碳中和新能源新领域

原油沥青质含量对纳米颗粒-十二烷基硫酸钠发泡二氧化碳泡沫稳定性的影响

  • SADEGHI Hossein , 1 ,
  • KHAZ'ALI Ali Reza , 1, 2 ,
  • MOHAMMADI Mohsen 1
展开
  • 1 伊斯法罕理工大学化学工程系,伊斯法罕 84156-83111,伊朗
  • 2 丹麦技术大学丹麦海洋工程技术中心,灵比 2800,丹麦
KHAZ'ALI Ali Reza(1985-),男,伊朗人,博士,丹麦技术大学丹麦海洋工程技术中心,主要从事化学工程方面的研究。地址:Danish Offshore Technology Centre (DTU Offshore), Elektrovej 375, Kgs. Lyngby, Denmark。E-mail:

SADEGHI Hossein(1992-),男,伊朗人,伊斯法罕理工大学化学工程系在读硕士,主要从事石油工程方面的研究。地址:Department of Chemical Engineering, Isfahan University of Technology, Isfahan 84156-83111, Iran。E-mail:

Copy editor: 刘恋

收稿日期: 2023-07-10

  修回日期: 2023-12-21

  网络出版日期: 2024-01-23

Experimental investigation of the effects of oil asphaltene content on CO2 foam stability in the presence of nanoparticles and sodium dodecyl sulfate

  • SADEGHI Hossein , 1 ,
  • KHAZ'ALI Ali Reza , 1, 2 ,
  • MOHAMMADI Mohsen 1
Expand
  • 1 Department of Chemical Engineering, Isfahan University of Technology, Isfahan 84156-83111, Iran
  • 2 Danish Offshore Technology Centre (DTU Offshore), Elektrovej 375, 2800 Kgs. Lyngby, Denmark

Received date: 2023-07-10

  Revised date: 2023-12-21

  Online published: 2024-01-23

摘要

采用十二烷基硫酸钠(SDS)表面活性剂和SiO2纳米颗粒作为发泡体系,在不同原油沥青质含量下进行泡沫稳定性实验,测量CO2泡沫半衰期;采用扫描电子显微图像、紫外分光光度法测试和Zeta电位测量,分析沥青质降低CO2泡沫稳定性的机理。研究表明:当合成油与发泡体系质量比为1∶9时,合成油沥青质质量分数从0增至15%,SDS稳定泡沫半衰期从751 s减少至239 s,SDS-SiO2稳定泡沫半衰期从912 s缩短至298 s;当合成油与发泡体系质量比为2∶8时,随着沥青质质量分数增大,SDS稳定泡沫半衰期从526 s缩短至171 s,SDS-SiO2稳定泡沫半衰期从660 s缩短至205 s。由于沥青质与SDS和SiO2纳米颗粒在水相中的相互作用,Zeta电位绝对值减小,颗粒表面电荷降低,导致薄液膜两侧界面之间的排斥力减小,从而破坏泡沫稳定性。

本文引用格式

SADEGHI Hossein , KHAZ'ALI Ali Reza , MOHAMMADI Mohsen . 原油沥青质含量对纳米颗粒-十二烷基硫酸钠发泡二氧化碳泡沫稳定性的影响[J]. 石油勘探与开发, 2024 , 51(1) : 212 -222 . DOI: 10.11698/PED.20230348

Abstract

Foam stability tests were performed using sodium dodecyl sulfate (SDS) surfactant and SiO2 nanoparticles as foaming system at different asphaltene concentrations, and the half-life of CO2 foam was measured. The mechanism of foam stability reduction in the presence of asphaltene was analyzed by scanning electron microscope (SEM), UV adsorption spectrophotometric concentration measurement and Zeta potential measurement. When the mass ratio of synthetic oil to foam-formation suspension was 1∶9 and the asphaltene mass fraction increased from 0 to 15%, the half-life of SDS-stabilized foams decreased from 751 s to 239 s, and the half-life of SDS/silica-stabilized foams decreased from 912 s to 298 s. When the mass ratio of synthetic oil to foam-formation suspension was 2∶8 and the asphaltene mass fraction increased from 0 to 15%, the half-life of SDS-stabilized foams decreased from 526 s to 171 s, and the half-life of SDS/silica-stabilized foams decreased from 660 s to 205 s. In addition, due to asphaltene-SDS/silica interaction in the aqueous phase, the absolute value of Zeta potential decreases, and the surface charges of particles reduce, leading to the reduction of repulsive forces between two interfaces of thin liquid film, which in turn, damages the foam stability.

0 引言

随着全球能源需求不断增长及石油产量逐步降低,提高采收率技术受到极大的关注。注气是一种广泛应用的提高采收率技术,尤其是CO2驱油技术成本低、潜力大、环境效益好,应用前景广阔[1-2]。然而,气体在多孔介质中具有很强的流动性,不利的流度比可能降低驱油效率[3-4]。注入泡沫可以有效地控制流度,从而改善注气驱油的开发效果[5]。泡沫是气体在连续液相中的分散体,气泡之间被薄液膜隔开[6-7]。为了改善泡沫性能,可以添加表面活性剂来降低气-液界面张力和毛管压力,提高泡沫稳定性[8-9]。然而,表面活性剂在岩石表面的吸附以及高温储集层条件下的分解作用,会影响泡沫在多孔介质中的稳定性[10-11]
通常,添加纳米颗粒使其吸附在气泡表面可以提高泡沫稳定性[12-17]。气液界面上的纳米颗粒减少了薄液膜两侧气体与液体的直接接触,同时减小了气泡尺寸,从而增强泡沫稳定性[18-20]。与疏水性纳米颗粒相比,亲水性纳米颗粒的稳泡性能更好[21-22]。另有研究指出,疏水性SiO2纳米颗粒非常适用于制备CO2泡沫,该纳米颗粒在气水界面处吸附,形成有效屏障防止泡沫破坏[23-25]。Bayat等[22]对比了TiO2、Al2O3、CuO和SiO2等纳米颗粒对CO2泡沫稳定性的影响,发现SiO2纳米基CO2泡沫体系最稳定。此外,通过表面活性剂对固体纳米颗粒进行表面改性,可以进一步提高泡沫的稳定性[26-29]。Kumar等[30]研究表明,在带有相反电荷的纳米颗粒-表面活性剂体系中,表面活性剂在纳米颗粒表面的吸附会导致纳米颗粒积聚。另外,添加纳米颗粒的泡沫更能适应高盐高温以及存在稠油等恶劣的储集层环境[18-20,22,31 -33]
在储集层条件下,表面活性剂-纳米颗粒稳泡的泡沫体系性能受岩石渗透率、注入速率、压力、温度、矿化度和原油组分等参数的影响[34]。其中,原油对多孔介质中泡沫稳定性的破坏程度取决于原油组分和物性[35-39]。采油过程中,当泡沫体系含油时,气相与油相之间会形成伪乳状液膜[40]。如果伪乳状液膜被破坏,原油会在气-水界面形成透镜体,一段时间后油滴增厚,连接薄液膜两侧,最终破坏泡沫[41-44]。总的来说,含油条件下,泡沫稳定性主要取决于含油量和烃链长度[45],其中重分子和极性分子还会吸附在气-液界面,与泡沫稳定剂相互作用。此外,原油黏度和密度影响泡沫稳定性,黏度和密度越低,气泡合并和粗化的速度越快[46-49]
在含油条件下,通过选择合适的发泡剂,可以有效地制备稳定泡沫。Vikingstad等[45]指出泡沫的稳定性与表面活性剂溶解油分子的能力有关;Farzaneh等[49]证明阴离子表面活性剂产生的泡沫比非离子表面活性剂产生的泡沫性能更好;Nikolov等[37]研究表明,泡沫稳定性随着表面活性剂疏水链长度的增加而增加;Singh等[50]研究了含油和不含油条件下SiO2纳米颗粒和α-烯烃磺酸盐对泡沫稳定性的影响,结果表明两种情况下纳米颗粒均可以提高泡沫稳定性;Nguyen等[51]研究表明,表面活性纳米颗粒可以显著提高泡沫的稳定性和原油采收率。
原油的存在会对泡沫的稳定性产生负面影响,其中,原油中沥青质的强极性、在气液界面的积聚及其与纳米颗粒和表面活性剂间的相互作用可能会影响泡沫的稳定性[52-56]。以往研究侧重于原油对泡沫薄液膜的影响,以及降低这种影响的方法。然而,关于存在和不存在纳米颗粒情况下沥青质对泡沫稳定性的影响,尚未展开全面的研究。本文研究了原油沥青质对CO2泡沫稳定性的影响。研究中选用十二烷基硫酸钠(SDS)表面活性剂和SiO2纳米颗粒作为发泡剂,SDS和SiO2纳米颗粒是用于起泡、稳泡的常用有效材料,且成本低于其他等效添加剂[57-58]。首先,使用SDS表面活性剂在不同沥青质质量分数条件下进行泡沫稳定性实验。然后,在SDS-SiO2纳米颗粒体系中重复泡沫稳定性测试,以研究纳米颗粒对泡沫稳定性的影响。采用扫描电子显微图像、紫外分光光度法测试和Zeta电位测量,确定沥青质对SDS和SiO2纳米颗粒的作用,分析其降低CO2泡沫稳定性的机理。

1 材料和方法

1.1 材料

SDS:伊朗Tetrachem公司提供,纯度98%,25 ℃条件下SDS在去离子水中的临界胶束质量分数为0.236%[59];SiO2纳米颗粒:购自美国US Research Nanomaterials公司,纯度99%,其在多孔介质中具有良好的性能[60]。其他实验材料包括:正庚烷和甲苯,购自德国默克公司,纯度大于等于99.9%;CO2气体,伊朗Parsan气体公司提供,纯度大于等于99.9%。实验用水:所有实验中均使用去离子水。选用伊朗西南部某油藏原油样品提取沥青质,该样品密度为0.969 g/cm3,沥青质质量分数为17%。

1.2 实验方法

1.2.1 SiO2纳米颗粒表征

为了表征SiO2纳米颗粒,采用PMD Philips X-Pert型X射线衍射仪确定SiO2纳米颗粒的晶体结构,采用WQF-510A型傅里叶变换红外光谱仪识别SiO2纳米颗粒的官能团,采用扫描电子显微镜测试观察SiO2纳米颗粒形态,采用BET(Brauer-Emmett-Teller)方法测定SiO2纳米颗粒的比表面积。利用10 mL去离子水溶液制备质量分数为0.060%的SiO2纳米颗粒悬浮液,经过4次(每次30 min、功率190 W)超声波水浴处理后,采用Horiba SZ-100型动态光散射纳米颗粒分析仪测定粒度分布。

1.2.2 沥青质分离与表征

在本研究中,按英国石油学会标准IP143方法从原油中提取沥青质。将10~15 g原油与正庚烷按体积比1∶40混合,然后将该溶液避光放置24 h,用滤纸过滤分离溶液中的沉淀物。使用100 mL正庚烷洗涤滤纸上的固体沉淀物,以除去沉淀物中的有机杂质。随后利用索氏萃取器从滤纸上提取沥青质,提取过程中用甲苯溶解沥青质,当全部沥青质都溶解在甲苯中时停止萃取。将索氏萃取获得的甲苯-沥青质溶液转移至大容器中干燥72 h,保留在容器中的物质即为纯沥青质。采用PMD Philips X-Pert型X射线衍射仪确定沥青质分子结构;采用扫描电子显微镜测试观察沥青质的形态;使用Elementar 公司Vario EL III型元素分析仪对沥青质进行CHNS元素(碳氢硫氮氧)分析。

1.2.3 表面活性剂溶液和纳米流体的制备

Monjezi等[61]指出:当表面活性剂质量分数小于临界胶束质量分数(0.236%)时,泡沫产量随着SDS表面活性剂质量分数增加而增大;当表面活性剂质量分数大于临界胶束质量分数时,进一步提高表面活性剂质量分数不会影响泡沫的形成和稳定性。在本研究中,考虑临界胶束质量分数的测量误差,为了确保基液中SDS表面活性剂的质量分数达到临界胶束质量分数,使用质量分数为0.354%的SDS溶液来制备CO2泡沫。当SDS表面活性剂水溶液中SiO2纳米颗粒质量分数达到最佳时(0.060%),CO2泡沫的稳定性显著提升[61]。为此,将SiO2纳米颗粒分散到水溶液中,经过4次(每次30 min、功率190 W)超声波水浴处理制备SiO2纳米颗粒悬浮液。最后,将SiO2纳米流体加入0.354% SDS溶液中得到SiO2纳米颗粒质量分数为0.060%的SDS-SiO2复合体系[61]

1.2.4 合成油的制备

对于适用泡沫驱的油藏,其原油中沥青质质量分数大多为0.5%~15.0%,为此,将沥青质溶于甲苯,配制沥青质质量分数为0.5%,1.0%,3.0%,5.0%,10.0%,12.5%,15.0%的合成油样品,用于研究原油沥青质含量对CO2泡沫稳定性的影响。其中,沥青质质量分数为0.5%,1.0%,3.0%的合成油代表轻质油;沥青质质量分数为5.0%,10.0%,12.5%,15.0%的合成油代表中质油和重质油。根据以往研究[45,48,62],设合成油与发泡体系(SDS溶液或SDS-SiO2复合体系)质量比分别为1∶9和2∶8,以模拟油藏两个不同位置的油水质量比。

1.2.5 CO2注入速率

在不同注气速率和恒定沥青质质量分数下进行多次泡沫稳定性测试,以确定最佳注入速率作为本文实验恒定CO2注入速率。将沥青质质量分数为0.5%的合成油样品与0.354% SDS溶液以1∶9的质量比混合。选择产生最稳定泡沫的CO2注入速率,本文所有泡沫稳定性实验均采用该CO2注入速率。需要注意的是,不同纳米颗粒和表面活性剂质量分数条件下,最佳注入速率可能会改变,但本文实验采用同一注入速率。

1.2.6 泡沫稳定性实验

通过泡沫稳定性测试,比较存在和不存在SiO2纳米颗粒的情况下原油沥青质含量对泡沫稳定性的影响。首先,使用SDS表面活性剂在不同沥青质质量分数条件下进行泡沫稳定性实验。然后,在SDS-SiO2纳米颗粒体系中重复泡沫稳定性测试,以研究纳米颗粒对泡沫稳定性的影响。
实验装置包括250 mL量筒、气体流量控制器(GFC-1104)、磁力搅拌器、喷雾器(见图1)。实验中,首先将合成油和发泡体系(SDS溶液或SDS-SiO2复合体系)按质量比1∶9或2∶8倒入250 mL量筒中。在量筒下放置一个磁力搅拌器进行搅拌使液相混合均匀,转速为400 r/min。通过移液管将喷雾器浸入量筒内的泡沫溶液中,用密封盖封闭量筒口,以防止移液管随着磁力搅拌器的旋转而旋转,通过喷雾器向溶液中注入CO2气体。测量泡沫的半衰期,以评估不同条件下泡沫的稳定性。半衰期是指泡沫形成过程停止后,泡沫衰减到其初始高度一半所需的时间[63-64]。本实验中,当形成的泡沫高度达到200 mL时,停止注气并记录泡沫半衰期。
图1 泡沫稳定性测试系统

1.2.7 紫外光-可见光分光光度测试

通过分光光度测试,分析存在和不存在SDS情况下沥青质在SiO2纳米颗粒上的吸附量,有助于解释存在沥青质时泡沫稳定性降低的机理。紫外光-可见光分光光度测试装置只能用于清澈溶液,即沥青质质量浓度低于100 mg/L时。在实际应用中,如泡沫稳定性实验浓度条件下,溶液是不清澈的,因此,本文在较低沥青质浓度条件下进行分光光度法测试,只能给出定性的、对比性结果。
本实验测量了添加纳米颗粒和表面活性剂前后甲苯溶液中的沥青质浓度。使用两种不同的方法将纳米颗粒和表面活性剂加入甲苯-沥青质溶液(合成油):①直接将二者添加到合成油中(表1中的AN1和AS1样品);②将配备的SDS溶液和SiO2纳米流体加入合成油中(表1中的AN2、AS2和ANS样品)。使用往复式振动筛以400 r/min转速搅拌混合样品1 h;然后,利用离心法以4 000 r/min转速离心20 min,分离有机相和水相[65]。最后,测量样品中的沥青质浓度,并与添加纳米颗粒和表面活性剂之前的沥青质浓度进行比较。若沥青质浓度降低,则表明沥青质与SiO2或SDS发生了相互作用。
表1 紫外光-可见光分光光度测试分析样品
样品 液相数 材料
A 1 甲苯+沥青质(20 mg/L)
AN1 1 (甲苯+沥青质(20 mg/L))+ SiO2(0.2 mg)
AN2 2 (甲苯+沥青质(20 mg/L))+SiO2纳米流体(20 mg/L)
AS1 1 (甲苯+沥青质(20 mg/L))+SDS(0.2 mg)
AS2 2 (甲苯+沥青质(20 mg/L))+SDS溶液(20 mg/L)
ANS 2 (甲苯+沥青质(20 mg/L))+(SiO2纳米流体
(20 mg/L)和SDS溶液(20 mg/L))

注:实验中采用的样品体积均为10 mL

使用Shimadzu UV-240紫外分光光度计测定沥青质浓度,研究了285 nm波长下沥青质与纳米颗粒和表面活性剂的相互作用。然后,根据相同波长下获得的校准曲线得到直线方程,则沥青质质量浓度为5~30 mg/L时,与纳米颗粒和表面活性剂产生相互作用的沥青质的量和比例可根据(1)式和(2)式计算[66]
$q=\frac{\left(c_{\mathrm{o}}-c_{\mathrm{e}}\right) V}{m}$
$R=\frac{c_{\mathrm{O}}-c_{\mathrm{e}}}{c_{\mathrm{o}}} \times 100 \%$

1.2.8 Zeta电位测试

Zeta电位测试可以检测溶液中颗粒的表面电荷,用于评估溶液分散稳定性。本研究采用Horiba-Sz 100 DLS-ZETA电位分析仪进行Zeta电位分析,进一步研究沥青质和稳定剂(SDS和SiO2)存在时泡沫的衰减机理。实验中测量了接触合成油样品前后,水相中SiO2和SDS的Zeta电位。由于水介质中的大多数胶体分散体携带电荷,Zeta电位绝对值越高,表明颗粒间排斥力越强,因此更加稳定;Zeta电位绝对值低,说明颗粒倾向于聚集[67-68]。当沥青质与SDS-SiO2悬浮液接触时,沥青质会与纳米颗粒或表面活性剂发生相互作用,从而减少纳米颗粒和表面活性剂的表面电荷。Zeta电位测试实验样品如表2所示,评估并比较与沥青质接触前后SiO2纳米流体、SDS溶液和SDS-SiO2悬浮液的Zeta电位。
表2 Zeta电位测试样品
样品 液相数 材料
N 1 SiO2纳米流体(0.060%)
NA 2 SiO2纳米流体(0.060%)+(甲苯+沥青质(0.5%))
S 1 SDS溶液(0.354%)
SA 2 SDS溶液(0.354%)+(甲苯+沥青质(0.5%))
NS 1 SiO2纳米流体(0.060%)和SDS(0.354%)
NSA 2 SiO2纳米流体(0.060%)和SDS(0.354%)+
(甲苯+沥青质(0.5%))

2 结果与讨论

2.1 SiO2纳米颗粒表征

本研究中对SiO2纳米颗粒进行了X射线衍射、傅里叶变换红外光谱和扫描电镜测试,测试结果如图2图3所示。X射线衍射谱分析显示,SiO2纳米颗粒具有非晶结构(见图2a);从扫描电镜图像可以看出,SiO2纳米颗粒呈近球形(见图2b)。将傅里叶变换红外光谱图峰位与Tinio等[69]研究结果进行比较,确定了各峰值对应的官能团(见图3)。此外,SiO2纳米颗粒BET比表面积为142.8 m2/g,动态光散射测得平均粒径161 nm(最大标准差±5 nm)。
图2 SiO2纳米颗粒X射线衍射谱(a)和扫描电子显微图像(b)
图3 SiO2傅里叶变换红外光谱

2.2 沥青质分离结果

X射线衍射分析显示原油中分离出的沥青质具有非晶结构(见图4a[70-71]图4b为沥青质扫描电镜图像。通过CHNS分析,测定沥青质组分中碳、氢、硫、氮、氧含量分别为84.030%,7.447%,5.208%,0.561%, 2.754%,与前人研究结果类似[72-73]
图4 沥青质X射线衍射谱(a)和扫描电子显微图像(b)

2.3 CO2泡沫稳定性实验

为了确定存在稳泡剂(SDS和SiO2)条件下沥青质对泡沫稳定性的影响,本研究中对注气速率、沥青质含量、SiO2纳米颗粒、合成油与发泡体系的质量比等影响因素进行了探讨。首先确定最佳注气速率,然后在合成油中添加不同质量分数的沥青质,进行泡沫稳定性实验,结果取3次实验的平均值。

2.3.1 CO2注入速率

以往研究表明,泡沫溶液中的气泡寿命越长,达到气液平衡所需的时间就越长[74]。降低注气速率可以使得气泡在泡沫混合物中的停留时间延长,气液界面表面活性剂单体的数量增加。因此,将注气速率降低到最佳值可以提高泡沫的稳定性[63]。如前所述,不同纳米颗粒和表面活性剂质量分数对应不同的最佳注气速率,本研究SDS表面活性剂质量分数为0.354%、沥青质质量分数为0.5%时最佳CO2注入速率为40 mL/min(见图5)。本文泡沫稳定性实验均采用这一注气速率。
图5 不同注气速率下泡沫半衰期(测试条件:SDS表面活性剂质量分数为0.354%、沥青质质量分数为0.5%;半衰期标准偏差为±20 s,下同)

2.3.2 表面活性剂对CO2泡沫稳定性的影响

不含油情况下,SDS稳定泡沫的半衰期为1 825 s;然后,测定不同沥青质质量分数条件下SDS溶液对CO2泡沫稳定性的影响,该实验中合成油与SDS溶液质量比分别为1∶9和2∶8。

2.3.2.1 合成油与SDS溶液质量比为1∶9时泡沫的稳定性

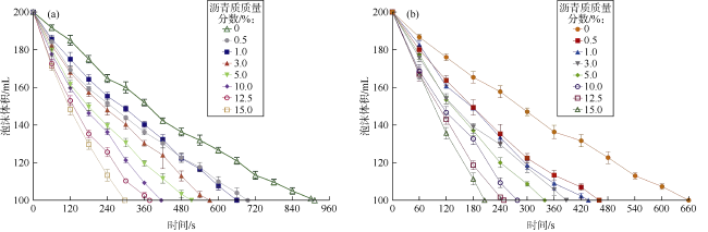
合成油与SDS溶液质量比为1∶9时,不同沥青质质量分数下泡沫稳定性实验结果如图6a所示。纯甲苯条件下(沥青质质量分数为0),SDS稳定泡沫的半衰期为751 s。沥青质质量分数为0.5%时,泡沫半衰期为509 s;当沥青质质量分数增加至15.0%时,泡沫半衰期为239 s,表面活性剂稳定泡沫的半衰期随沥青质质量分数的增加逐渐缩短。因此,表面活性剂稳定泡沫的半衰期由不含油时的1 825 s,降至纯甲苯时的751 s、合成油含15.0%沥青质时的239 s。
图6 合成油与SDS溶液质量比为1∶9(a)和2∶8(b)时SDS稳定泡沫的半衰期

2.3.2.2 合成油与SDS溶液质量比为2∶8时泡沫的稳定性

将合成油与SDS溶液质量比增加到2∶8,研究含油饱和度对泡沫稳定性的影响。在不同沥青质质量分数下开展CO2泡沫稳定性实验,结果如图6b所示。纯甲苯条件下,SDS稳定泡沫的半衰期为526 s。当沥青质质量分数为0.5%时,SDS稳定泡沫的半衰期缩短至342 s。随着沥青质质量分数从0.5%增至15.0%,泡沫半衰期逐渐缩短至171 s。可见,将合成油与SDS溶液质量比从1∶9增加到2∶8时,不同沥青质质量分数下CO2泡沫的半衰期降低28.45%~32.80%。

2.3.3 SDS-SiO2对CO2泡沫稳定性的影响

在不同沥青质质量分数的条件下,开展SDS-SiO2稳定泡沫的稳定性实验,分析纳米颗粒对泡沫稳定性的影响。研究显示,不含油时SDS-SiO2稳定泡沫的半衰期为2 670 s,与SDS稳定泡沫的半衰期相比(1 825 s),添加SiO2纳米颗粒使泡沫稳定性提高46.30%。一方面是因为纳米颗粒增加了泡沫薄层的黏度,从而减少了经薄液膜排出的液体量[75-76];另一方面,当气液界面间接触面存在携带表面电荷的纳米颗粒时,这些纳米颗粒会在薄液膜两侧界面间产生排斥力,防止气泡表面发生碰撞。因此,纳米颗粒能够防止泡沫薄液膜消失[77-78]。本研究分析了合成油与SDS-SiO2体系质量比分别为1∶9和2∶8时,不同沥青质质量分数条件下SDS-SiO2体系对泡沫稳定性的影响。

2.3.3.1 合成油与SDS-SiO2体系质量比为1∶9时泡沫的稳定性

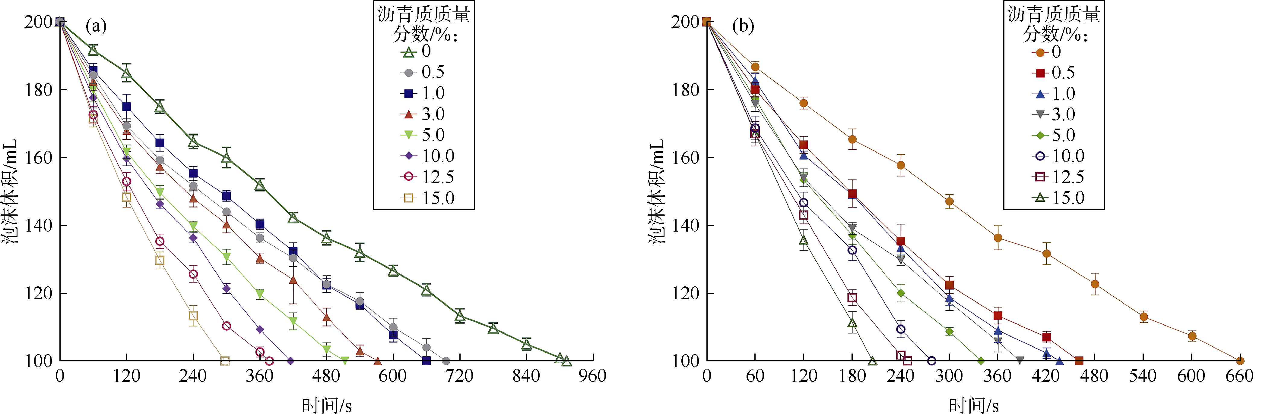
合成油与SDS-SiO2体系质量比为1∶9时,在不同沥青质质量分数条件下开展SDS-SiO2稳定泡沫的稳定性实验,结果如图7a所示。纯甲苯条件下,SDS-SiO2稳定泡沫的半衰期为912 s。沥青质质量分数为0.5%时,SDS-SiO2稳定泡沫的半衰期为703 s,沥青质质量分数增加至15.0%时,泡沫半衰期缩短至298 s。与SDS稳定泡沫相比,SDS-SiO2稳定泡沫的半衰期更长,说明SiO2纳米颗粒提高了CO2泡沫的稳定性。
图7 合成油与SDS-SiO2体系质量比为1∶9(a)和2∶8(b)时SDS-SiO2稳定泡沫的半衰期

2.3.3.2 合成油与SDS-SiO2体系质量比为2∶8时泡沫的稳定性

将合成油与SDS-SiO2质量比提高至2∶8,即含油饱和度增加,而SiO2和SDS含量保持不变,开展SDS-SiO2稳定泡沫的稳定性实验。纯甲苯条件下,SDS-SiO2稳定泡沫的半衰期为660 s。原油沥青质质量分数为0.5%时,SDS-SiO2稳定泡沫的半衰期为460 s;沥青质质量分数增加到15.0%时,泡沫半衰期缩短至205 s(见图7b)。对比合成油与SDS-SiO2体系质量比为1∶9时的研究结果,发现随着合成油饱和度的增加,泡沫破坏加剧。
图8对上述不同条件下的测试结果进行了比较,可以看出沥青质质量分数越低,泡沫的半衰期越长。因此,沥青质是CO2泡沫的破坏剂,随着沥青质质量分数的增加,泡沫的稳定性降低。对比各沥青质质量分数下SDS稳定泡沫和SDS-SiO2稳定泡沫的体积,证实SiO2纳米颗粒的存在增强了CO2泡沫的稳定性。将合成油与发泡体系质量比从1∶9增加到2∶8时,泡沫的稳定性降低,合成油对泡沫结构具有破坏作用,随着含油饱和度的增加,这种破坏作用会显著增强[48]
图8 不同实验条件下泡沫稳定性测试结果
图9为泡沫薄液膜的显微图像。图中分散的深色颗粒显示薄液膜内存在沥青质。当泡沫薄液膜中存在沥青质时,泡沫稳定性降低,原因在于沥青质与泡沫稳定剂(SDS和SiO2)之间的相互作用影响了它们在薄液膜中的有效性。
图9 不同沥青质质量分数条件下泡沫薄液膜显微图像(放大倍数为1 000)

2.4 薄液膜中SDS-SiO2体系与沥青质的相互作用

通过紫外光-可见光分光光度法,测定了添加SDS和SiO2前后的沥青质质量浓度。基于校准曲线(见图10)获取线性方程,从而计算沥青质质量浓度,校准曲线中甲苯溶液中沥青质质量浓度分别为5,10,15,20,30 mg/L。
图10 甲苯-沥青质溶液校准曲线
表3列出了紫外光-可见光分光光度法测试结果,各实验甲苯溶液中沥青质的初始质量浓度均为20.00 mg/L。将SiO2纳米颗粒添加到沥青质-甲苯溶液中(样品AN1),甲苯溶液中的沥青质质量浓度从20.00 mg/L降至14.99 mg/L,表明沥青质吸附在纳米颗粒表面。在这种情况下,纳米颗粒上的沥青质吸附量等于沥青质初始质量浓度的25.05%。将质量浓度为20.00 mg/L的SiO2纳米颗粒悬浮液加入沥青质-甲苯溶液中(样品AN2),甲苯溶液中的沥青质质量浓度从20.00 mg/L降至17.62 mg/L,纳米颗粒上的沥青质吸附量是沥青质初始质量浓度的11.90%,沥青质同样吸附在SiO2纳米颗粒上,但不同相态中的吸附量不同。当纳米颗粒在甲苯-沥青质溶液中以悬浮态形式存在时,对沥青质的吸附量比纳米颗粒以固态存在时的沥青质吸附量低52.59%,与以往研究结果一致[65,79]。然而,对比AS1和AS2样品的测试结果,发现紫外光-可见光分光光度法无法评估沥青质与SDS表面活性剂之间的相互作用,需要其他方法测定两者的作用关系。
表3 紫外光-可见光分光光度法测试结果
样品 吸附后沥青质质量
浓度*/(mg•L−1)
SiO2吸附沥青质
的量/(mg•g−1)
甲苯溶液中沥青质质量浓度降幅/%
A 20.00
AN1 14.99 250.000 25.05
AN2 17.62 118.535 11.90
AS1 20.00
AS2 20.00
ANS 17.56 121.630 12.20

注:*最大标准偏差为±0.09 mg/L;“—”代表未观察到吸附现象

将质量浓度为20.00 mg/L的SDS-SiO2悬浮液添加到甲苯-沥青质溶液中后(样品ANS),甲苯溶液中的沥青质质量浓度从20.00 mg/L降至17.56 mg/L,该结果与样品AN2的实验结果接近。因此,无论是否存在SDS,SiO2纳米颗粒对沥青质的吸附量几乎相同。

2.5 存在沥青质条件下泡沫稳定性降低的机理

如前所述,沥青质可以穿透泡沫薄液膜,并且随着原油中沥青质含量的增加,穿透性增强。此外,沥青质可以吸附在薄液膜中的SiO2纳米颗粒表面上。表面活性剂和沥青质的化学结构中存在氧原子,所以二者之间存在范德华力和库仑力[56]。以往研究表明,由于粒子表面存在电荷和位阻效应[80-82],表面活性剂和纳米颗粒在气液界面薄液膜两侧间形成斥力,因而能防止薄液膜破坏。然而,CO2泡沫稳定剂与沥青质之间的相互作用可能会降低泡沫稳定剂的表面电荷以及界面薄液膜两侧间的排斥力,从而降低泡沫稳定性(见图11)。
图11 添加沥青质前后泡沫薄液膜变化示意图
利用Zeta电位测量法研究了存在沥青质条件下泡沫稳定剂的表面电荷变化。样品N中SiO2纳米颗粒的Zeta电位为−60.3 mV,样品NA中SiO2纳米颗粒的Zeta电位为−47.2 mV。随着Zeta电位接近零,表面电荷减少,与沥青质接触后,SiO2纳米颗粒的表面电荷减少了21.72%。可见,沥青质吸附在纳米颗粒上,降低了其表面电荷,从而降低其稳泡性能。样品S中SDS表面活性剂的Zeta电位为−80.2 mV,样品SA中SDS表面活性剂的Zeta电位为−63.4 mV,表明由于与沥青质接触,SDS表面活性剂的电荷减少了20.94%。在存在纳米颗粒的情况下,样品NS中SiO2-SDS悬浮液的Zeta电位为−66.7 mV,而样品NSA中SiO2-SDS悬浮液的Zeta电位为−48.6 mV:当样品与沥青质接触时,由于沥青质与SDS-SiO2体系的相互作用,表面电荷减少了27.13%。
以上分析结果表明,沥青质与纳米颗粒和表面活性剂之间发生了相互作用,减少了二者表面电荷。泡沫稳定剂表面电荷减少导致薄液膜两个界面之间的排斥力降低,使得薄液膜间结合紧密。最终,薄液膜表面更容易因发生碰撞而破裂。由于薄液膜减少,泡沫的稳定性降低。

3 结论

采用SDS表面活性剂和SDS-SiO2复合体系作为发泡剂的CO2泡沫稳定性实验表明:不含油条件下,相较于仅添加SDS表面活性剂的情况,SDS-SiO2复合体系使泡沫稳定性提高了46.30%。当合成油与发泡体系质量比为1∶9时,合成油沥青质质量分数从0增至15%,SDS稳定泡沫半衰期从751 s减少至239 s,SDS-SiO2稳定泡沫半衰期从912 s缩短至298 s;当合成油与发泡体系质量比为2∶8时,随着沥青质质量分数增大,SDS稳定泡沫半衰期从526 s缩短至171 s,SDS-SiO2稳定泡沫半衰期从660 s缩短至205 s。
紫外光-可见光分光光度法测试结果表明,无论纳米颗粒处于固态还是悬浮态,沥青质均可以吸附在薄液膜内的SiO2纳米颗粒表面。由于沥青质与SDS和SiO2纳米颗粒在水相中的相互作用,Zeta电位绝对值减小,表示SDS和SiO2纳米颗粒的表面电荷减少,导致沥青质存在条件下薄液膜两侧界面之间的排斥力减小,进而降低泡沫稳定性。
符号注释:
ce——吸附作用发生后沥青质的质量浓度,mg/L;co——初始沥青质质量浓度,mg/L;m——吸附沥青质的纳米颗粒和表面活性剂的量,g;q——与纳米颗粒和表面活性剂产生相互作用的沥青质的量,mg/g;R——与纳米颗粒和表面活性剂产生相互作用的沥青质占比,%;V——沥青质溶液体积,L。
[1]
TIAN Y, UZUN O, SHEN Y Z, et al. Feasibility study of gas injection in low permeability reservoirs of Changqing oilfield[J]. Fuel, 2020, 274: 117831.

DOI

[2]
YANG J, WANG X Z, PENG X L, et al. Experimental studies on CO2 foam performance in the tight cores[J]. Journal of Petroleum Science and Engineering, 2019, 175: 1136-1149.

DOI

[3]
MARTIN F D, STEVENS J E, HARPOLE K J. CO2-foam field test at the East Vacuum Grayburg/San Andres Unit[J]. SPE Reservoir Engineering, 1995, 10(4): 266-272.

DOI

[4]
ALCORN Z P, FØYEN T, GAUTEPLASS J, et al. Pore- and core-scale insights of nanoparticle-stabilized foam for CO2-enhanced oil recovery[J]. Nanomaterials, 2020, 10(10): 1917.

DOI

[5]
WANG C, LI H A. Stability and mobility of foam generated by gas-solvent/surfactant mixtures under reservoir conditions[J]. Journal of Natural Gas Science and Engineering, 2016, 34: 366-375.

DOI

[6]
WANG D H, HOU Q F, LUO Y S, et al. Stability comparison between particles-stabilized foams and polymer-stabilized foams[J]. Journal of Dispersion Science and Technology, 2015, 36(2): 268-273.

DOI

[7]
SIMJOO M, DONG Y, ANDRIANOV A, et al. Novel insight into foam mobility control[J]. SPE Journal, 2013, 18(3): 416-427.

DOI

[8]
FARAJZADEH R, ANDRIANOV A, ZITHA P L J. Investigation of immiscible and miscible foam for enhancing oil recovery[J]. Industrial & Engineering Chemistry Research, 2010, 49(4): 1910-1919.

DOI

[9]
SUN L, BAI B J, WEI B, et al. Recent advances of surfactant-stabilized N2/CO2 foams in enhanced oil recovery[J]. Fuel, 2019, 241: 83-93.

DOI

[10]
EMRANI A S, NASR-EL-DIN H A. Stabilizing CO2 foam by use of nanoparticles[J]. SPE Journal, 2017, 22(2): 494-504.

DOI

[11]
ESPINOSA D, CALDELAS F, JOHNSTON K, et al. Nanoparticle-stabilized supercritical CO2 foams for potential mobility control applications[R]. SPE 129925-MS, 2010.

[12]
武俊文, 雷群, 熊春明, 等. 适用于深层产水气井的纳米粒子泡排剂[J]. 石油勘探与开发, 2016, 43(4): 636-640.

DOI

WU Junwen, LEI Qun, XIONG Chunming, et al. A nano-particle foam unloading agent applied in unloading liquid of deep gas well[J]. Petroleum Exploration and Development, 2016, 43(4): 636-640.

[13]
HUNTER T N, WANLESS E J, JAMESON G J, et al. Non-ionic surfactant interactions with hydrophobic nanoparticles: Impact on foam stability[J]. Colloids and Surfaces A: Physicochemical and Engineering Aspects, 2009, 347(1/2/3): 81-89.

DOI

[14]
ZHANG T T, ROBERTS M R, BRYANT S L, et al. Foams and emulsions stabilized with nanoparticles for potential conformance control applications[R]. SPE 121744-MS, 2009.

[15]
LI S Y, LI Z M, WANG P. Experimental study of the stabilization of CO2 foam by sodium dodecyl sulfate and hydrophobic nanoparticles[J]. Industrial & Engineering Chemistry Research, 2016, 55(5): 1243-1253.

DOI

[16]
ROGNMO A U, HELDAL S, FERNØ M A. Silica nanoparticles to stabilize CO2-foam for improved CO2 utilization: Enhanced CO2 storage and oil recovery from mature oil reservoirs[J]. Fuel, 2018, 216: 621-626.

DOI

[17]
LU T, LI Z M, ZHOU Y. Flow behavior and displacement mechanisms of nanoparticle stabilized foam flooding for enhanced heavy oil recovery[J]. Energies, 2017, 10(4): 560.

DOI

[18]
XUE Z, WORTHEN A, QAJAR A, et al. Viscosity and stability of ultra-high internal phase CO2-in-water foams stabilized with surfactants and nanoparticles with or without polyelectrolytes[J]. Journal of Colloid and Interface Science, 2016, 461: 383-395.

DOI PMID

[19]
YEKEEN N, MANAN M A, IDRIS A K, et al. A comprehensive review of experimental studies of nanoparticles-stabilized foam for enhanced oil recovery[J]. Journal of Petroleum Science and Engineering, 2018, 164: 43-74.

DOI

[20]
FARID IBRAHIM A, NASR-EL-DIN H A. CO2 foam for enhanced oil recovery applications[M]//XU H J, YANG C, JING D W. Foams:Emerging technologies. London: IntechOpen, 2020: 1-18.

[21]
van HEE P, ELUMBARING A C M R, van der LANS R G J M, et al. Selective recovery of polyhydroxyalkanoate inclusion bodies from fermentation broth by dissolved-air flotation[J]. Journal of Colloid and Interface Science, 2006, 297(2): 595-606.

PMID

[22]
BAYAT A E, RAJAEI K, JUNIN R. Assessing the effects of nanoparticle type and concentration on the stability of CO2 foams and the performance in enhanced oil recovery[J]. Colloids and Surfaces A: Physicochemical and Engineering Aspects, 2016, 511: 222-231.

DOI

[23]
ADKINS S S, GOHIL D, DICKSON J L, et al. Water-in-carbon dioxide emulsions stabilized with hydrophobic silica particles[J]. Physical Chemistry Chemical Physics, 2007, 9(48): 6333-6343.

PMID

[24]
YU J J, KHALIL M, LIU N, et al. Effect of particle hydrophobicity on CO2 foam generation and foam flow behavior in porous media[J]. Fuel, 2014, 126: 104-108.

DOI

[25]
WORTHEN A J, BAGARIA H G, CHEN Y S, et al. Nanoparticle-stabilized carbon dioxide-in-water foams with fine texture[J]. Journal of Colloid and Interface Science, 2013, 391: 142-151.

DOI PMID

[26]
CARN F, COLIN A, PITOIS O, et al. Foam drainage in the presence of nanoparticle-surfactant mixtures[J]. Langmuir, 2009, 25(14): 7847-7856.

DOI PMID

[27]
FARHADI H, RIAHI S, AYATOLLAHI S, et al. Experimental study of nanoparticle-surfactant-stabilized CO2 foam: Stability and mobility control[J]. Chemical Engineering Research and Design, 2016, 111: 449-460.

DOI

[28]
MAESTRO A, RIO E, DRENCKHAN W, et al. Foams stabilized by mixtures of nanoparticles and oppositely charged surfactants: Relationship between bubble shrinkage and foam coarsening[J]. Soft Matter, 2014, 10(36): 6975-6983.

DOI

[29]
SUN S Q, WANG Y, YUAN C T, et al. Tunable stability of oil-containing foam systems with different concentrations of SDS and hydrophobic silica nanoparticles[J]. Journal of Industrial and Engineering Chemistry, 2020, 82: 333-340.

DOI

[30]
KUMAR S, ASWAL V K, KOHLBRECHER J. Size-dependent interaction of silica nanoparticles with different surfactants in aqueous solution[J]. Langmuir, 2012, 28(25): 9288-9297.

DOI PMID

[31]
熊春明, 曹光强, 张建军, 等. 适应中国主要气田的纳米粒子泡排剂系列[J]. 石油勘探与开发, 2019, 46(5): 966-973.

DOI

XIONG Chunming, CAO Guangqiang, ZHANG Jianjun, et al. Nanoparticle foaming agents for major gas fields in China[J]. Petroleum Exploration and Development, 2019, 46(5): 966-973.

[32]
KANG W L, JIANG H Z, YANG H B, et al. Study of nano-SiO2 reinforced CO2 foam for anti-gas channeling with a high temperature and high salinity reservoir[J]. Journal of Industrial and Engineering Chemistry, 2021, 97: 506-514.

DOI

[33]
KAPETAS L, VINCENT BONNIEU S, DANELIS S, et al. Effect of temperature on foam flow in porous media[J]. Journal of Industrial and Engineering Chemistry, 2016, 36: 229-237.

DOI

[34]
FARZANEH S A, SOHRABI M. A review of the status of foam applications in enhanced oil recovery[R]. SPE 164917-MS, 2013.

[35]
HUSSAIN A A A, VINCENT-BONNIEU S, KAMARUL BAHRIM R Z, et al. The impacts of solubilized and dispersed crude oil on foam in a porous medium[J]. Colloids and Surfaces A: Physicochemical and Engineering Aspects, 2019, 579: 123671.

DOI

[36]
FARAJZADEH R, ANDRIANOV A, KRASTEV R, et al. Foam-oil interaction in porous media: Implications for foam assisted enhanced oil recovery[J]. Advances in Colloid and Interface Science, 2012, 183/184: 1-13.

DOI

[37]
NIKOLOV A D, WASAN D T, HUANG D W, et al. The effect of oil on foam stability: Mechanisms and implications for oil displacement by foam in porous media[R]. SPE 15443-MS, 1986.

[38]
JENSEN J A, FRIEDMANN F. Physical and chemical effects of an oil phase on the propagation of foam in porous media[R]. SPE 16375-MS, 1987.

[39]
OSEI-BONSU K, GRASSIA P, SHOKRI N. Investigation of foam flow in a 3D printed porous medium in the presence of oil[J]. Journal of Colloid and Interface Science, 2017, 490: 850-858.

DOI

[40]
SHOSA J D. Surfactants: Fundamentals and applications in the petroleum industry[J]. Palaios, 2001, 16(6): 615.

[41]
SIMJOO M, REZAEI T, ANDRIANOV A, et al. Foam stability in the presence of oil: Effect of surfactant concentration and oil type[J]. Colloids and Surfaces A: Physicochemical and Engineering Aspects, 2013, 438: 148-158.

DOI

[42]
OSEI-BONSU K, SHOKRI N, GRASSIA P. Foam stability in the presence and absence of hydrocarbons: From bubble- to bulk-scale[J]. Colloids and Surfaces A: Physicochemical and Engineering Aspects, 2015, 481: 514-526.

DOI

[43]
LOBO L A, NIKOLOV A D, WASAN D T. Foam stability in the presence of oil: On the importance of the second virial coefficient[J]. Journal of Dispersion Science and Technology, 1989, 10(2): 143-161.

DOI

[44]
DENKOV N D. Mechanisms of foam destruction by oil-based antifoams[J]. Langmuir, 2004, 20(22): 9463-9505.

PMID

[45]
VIKINGSTAD A K, SKAUGE A, HØILAND H, et al. Foam-oil interactions analyzed by static foam tests[J]. Colloids and Surfaces A: Physicochemical and Engineering Aspects, 2005, 260(1/2/3): 189-198.

DOI

[46]
ANDRIANOV A, FARAJZADEH R, MAHMOODI NICK M, et al. Immiscible foam for enhancing oil recovery: Bulk and porous media experiments[J]. Industrial & Engineering Chemistry Research, 2012, 51(5): 2214-2226.

DOI

[47]
YEKEEN N, IDRIS A K, MANAN M A, et al. Experimental study of the influence of silica nanoparticles on the bulk stability of SDS-foam in the presence of oil[J]. Journal of Dispersion Science and Technology, 2017, 38(3): 416-424.

DOI

[48]
BABAMAHMOUDI S, RIAHI S. Application of nano particle for enhancement of foam stability in the presence of crude oil: Experimental investigation[J]. Journal of Molecular Liquids, 2018, 264: 499-509.

DOI

[49]
FARZANEH S A, SOHRABI M. Experimental investigation of CO2-foam stability improvement by alkaline in the presence of crude oil[J]. Chemical Engineering Research and Design, 2015, 94: 375-389.

DOI

[50]
SINGH R, MOHANTY K K. Synergy between nanoparticles and surfactants in stabilizing foams for oil recovery[J]. Energy & Fuels, 2015, 29(2): 467-479.

DOI

[51]
NGUYEN P, FADAEI H, SINTON D. Pore-scale assessment of nanoparticle-stabilized CO2 foam for enhanced oil recovery[J]. Energy and Fuels, 2014, 28(10): 6221-6227.

DOI

[52]
ASKE N. Characterization of crude oil components, asphaltene aggregation and emulsion stability by means of near infrared spectroscopy and multivariate analysis[D]. Trondheim: Norwegian University of Science and Technology, 2002.

[53]
GHATEE M H, SHABIH M. Aggregation behavior of asphaltene of different crude oils as viewed from solution surface tension measurement[J]. Journal of Petroleum Science and Engineering, 2017, 151: 275-283.

DOI

[54]
LUO P, WANG X Q, GU Y A. Characterization of asphaltenes precipitated with three light alkanes under different experimental conditions[J]. Fluid Phase Equilibria, 2010, 291(2): 103-110.

DOI

[55]
ZHANG L L, YANG G H, WANG J Q, et al. Study on the polarity, solubility, and stacking characteristics of asphaltenes[J]. Fuel, 2014, 128: 366-372.

DOI

[56]
AHMADI M, CHEN Z X. Comprehensive molecular scale modeling of anionic surfactant-asphaltene interactions[J]. Fuel, 2021, 288: 119729.

DOI

[57]
ZHANG Y S, LIU Q, YE H, et al. Nanoparticles as foam stabilizer: Mechanism, control parameters and application in foam flooding for enhanced oil recovery[J]. Journal of Petroleum Science and Engineering, 2021, 202: 108561.

DOI

[58]
JIANG N, YU X Y, SHENG Y J, et al. Role of salts in performance of foam stabilized with sodium dodecyl sulfate[J]. Chemical Engineering Science, 2020, 216: 115474.

DOI

[59]
VARGA I, MÉSZAROS R, GILANYI T. Adsorption of sodium alkyl sulfate homologues at the air/solution interface[J]. The Journal of Physical Chemistry B, 2007, 111(25): 7160-7168.

DOI

[60]
CUI Z G, CUI Y Z, CUI C F, et al. Aqueous foams stabilized by in situ surface activation of CaCO3 nanoparticles via adsorption of anionic surfactant[J]. Langmuir, 2010, 26(15): 12567-12574.

DOI PMID

[61]
MONJEZI K, MOHAMMADI M, KHAZ'ALI A R. Stabilizing CO2 foams using APTES surface-modified nanosilica: Foamability, foaminess, foam stability, and transport in oil-wet fractured porous media[J]. Journal of Molecular Liquids, 2020, 311: 113043.

DOI

[62]
RASHED ROHANI M, GHOTBI C, BADAKHSHAN A. Foam stability and foam-oil interactions[J]. Petroleum Science and Technology, 2014, 32(15): 1843-1850.

DOI

[63]
PUGH R J. Foaming, foam films, antifoaming and defoaming[J]. Advances in Colloid and Interface Science, 1996, 64: 67-142.

DOI

[64]
ZHAO G, DAI C L, ZHANG Y H, et al. Enhanced foam stability by adding comb polymer gel for in-depth profile control in high temperature reservoirs[J]. Colloids and Surfaces A: Physicochemical and Engineering Aspects, 2015, 482: 115-124.

DOI

[65]
MADHI M, BEMANI A, DARYASAFAR A, et al. Experimental and modeling studies of the effects of different nanoparticles on asphaltene adsorption[J]. Petroleum Science and Technology, 2017, 35(3): 242-248.

DOI

[66]
VARGAS V, CASTILLO J, OCAMPO-TORRES R, et al. Surface modification of SiO2 nanoparticles to increase asphaltene adsorption[J]. Petroleum Science and Technology, 2018, 36(8): 618-624.

DOI

[67]
KONTOGEORGIS G M, KIIL S. Introduction to applied colloid and surface chemistry[M]. Chichester: John Wiley & Sons, Ltd., 2016.

[68]
DOROUDIAN R M. Natural gas foam stabilization by a mixture of oppositely charged nanoparticle and surfactant and the underlying mechanisms[D]. Calgary: University of Calgary, 2018.

[69]
TINIO J V G, SIMFROSO K T, PEGUIT A D M V, et al. Influence of OH- ion concentration on the surface morphology of ZnO-SiO2 nanostructure[J]. Journal of Nanotechnology, 2015, 2015: 686021.

[70]
KOVALENKO E Y, SAGACHENKO T A, CHEREDNICHENKO K A, et al. Structural organization of asphaltenes and resins and composition of low polar components of heavy oils[J]. Energy & Fuels, 2023, 37(13): 8976-8987.

DOI

[71]
SADEGHTABAGHI Z, RABBANI A R, HEMMATI-SARAPARDEH A. A review on asphaltenes characterization by X-ray diffraction: Fundamentals, challenges, and tips[J]. Journal of Molecular Structure, 2021, 1238: 130425.

DOI

[72]
FERWORN K A. Thermodynamic and kinetic modeling of asphaltene precipitation from heavy oils and bitumens[D]. Calgary: University of Calgary, 1995.

[73]
LONG R B. Chemistry of asphaltenes[J]. Am. Chem. Soc. Adv. Chem. Ser, 1981, 195: 17-27.

[74]
BIKERMAN J J. General. Foam films[M]//BIKERMAN J J. Foams. Berlin: Springer, 1973: 1-32.

[75]
SRIVASTAVA A, QIAO W H, WU Y B, et al. Effects of silica nanoparticles and polymers on foam stability with sodium dodecylbenzene sulfonate in water-liquid paraffin oil emulsions at high temperatures[J]. Journal of Molecular Liquids, 2017, 241: 1069-1078.

DOI

[76]
ALYOUSEF Z A, ALMOBARKY M A, SCHECHTER D S. The effect of nanoparticle aggregation on surfactant foam stability[J]. Journal of Colloid and Interface Science, 2018, 511: 365-373.

DOI PMID

[77]
VEYSKARAMI M, GHAZANFARI M H. Synergistic effect of like and opposite charged nanoparticle and surfactant on foam stability and mobility in the absence and presence of hydrocarbon: A comparative study[J]. Journal of Petroleum Science and Engineering, 2018, 166: 433-444.

DOI

[78]
YEKEEN N, PADMANABHAN E, IDRIS A K. Synergistic effects of nanoparticles and surfactants on n-decane-water interfacial tension and bulk foam stability at high temperature[J]. Journal of Petroleum Science and Engineering, 2019, 179: 814-830.

DOI

[79]
KAZEMZADEH Y, ESHRAGHI S E, KAZEMI K, et al. Behavior of asphaltene adsorption onto the metal oxide nanoparticle surface and its effect on heavy oil recovery[J]. Industrial & Engineering Chemistry Research, 2015, 54(1): 233-239.

DOI

[80]
ETEMAD S, KANTZAS A, BRYANT S. Efficient nanoparticle transport via CO2 foam to stabilize oil in water emulsions[J]. Fuel, 2020, 276: 118063.

DOI

[81]
HURTADO Y, FRANCO C A, RIAZI M, et al. Improving the stability of nitrogen foams using silica nanoparticles coated with polyethylene glycol[J]. Journal of Molecular Liquids, 2020, 300: 112256.

DOI

[82]
EXEROWA D, CHURAEV N V, KOLAROV T, et al. Foam and wetting films: Electrostatic and steric stabilization[J]. Advances in Colloid and Interface Science, 2003, 104(1/2/3): 1-24.

DOI

文章导航

/