过程中均可发生长石溶蚀,其中有机酸溶蚀是主要的溶孔形成途径。
不同类型长石的溶蚀程度存在差异,钾长石较斜长石更易溶蚀,钾长石中正长石较微斜长石更易溶,未蚀变的长石较早期高岭土或绢云母化的长石更易溶蚀。
溶蚀实验显示云母对有机酸的消耗能力明显强于长石,云母的存在会抑制长石溶蚀。平面上长7段长石溶孔发育区主要分布于研究区西南部低云母区,而云母含量较高的中部地区、东北部长石溶孔则明显减少。
长7段重力流砂岩长石溶蚀程度是有机酸、长石类型、长石早期蚀变程度以及云母碎屑含量多因素影响的结果。
[1]
姚泾利, 邓秀芹, 赵彦德, 等. 鄂尔多斯盆地延长组致密油特征[J]. 石油勘探与开发, 2013, 40(2): 150-158.

YAO Jingli, DENG Xiuqin, ZHAO Yande, et al. Characteristics of tight oil in Triassic Yanchang Formation, Ordos Basin[J]. Petroleum Exploration and Development, 2013, 40(2): 150-158.

DOI

[2]
田建锋, 高永利, 张蓬勃, 等. 鄂尔多斯盆地合水地区长7致密油储层伊利石成因[J]. 石油与天然气地质, 2013, 34(5): 700-707.

TIAN Jianfeng, GAO Yongli, ZHANG Pengbo, et al. Genesis of illite in Chang 7 tight oil reservoir in Heshui area, Ordos Basin[J]. Oil & Gas Geology, 2013, 34(5): 700-707.

[3]
祝海华, 钟大康, 姚泾利, 等. 鄂尔多斯西南地区长7段致密油储层微观特征及成因机理[J]. 中国矿业大学学报, 2014, 43(5): 853-863.

ZHU Haihua, ZHONG Dakang, YAO Jingli, et al. Microscopic characteristics and formation mechanism of Upper Triassic Chang 7 tight oil reservoir in the southwest Ordos Basin[J]. Journal of China University of Mining & Technology, 2014, 43(5): 853-863.

[4]
曹江骏, 陈朝兵, 程皇辉, 等. 成岩作用对深水致密砂岩储层微观非均质性的影响: 以鄂尔多斯盆地合水地区长7油层组为例[J]. 沉积学报, 2021, 39(4): 1031-1046.

CAO Jiangjun, CHEN Chaobing, CHENG Huanghui, et al. Effect of diagenesis on microheterogeneity of deepwater tight sandstone reservoirs: A case study from the Triassic Chang 7 oil-bearing formation in Heshui area, Ordos Basin, NW China[J]. Acta Sedimentologica Sinica, 2021, 39(4): 1031-1046.

[5]
ZHU H H, ZHONG D K, ZHANG T S, et al. Diagenetic controls on the reservoir quality of fine-grained “tight” sandstones: A case study based on NMR analysis[J]. Energy & Fuels, 2018, 32(2): 1612-1623.

DOI

[6]
LAI J, WANG G W, RAN Y, et al. Impact of diagenesis on the reservoir quality of tight oil sandstones: The case of Upper Triassic Yanchang Formation Chang 7 oil layers in Ordos Basin, China[J]. Journal of Petroleum Science and Engineering, 2016, 145: 54-65.

DOI

[7]
SURDAM R C, BOESE S W, CROSSEY L J. The chemistry of secondary porosity[M]//MCDONALD D A, SURDAM R C. Clastic Diagenesis. Tulsa: American Association of Petroleum Geologists, 1984: 127-150.

[8]
RONALD C S, CROSSEY L J, HAGEN E S, et al. Organic-inorganic interactions and sandstone diagenesis[J]. AAPG Bulletin, 1989, 73(1): 1-23.

[9]
SURDAM R C, JIAO Z S, MACGOWAN D B. Redox reactions involving hydrocarbons and mineral oxidants: A mechanism for significant porosity enhancement in sandstones[J]. AAPG Bulletin, 1993, 77(9): 1509-1518.

[10]
STOESSELL R K, PITTMAN E D. Secondary porosity revisited; the chemistry of feldspar dissolution by carboxylic acids and anions[J]. AAPG Bulletin, 1990, 74(12): 1795-1805.

[11]
李超正, 柳广弟, 曹喆, 等. 鄂尔多斯盆地陇东地区长7段致密砂岩微孔隙特征[J]. 天然气地球科学, 2016, 27(7): 1235-1247.

LI Chaozheng, LIU Guangdi, CAO Zhe, et al. The study of Chang 7 tight sandstone micro pore characteristics in Longdong area, Ordos Basin[J]. Natural Gas Geoscience, 2016, 27(7): 1235-1247.

[12]
祝海华, 钟大康, 姚泾利, 等. 碱性环境成岩作用及对储集层孔隙的影响: 以鄂尔多斯盆地长7段致密砂岩为例[J]. 石油勘探与开发, 2015, 42(1): 51-59.

ZHU Haihua, ZHONG Dakang, YAO Jingli, et al. Alkaline diagenesis and its effects on reservoir porosity: A case study of Upper Triassic Chang 7 tight sandstones in Ordos Basin, NW China[J]. Petroleum Exploration and Development, 2015, 42(1): 51-59.

[13]
钟大康, 祝海华, 孙海涛, 等. 鄂尔多斯盆地陇东地区延长组砂岩成岩作用及孔隙演化[J]. 地学前缘, 2013, 20(2): 61-68.

ZHONG Dakang, ZHU Haihua, SUN Haitao, et al. Diagenesis and porosity evolution of sandstones in Longdong area, Ordos Basin[J]. Earth Science Frontiers, 2013, 20(2): 61-68.

[14]
MA Z L, TAN J Q, ZHENG L J, et al. Simulation experiment of fluid-feldspar sandstone interactions and their implications for tight oil and gas exploration of the Yanchang Formation, Ordos Basin, China[J]. Marine and Petroleum Geology, 2022, 142: 105737.

DOI

[15]
杨飞. 烃源岩热演化过程中有机酸对砂岩储层的溶蚀改造作用: 以鄂尔多斯盆地三叠系延长组为例[D]. 北京: 中国科学院大学, 2019.

YANG Fei. Dissolution and transformation of sandstone reservoirs by organic acids during the thermal evolution of hydrocarbon source rocks: A case study of Triassic Yanchang Formation in Ordos Basin[D]. Beijing: University of Chinese Academy of Sciences, 2019.

[16]
FU Y, LUO J L, SHI X F, et al. Implications of lithofacies and diagenetic evolution for reservoir quality: A case study of the Upper Triassic Chang 6 tight sandstone, southeastern Ordos Basin, China[J]. Journal of Petroleum Science and Engineering, 2022, 218: 111051.

DOI

[17]
梁晓伟, 牛小兵, 李卫成, 等. 鄂尔多斯盆地油田水化学特征及地质意义[J]. 成都理工大学学报(自然科学版), 2012, 39(5): 502-508.

LIANG Xiaowei, NIU Xiaobing, LI Weicheng, et al. Chemical character of oil-field water in Ordos Basin and geological significance[J]. Journal of Chengdu University of Technology (Science & Technology Edition), 2012, 39(5): 502-508.

[18]
NGUYEN D T, HORTON R A, Jr, KAESS A B. Diagenesis, plagioclase dissolution and preservation of porosity in Eocene and Oligocene sandstones at the Greeley oil field, southern San Joaquin Basin, California, USA[J]. Geological Society, London, Special Publications, 2018, 435(1): 265-282.

DOI

[19]
BOLES J R, JOHNSON K S. Influence of mica surfaces on pore-water pH[J]. Chemical Geology, 1984, 43(3/4): 303-317.

DOI

[20]
黄思静, 黄可可, 冯文立, 等. 成岩过程中长石、高岭石、伊利石之间的物质交换与次生孔隙的形成: 来自鄂尔多斯盆地上古生界和川西凹陷三叠系须家河组的研究[J]. 地球化学, 2009, 38(5): 498-506.

HUANG Sijing, HUANG Keke, FENG Wenli, et al. Mass exchanges among feldspar, kaolinite and illite and their influences on secondary porosity formation in clastic diagenesis: A case study on the Upper Paleozoic, Ordos Basin and Xujiahe Formation, western Sichuan Depression[J]. Geochimica, 2009, 38(5): 498-506.

[21]
THOMSON A. Pressure solution and porosity[M]//IRELAND H A. Silica in Sediments. Broken Arrow: SEPM Society for Sedimentary Geology, 1959: 92-110.

[22]
MORAD S. Mica alteration reactions in Jurassic reservoir sandstones from the Haltenbanken area, offshore Norway[J]. Clays and Clay Minerals, 1990, 38(6): 584-590.

DOI

[23]
HEALD M T. Stylolites in sandstones[J]. The Journal of Geology, 1955, 63(2): 101-114.

DOI

[24]
OELKERS E H, BJORKUM P A, MURPHY W M. The mechanism of porosity reduction, stylolite development and quartz cementation in North Sea sandstones[C]// KHARAKA Y K, MAEST A S. Proceedings of the 7th International Symposium on Water-Rock Interaction. Rotterdam: A. A. Balkema, 1992: 1183-1186.

[25]
钟大康, 周立建, 孙海涛, 等. 储层岩石学特征对成岩作用及孔隙发育的影响: 以鄂尔多斯盆地陇东地区三叠系延长组为例[J]. 石油与天然气地质, 2012, 33(6): 890-899.

ZHONG Dakang, ZHOU Lijian, SUN Haitao, et al. Influences of petrologic features on diagenesis and pore development: An example from the Triassic Yanchang Formation in Longdong area, Ordos Basin[J]. Oil & Gas Geology, 2012, 33(6): 890-899.

[26]
张家强, 李士祥, 李宏伟, 等. 鄂尔多斯盆地延长组7油层组湖盆远端重力流沉积与深水油气勘探: 以城页水平井区长73小层为例[J]. 石油学报, 2021, 42(5): 570-587.

DOI

ZHANG Jiaqiang, LI Shixiang, LI Hongwei, et al. Gravity flow deposits in the distal lacustrine basin of the 7th reservoir group of Yanchang Formation and deepwater oil and gas exploration in Ordos Basin: A case study of Chang 73 sublayer of Chengye horizontal well region[J]. Acta Petrolei Sinica, 2021, 42(5): 570-587.

DOI

[27]
姜福杰, 贾承造, 庞雄奇, 等. 鄂尔多斯盆地上古生界全油气系统成藏特征与天然气富集地质模式[J]. 石油勘探与开发, 2023, 50(2): 250-261.

DOI

JIANG Fujie, JIA Chengzao, PANG Xiongqi, et al. Upper Paleozoic total petroleum system and geological model of natural gas enrichment in Ordos Basin, NW China[J]. Petroleum Exploration and Development, 2023, 50(2): 250-261.

[28]
王恩泽, 吴忠宝, 宋彦辰, 等. 鄂尔多斯盆地庆城地区长7段致密砂岩成岩演化与孔隙结构特征[J]. 北京大学学报(自然科学版), 2022, 58(2): 249-260.

WANG Enze, WU Zhongbao, SONG Yanchen, et al. Pore structure and diagenetic evolution features of member-7 of Yanchang formation in Qingcheng area, Ordos Basin, NW China[J]. Acta Scientiarum Naturalium Universitatis Pekinensis, 2022, 58(2): 249-260.

[29]
吕奇奇, 付金华, 罗顺社, 等. 坳陷湖盆重力流水道-朵叶复合体沉积特征及模式: 以鄂尔多斯盆地西南部三叠系延长组长7段为例[J]. 石油勘探与开发, 2022, 49(6): 1143-1156.

DOI

LYU Qiqi, FU Jinhua, LUO Shunshe, et al. Sedimentary characteristics and model of gravity flow channel-lobe complex in a depression lake basin: A case study of Chang 7 Member of Triassic Yanchang Formation in southwestern Ordos Basin, NW China[J]. Petroleum Exploration and Development, 2022, 49(6): 1143-1156.

[30]
王子野, 毛治国, 袁选俊, 等. 鄂尔多斯盆地西南部三叠系延长组长9段事件沉积类型、特征及地质意义[J]. 石油勘探与开发, 2023, 50(3): 516-529.

DOI

WANG Ziye, MAO Zhiguo, YUAN Xuanjun, et al. Types, characteristics and geological significance of event deposits of Chang 9 Member of Triassic Yanchang Formation in southwestern Ordos Basin, NW China[J]. Petroleum Exploration and Development, 2023, 50(3): 516-529.

[31]
钟大康. 致密油储层微观特征及其形成机理: 以鄂尔多斯盆地长6—长7段为例[J]. 石油与天然气地质, 2017, 38(1): 49-61.

ZHONG Dakang. Micro-petrology, pore throat characteristics and genetic mechanism of tight oil reservoirs: A case from the 6th and 7th members of Triassic Yanchang Formation in the Ordos Basin[J]. Oil & Gas Geology, 2017, 38(1): 49-61.

[32]
冯旭, 刘洛夫, 窦文超, 等. 鄂尔多斯盆地西南部长7和长6-3致密砂岩成岩作用与成岩相[J]. 成都理工大学学报(自然科学版), 2016, 43(4): 476-486.

FENG Xu, LIU Luofu, DOU Wenchao, et al. Diagenesis and diagenetic facies of the Chang 7 and Chang 6-3 tight sandstone reservoirs in southwestern Ordos Basin, China[J]. Journal of Chengdu University of Technology(Science & Technology Edition), 2016, 43(4): 476-486.

[33]
杨华, 窦伟坦, 刘显阳, 等. 鄂尔多斯盆地三叠系延长组长7沉积相分析[J]. 沉积学报, 2010, 28(2): 254-263.

YANG Hua, DOU Weitan, LIU Xianyang, et al. Analysis on sedimentary facies of member 7 in Yanchang Formation of Triassic in Ordos Basin[J]. Acta Sedimentologica Sinica, 2010, 28(2): 254-263.

[34]
罗瑞, 查明, 何皓, 等. 有机酸溶蚀作用对泥页岩储层孔隙结构的影响[J]. 中国石油大学学报(自然科学版), 2017, 41(2): 49-59.

LUO Rui, ZHA Ming, HE Hao, et al. Effect of mineral dissolution by organic acids on pore structure of shale reservoir[J]. Journal of China University of Petroleum(Edition of Natural Science), 2017, 41(2): 49-59.

[35]
黄可可, 黄思静, 佟宏鹏, 等. 长石溶解过程的热力学计算及其在碎屑岩储层研究中的意义[J]. 地质通报, 2009, 28(4): 474-482.

HUANG Keke, HUANG Sijing, TONG Hongpeng, et al. Thermodynamic calculation of feldspar dissolution and its significance on research of clastic reservoir[J]. Geological Bulletin of China, 2009, 28(4): 474-482.

[36]
BOLES J R. Active albitization of plagioclase, Gulf Coast Tertiary[J]. American Journal of Science, 1982, 282(2): 165-180.

DOI

[37]
MORAD S, BERGAN M, KNARUD R, et al. Albitization of detrital plagioclase in Triassic reservoir sandstones from the Snorre Field, Norwegian North Sea[J]. Journal of Sedimentary Research, 1990, 60(3): 411-425.

[38]
MORAD S, KETZER J M, DE ROS L F. Spatial and temporal distribution of diagenetic alterations in siliciclastic rocks: Implications for mass transfer in sedimentary basins[J]. Sedimentology, 2000, 47: 95-120.

DOI

[39]
LAND L S. Frio sandstone diagenesis, Texas Gulf Coast: A regional isotopic study[M]//MCDONALD D A, SURDAM R C. Clastic Diagenesis. Tulsa: American Association of Petroleum Geologists, 1984: 47-62.

[40]
叶瑛, 沈忠悦, 郑丽波, 等. 塔里木库车坳陷中新生界储层砂岩成岩期钠长石化[J]. 高校地质学报, 1999, 5(3): 251-259.

YE Ying, SHEN Zhongyue, ZHENG Libo, et al. Diagenetic albitization in the Mesozoic and Cenozoic reservoir sandstones from Kuche Depression, north Tarim, Xinjiang, China[J]. Geological Journal of China Universities, 1999, 5(3): 251-259.

[41]
SAIGAL G C, WALTON E K. On the occurrence of displacive calcite in lower Old Red Sandstone of Carnoustie, eastern Scotland[J]. Journal of Sedimentary Research, 1988, 58(1): 131-135.

[42]
赵国泉, 李凯明, 赵海玲, 等. 鄂尔多斯盆地上古生界天然气储集层长石的溶蚀与次生孔隙的形成[J]. 石油勘探与开发, 2005, 32(1): 53-55.

ZHAO Guoquan, LI Kaiming, ZHAO Hailing, et al. Feldspar corrosion and secondary pore formation in the Upper Paleozoic gas reservoir, Ordos Basin[J]. Petroleum Exploration and Development, 2005, 32(1): 53-55.

[43]
MORAD S, KETZER J M, DE ROS L F. Linking diagenesis to sequence stratigraphy: An integrated Tool for understanding and predicting reservoir quality distribution[M]//MORAD S, KETZER J M, DE ROS L F. Linking Diagenesis to Sequence Stratigraphy. Chichester: John Wiley & Sons, Inc., 2013: 1-36.

[44]
WORDEN R H, BURLEY S D. Sandstone diagenesis: The evolution of sand to stone[M]//BURLEY S D, WORDEN R H. Sandstone Diagenesis:Recent and Ancient. Gent: International Association of Sedimentologists, 2003: 1-44.

[45]
THYNE G, BOUDREAU B P, RAMM M, et al. Simulation of potassium feldspar dissolution and illitization in the Statfjord Formation, north Sea[J]. AAPG Bulletin, 2001, 85(4): 621-635.

[46]
WALDERHAUG O, BJØRKUM P A, AASE N E. Kaolin-coating of stylolites, effect on quartz cementation and general implications for dissolution at mineral interfaces[J]. Journal of Sedimentary Research, 2009, 76(2): 234-243.

DOI

[47]
TAYLOR T R, GILES M R, HATHON L A, et al. Sandstone diagenesis and reservoir quality prediction: Models, myths, and reality[J]. AAPG Bulletin, 2010, 94(8): 1093-1132.

DOI

[48]
MANSURBEG H, DE ROS L F, MORAD S, et al. Meteoric-water diagenesis in Late Cretaceous canyon-fill turbidite reservoirs from the Espírito Santo Basin, eastern Brazil[J]. Marine and Petroleum Geology, 2012, 37(1): 7-26.

DOI

[49]
BJØRLYKKE K. Relationships between depositional environments, burial history and rock properties. Some principal aspects of diagenetic process in sedimentary basins[J]. Sedimentary Geology, 2014, 301: 1-14.

DOI

[50]
WORDEN R H, ARMITAGE P J, BUTCHER A R, et al. Petroleum reservoir quality prediction: Overview and contrasting approaches from sandstone and carbonate communities[J]. Geological Society, London, Special Publications, 2018, 435(1): 1-31.

DOI

[51]
TURPAULT M P, TROTIGNON L. The dissolution of biotite single crystals in dilute HNO3 at 24°C: Evidence of an anisotropic corrosion process of micas in acidic solutions[J]. Geochimica et Cosmochimica Acta, 1994, 58(13): 2761-2775.

DOI

[52]
EHRENBERG S N, JAKOBSEN K G. Plagioclase dissolution related to biodegradation of oil in Brent Group sandstones (Middle Jurassic) of Gullfaks Field, northern North Sea[J]. Sedimentology, 2001, 48(4): 703-721.

DOI

[53]
CAPPELLI C, VAN DRIESSCHE A E S, CAMA J, et al. Alteration of trioctahedral micas in the presence of inorganic and organic acids[J]. Applied Clay Science, 2023, 238: 106923.

DOI

[54]
MANSURBEG H, MORAD S, SALEM A, et al. Diagenesis and reservoir quality evolution of Palaeocene deep-water, marine sandstones, the Shetland-Faroes Basin, British continental shelf[J]. Marine and Petroleum Geology, 2008, 25(6): 514-543.

DOI

[55]
THOMPSON A B. Perspectives on metamorphic processes and fluids[J]. Elements, 2010, 6(3): 142-143.

文章导航

/