石油工程

井下含水率传感器表面处理技术

  • 杨清海 , 1, 2 ,
  • 高伟 3 ,
  • 魏松波 1 ,
  • 于翔 , 3 ,
  • 于川 1 ,
  • 石白茹 1 ,
  • 杨兴国 2 ,
  • 沈翘楚 2 ,
  • 许箕磊 2
展开
  • 1.中国石油勘探开发研究院,北京 100083
  • 2.吉林油田油气工程研究院,吉林松原 138000
  • 3.中国地质大学,北京 100083
于翔(1969-),男,北京市人,博士,中国地质大学(北京)教授,主要从事气相沉积、表面工程、先进纳米功能材料、传感器和物理化学等方面的研究工作。地址:北京市海淀区学院路29号,中国地质大学(北京)材料科学与工程学院,邮政编码:100083。E-mail:

杨清海(1981-),男,河南新乡人,博士,中国石油勘探开发研究院高级工程师,主要从事智能分层采油、分层测试、井下发电、井下传感技术和石油工程仿生等方面的研究工作。地址:北京市海淀区学院路20号,中国石油勘探开发研究院智能控制与装备研究所,邮政编码:100083。E-mail:

收稿日期: 2022-06-02

  修回日期: 2022-10-13

  网络出版日期: 2022-11-17

基金资助

国家自然科学基金基础科学中心项目“数字经济时代的资源环境管理理论与应用”(72088101)

中国石油天然气集团有限公司科学研究与技术开发项目“智能分层注采工程技术研究”(2021ZG12)

国家重点研发计划/政府间国际科技创新合作重点专项“能源与水纽带关系及高效绿色利用关键技术”(2018YFE0196000)

Surface treatment technology of downhole water cut sensor

  • YANG Qinghai , 1, 2 ,
  • GAO Wei 3 ,
  • WEI Songbo 1 ,
  • YU Xiang , 3 ,
  • YU Chuan 1 ,
  • SHI Bairu 1 ,
  • YANG Xingguo 2 ,
  • SHEN Qiaochu 2 ,
  • XU Jilei 2
Expand
  • 1. PetroChina Research Institute of Petroleum Exploration & Development, Beijing 100083, China
  • 2. Jilin Oilfield Oil & Gas Engineering Research Institute, Songyuan 138000, China
  • 3. China University of Geosciences, Beijing 100083, China

Received date: 2022-06-02

  Revised date: 2022-10-13

  Online published: 2022-11-17

摘要

基于电导式含水率传感器结构、原理和工作环境分析,揭示传感器金属电极在井下长期服役时因井液冲蚀、电化学腐蚀和油液污染等因素综合作用而发生早期失效的过程,提出利用掺硼金刚石(Boron-doped diamond,BDD)薄膜进行电极表面改性处理的方法,提高薄膜改性电极的服役性能。采用热丝化学气相沉积法沉积BDD薄膜,依次调整掺硼浓度、优化沉积时间并进行氟化处理,综合优化BDD薄膜的耐磨损性、耐电化学腐蚀性和疏油性。研究表明:掺硼浓度为6×10-3时薄膜的高耐磨性和耐电化学腐蚀性赋予改性电极良好的耐冲蚀和抗腐蚀能力,摩擦系数和磨损率较因瓦合金分别降低92%和78%,低频阻抗模值大于1×104 Ω·cm2;沉积时间8 h制备的BDD薄膜沉积晶粒尺寸较小且分布均匀,表现出良好的微纳结构,最利于提高改性电极的疏油性能,在模拟井液中的接触角达102°。BDD薄膜改性电极在模拟工况下的应用实践表明,改性电极表现出优异的耐冲蚀磨损、耐电化学腐蚀性以及抗油污黏附能力,可实现电导式含水率传感器在井下苛刻工况下的长期稳定工作。

本文引用格式

杨清海 , 高伟 , 魏松波 , 于翔 , 于川 , 石白茹 , 杨兴国 , 沈翘楚 , 许箕磊 . 井下含水率传感器表面处理技术[J]. 石油勘探与开发, 2022 , 49(6) : 1242 -1251 . DOI: 10.11698/PED.20220382

Abstract

Based on the structure, working principle, and working conditions of conductance water cut sensor, it is revealed that the early failure of the metal electrode of the sensor is due to the comprehensive influence of well fluid erosion, electrochemical corrosion, and oil pollution during its long-term service in the downhole. A technology for electrode surface treatment is proposed using boron-doped diamond (BDD) films to improve the service performance of the modified electrode. The hot wire chemical vapor deposition method was adopted to fabricate BDD film, the boron doping concentration and deposition time were optimized, and fluorination treatment was applied to improve the wear resistance, electrochemical corrosion resistance, and oleophobic property of the BDD film comprehensively. The results showed that BDD film with boron doping concentration of 6×10-3 exhibited high wear resistance and good electrochemical corrosion resistance, and endowed the modified electrode with superior erosion resistance and corrosion resistance. The friction coefficient and wear rate of BDD modified electrode were 92% and 78% lower than those of Invar alloy, also, the low-frequency impedance modulus value of the modified electrode was higher than 1×104 Ω·cm2. The BDD film prepared with a deposition time of 8 h had a favorable micro-nano structure owing to small grain size and uniform distribution. Such morphology was conducive to enhancing the oleophobic performance of the modified electrode, and its contact angle in the simulated well fluid was high to 102°. The engineering applicability of BDD film modified electrode under simulated working conditions indicated that, the modified electrode had excellent comprehensive performances of erosion resistance, electrochemical corrosion resistance and oil adhesion resistance, and can realize the long-term stable operation of the conductance water cut sensor under harsh downhole conditions.

0 引言

油气行业目前正处于数字化进程中,油田开发数字化是油田增储上产和降本增效的必然选择。实现油田开发数字化的基础是采用压力、流量、含水率等油藏动态监测传感器获取大量井下实时数据[1-4]。含水率传感器一般应用在智能分层采油井中,用于监测井下分层含水率,其测量信息对于采油井挖潜、找水以及后续堵水措施制定和注采方案优化具有重要意义[5-8]。井下含水率测量多采用电导式传感器,传感器敏感元件长期浸泡在成分复杂的井液中,工作电极直接与井液中油、水、矿物和腐蚀性介质等物质接触,井液冲蚀、电化学腐蚀和油液污染的共同作用使得电极材料性质、结构特性等参数发生改变,降低传感器测量精度和稳定性,严重影响对井下各层出水情况的判断。为了保障电导式含水率传感器长期稳定测量,需进行电极表面处理,提高其耐磨、耐电化学腐蚀和抗油液污染性能,同时,还要保持电极原有导电能力。
电极表面处理方法主要有电镀铬涂层和涂覆自清洁涂料两种[9-10]。前者可显著改善电极耐磨性,但涂层易剥落,抗污性不佳,且电镀液易造成环境污染[9]。后者可提高电极自清洁性,但此类涂层硬度较低且具有电绝缘性,无法满足电极导电性要求[10]。关于兼具导电性和自清洁特性井下传感器电极的研究报道较为少见。掺硼金刚石(Boron Doped Diamond,BDD)薄膜因具有优异的化学稳定性和耐磨性成为电极表面改性的首选材料[11-13],但至今未见有关BDD薄膜改善电极表面耐磨性、疏油性和耐电化学腐蚀性能的系统研究。
针对现有传感器服役性能需求,本文提出井下含水率传感器电极表面处理技术,采用热丝化学气相沉积法沉积BDD薄膜,系统考察掺硼浓度、沉积时间、氟化改性对BDD薄膜耐磨损性、耐电化学腐蚀性和疏油性的影响,并对BDD改性电极的应用潜力进行评价。

1 传感器电极失效分析和表面改性技术思路

1.1 传感器结构和工作原理

电导式含水率传感器采用3电极一体式结构(见图1),测量敏感部件由镶嵌在环形管壁上的3个因瓦合金圆环组成,即激励电极、接收电极、接地电极。井下油水两相流体自左侧流入传感器流道,从右侧流出。油为绝缘体,地层水在低频和中频下为良导体,在水为连续相条件下,油水混合物导电,但油水混合物含水率影响导电能力。通过测量激励电极和接收电极之间的电压和电流可得到油水混合物的电导率,由此计算出流体含水率[14]
图1 电导式含水率传感器结构示意图

1.2 失效机理分析

传感器服役期间,井液冲蚀、电化学腐蚀、油液污染是造成电导式含水率传感器失效的3个主要因素,会导致电极磨损、腐蚀及油污黏附,造成传感器测量精度和稳定性的逐步降低,最终引发失效(见图2)。
图2 含水率测量值随时间变化规律
①井液冲蚀造成电极磨损,降低测量精度。电极采用的因瓦合金材料中含有大量奥氏体组织,硬度较低,耐磨性较差[15]。在井下工作时,流动的井液不断冲刷因瓦合金电极表面,逐渐导致电极表面材料损失。对于出砂井,井液中含有大量细小固体颗粒,并随井液流动不断撞击和冲蚀磨损电极表面。井液和固体颗粒会在电极表面造成微坑与损伤,长时间作用造成电极表面形态发生改变,使测量精度降低甚至完全失效。
②井液介质诱导电极电化学腐蚀,造成测量结果漂移。井液中含有Cl-、SO42-、CO32-等离子,传感器工作时,电极表面与腐蚀性介质产生离子交换,发生电化学腐蚀,电极表面因冲蚀作用产生的微裂纹为腐蚀微区,会加剧电化学腐蚀进程,形成蚀坑。长时间作用下,蚀坑内稳定性较差的奥氏体相不断腐蚀,可能扩大蚀坑深度,直至穿孔。电极遭受腐蚀后,内部结构被破坏,电阻率分布不均匀,加大测量值与真实值的差异,引起检测结果漂移。
③油污附着于电极表面,阻断电极导电性,直接造成失效。地层产出液具有较大黏滞阻力和较低表面能。采出液流经电极时,原油或其他介质易在电极表面黏附,特别是当电极产生磨损和电化学腐蚀后,表面宏观划痕或蚀坑更容易加剧黏附。电极表面形成油污绝缘层,阻隔电极与井液之间的电信号,造成测量结果失真失效。
综上所述,井液颗粒冲蚀磨损、电化学腐蚀、油液污染的共同作用,是导致井下电导式含水率传感器测量精度下降和稳定性降低的主要因素。为了提高因瓦合金电极的耐磨性、疏油性和耐电化学腐蚀性,需要对其进行薄膜改性,避免传感器失效。

1.3 电极表面改性思路

BDD薄膜具备优异的减摩抗磨性能、导电性以及物理化学稳定性,是改善因瓦合金电极服役性能的理想材料[16]。利用BDD薄膜进行电极表面改性需满足以下3个方面的要求。
①BDD薄膜应具有较低的摩擦系数,以克服井液冲蚀。若BDD薄膜摩擦系数低于0.2,则改性电极具有自润滑性能[17]。具有低摩擦系数、自润滑性能的电极与流体中固体颗粒发生碰撞摩擦时,可有效降低固体颗粒对电极表面的摩擦磨损,提高电极的耐磨性。表面粗糙度可以反映固体表面的摩擦系数和磨损率[18],当表面粗糙度较低时,薄膜表面微凸体和井液中固体颗粒的机械锁合效应较弱,摩擦系数和磨损率较小。薄膜结构中含有较多的石墨相会降低薄膜硬度,易被硬质颗粒刮削,进而导致薄膜表面产生更为严重的磨损[19]。若薄膜具有高含量的金刚石相可避免此现象的发生,能够有效降低固液工作介质对电极表面的冲蚀,提高稳定性。因此,降低薄膜粗糙度和提高薄膜金刚石相含量是实现减小摩擦系数、提高耐磨性的必要策略。本文通过调整掺硼浓度实现薄膜晶粒尺寸、表面粗糙度和金刚石相含量的调控,构建高耐磨改性电极。
②BDD薄膜应具有更高电化学阻抗模值,以改善电极耐电化学腐蚀性能。电化学阻抗模值可反映电极材料发生电化学腐蚀的难易程度[20]。当电极的电化学阻抗模值较高时,因瓦合金不易发生腐蚀。当在电极表面沉积BDD薄膜作为保护层,且薄膜的低频(0.01 Hz)阻抗模值高于1×104 Ω·cm2时,涂层缺陷较少且耐腐蚀性较好,可有效改善电极的耐电化学腐蚀性[21-22]。在因瓦合金电极表面沉积致密且具有高阻抗模值的BDD薄膜是改善耐腐蚀性的关键措施,本文通过优化掺硼浓度和薄膜沉积时间提高薄膜表面致密性,制备高电化学阻抗模值的改性电极。
③BDD薄膜电极表面应具有疏油性,避免电极附着油污。表面微纳米尺寸的微观结构和表面化学组成是调控电极疏油表面的关键[23]。未经改性处理的BDD薄膜表面是亲油状态,因此对微纳微观结构薄膜的表面化学组成进行改性处理是实现薄膜疏油的必要措施。接触角可定量反映电极表面润湿性能,油液接触角大于90°表示电极表面呈现疏油状态,此时油液不易润湿电极。本文通过调控薄膜沉积时间调整BDD薄膜微观形貌,构造微纳米微观结构,并利用氟化剂修饰BDD薄膜降低表面能,提升BDD薄膜的疏油性,制备出油液接触角大于90°的疏油薄膜。

2 BDD改性电极制备与测试

为满足电极表面改性要求,综合调控薄膜沉积时间和掺硼浓度,结合氟化修饰处理,共同协调改性表面的微观结构及化学状态,提高电极耐磨损、耐电化学腐蚀以及疏油性能,克服电极早期失效问题,延长井下服役寿命。

2.1 BDD薄膜制备工艺

采用热丝化学气相沉积系统沉积BDD薄膜,薄膜制备过程分为基材预处理和镀膜两个阶段,后续再根据性能测试结果选取典型BDD薄膜进行氟化改性表面处理。
基材预处理阶段包括3个步骤:①将因瓦合金基材置于丙酮和无水乙醇的混合溶液中超声清洗10 min,去除合金表面油污;②将清洗后的基材用氮气吹干,放入金刚石种晶液(由2 g金刚石微粉和100 mL无水乙醇配制而成)中进行10 min的超声种晶;③将种晶后的基材放入无水乙醇中超声清洗2 min去除多余金刚石微粉,吹干待用。
镀膜阶段。将预处理后的因瓦合金基材置于热丝化学气相沉积反应炉内,通过鼓泡法实现硼元素在金刚石薄膜中的掺杂,即利用氢气将溶解有硼酸三甲酯的乙醇溶液带入反应室,反应室由钨丝提供热源,氢气总流量设为1 025 mL/min,乙醇总流量设为50 mL/min,镀膜期间沉积气压为3 kPa,沉积温度800 ℃。通过调节硼酸三甲酯与乙醇的比例实现对掺硼浓度的控制,以硼酸三甲酯与乙醇混合溶液中的硼、碳原子数之比表示掺硼浓度,掺硼浓度分别设置为3×10-3,6×10-3,9×10-3,12×10-3,共制备4种BDD薄膜。此后,在优选的掺硼浓度下优化沉积时间以调控薄膜显微形态,沉积时间设定为4,6,8,10 h。
利用全氟辛基三甲基硅烷对最佳沉积时间的BDD改性样品进行氟化处理以降低表面能,进一步提升改性电极的抗油污黏附能力。选用全氟辛基三甲基硅烷(5 mL)和乙醇(95 mL)的混合溶液为改性剂,浸泡2 h完成氟化处理。

2.2 BDD薄膜性能测试

2.2.1 耐冲蚀磨损性能测试

利用扫描电子显微镜、拉曼光谱、往复摩擦磨损试验机和电阻测试仪等仪器表征BDD薄膜显微形貌、碳价键结构、摩擦学性能和导电性,评价BDD薄膜电极耐冲蚀性能。其中摩擦实验条件为:模拟井液的成分为水(质量分数80%)、原油(质量分数15%)、氯化钠(质量分数0.5%)和碎屑颗粒(质量分数4.5%);对磨球选用直径6 mm的Si3N4陶瓷球,设定载荷为10 N,往复频率15 Hz;测量值采用每种样品5次测量的平均值。

2.2.2 耐电化学腐蚀性能测试

利用优选工艺参数(最佳耐冲蚀磨损样品参数)下制备的BDD薄膜考察表面改性对电极耐电化学腐蚀性能的改善效果。选取5种自然时效时间下(1周,2周,1个月,2个月,4个月)的BDD薄膜和纯因瓦合金开展对比研究,以质量分数为3.5%的NaCl溶液为腐蚀电解液进行电化学阻抗测量,考察改性前后电极的电化学腐蚀行为差异;扫描频率范围为1×10-2~1×105 Hz,振幅为10 mV。对比因瓦合金和BDD薄膜在电化学阻抗谱(EIS)测试中得到的Nyquist曲线和Bode阻抗曲线图,衡量薄膜的耐电化学腐蚀性和耐久性。

2.2.3 疏油性能测试

分析沉积时间对BDD薄膜微观结构的影响,以及改性样品的疏油性能,选定4,6,8,10 h为研究参量。为直观验证沉积时间对于改性样品疏油能力的影响,采用接触角测量仪测试薄膜改性前后样品的油液接触角,油液黏度约为8 mPa·s,测量值取5个随机位点的测量平均值。

3 结果与讨论

3.1 耐冲蚀磨损性能测试与分析

3.1.1 显微形貌

由4种掺硼浓度BDD薄膜的表面形貌可见(见图3),薄膜连续致密,晶粒棱角清晰,晶粒尺寸随掺硼浓度的增加呈现先减小后增大的变化趋势。掺硼浓度为3×10-3时,平均晶粒尺寸约为0.8 µm,初步实现纳米级晶粒的构建,薄膜表面晶粒多为尖锐的四棱锥形态,这是金刚石(111)晶面的典型结构特征,表明薄膜沿(111)晶向择优生长(见图3a)。掺硼浓度增大至6×10-3,薄膜表面出现部分平整的菱形形态晶粒,对应于金刚石(220)晶面,晶粒尺寸下降至0.6 µm,薄膜微纳结构得到了良好实现(见图3b)。掺硼浓度继续增大至9×10-3,薄膜表面晶粒形态转变为菱形,表明薄膜沿(220)晶向择优生长,此时,平均晶粒尺寸增大至1 µm,薄膜表面起伏增大,微纳结构被破坏(见图3c)。当掺硼浓度增大至12×10-3时,整体晶粒表面形态仍呈菱形,平均晶粒尺寸仍为1 µm,然而,部分二次晶粒的出现进一步增大了薄膜表面起伏(见图3d)。
图3 4种掺硼浓度BDD薄膜的SEM图像

(a)掺硼浓度为3×10-3;(b)掺硼浓度为6×10-3;(c)掺硼浓度为9×10-3;(d)掺硼浓度为12×10-3

BDD晶粒形态的变化归因于硼掺杂对金刚石形核和生长的影响[24]。薄膜沉积过程中,硼元素与离化的—CHnn为H原子数量)基团结合实现掺杂。当掺硼浓度过低时,得益于与基材的高晶格匹配,B—CHn基团优先沿(111)晶面形核与生长,形成择优取向,较大的形核密度则诱导形成纳米晶形态。掺硼浓度增大时,(111)晶面形核作用被抑制,(220)晶面形核密度增大,两者竞相生长,晶粒尺寸得到细化,(111)晶面择优取向被破坏。过大的掺硼浓度则直接导致了(220)晶面的优先形核与生长,晶粒尺寸增大,(220)择优取向凸显,薄膜表面起伏增大。(111)晶向的金刚石晶粒含有更多的硼元素暴露位点,更利于获得良好的导电性能[25]。同时,小尺寸晶粒赋予薄膜低表面粗糙度和良好的微纳结构。因此,掺硼浓度为6×10-3时所制备BDD薄膜具有最小的晶粒尺寸(0.6 µm)和较多的(111)晶面晶粒,薄膜表现出良好纳米级微结构。

3.1.2 碳价键结构

选用6×10-3和12×10-3两种典型掺硼浓度下制备的薄膜对比研究BDD薄膜的碳价键结构(见图4)。拉曼(Raman)光谱是表征碳价键结构的常用方法,拉曼谱图中的特征峰波数代表价键结构类型,特征峰强度则反映价键含量。当掺硼浓度为12×10-3时,可在1 332 cm-1处观测到一个尖锐的特征峰(D峰),对应于sp3杂化的金刚石相;在1 580 cm-1附近亦可观测到一个较强的特征峰(G峰),属于sp2杂化形成的非晶碳相。D峰与G峰的强度比(ID/IG)反映薄膜成相质量和杂质相含量,计算得到ID/IG值为1.25,表明薄膜在此掺硼浓度下的非晶碳相含量较高,薄膜成相质量变差。当掺硼浓度为6×10-3时,仍可观测到D峰和G峰这两个特征峰,不同的是,G峰半高宽增大且强度大幅衰减,D峰变窄,ID/IG值为4.47,此时,BDD薄膜金刚石相含量增大,杂质相含量降低,薄膜成相质量得到改善。
图4 2种掺硼浓度下的BDD薄膜拉曼光谱图
由于硼元素对于金刚石晶格的掺杂作用,掺杂量增大时,薄膜成相质量变差,杂质相含量升高。微量硼元素掺杂能够取代碳原子进入金刚石晶格,但过量硼元素掺杂会与碳氢基团形成化合物,并以非晶碳形式存在。非晶碳硬度和耐磨性远低于金刚石,非晶碳作为杂质相会严重削弱BDD薄膜的摩擦学性能[26]。掺硼浓度为6×10-3时所制备的BDD薄膜表现出高成相质量和低杂质相含量,更利于获得良好的摩擦学性能以应对电极的冲蚀磨损。

3.1.3 摩擦学性能

因瓦合金、未掺硼金刚石薄膜与4种BDD薄膜在稳态条件下的平均摩擦系数对比图显示(见图5a),薄膜改性显著降低了因瓦合金的摩擦系数,调控掺硼浓度可进一步优化薄膜摩擦学性能。改性前,因瓦合金的摩擦系数高达0.62,金刚石薄膜改性后,样品摩擦系数降低为0.4,耐磨性增强。通过硼元素掺杂,改性样品的摩擦系数先降低后升高,掺硼浓度为6×10-3时摩擦系数最低,仅为0.05。值得注意的是,4种掺硼浓度所得BDD薄膜的摩擦系数值均小于0.2,均表现出良好的自润滑效果,符合改性要求。
图5 因瓦合金、未掺硼金刚石薄膜与4种BDD薄膜性能测试对比图
由于硼掺杂引起的晶粒细化和择优取向,薄膜表面粗糙度、磨损率变化规律与摩擦系数保持一致。未掺硼的金刚石薄膜具有较大的表面粗糙度和磨损率,分别为132 nm和15×10-7 mm3/(N·mm)。随掺硼浓度的增大,表面粗糙度和磨损率均呈现先降低后升高的变化趋势,掺硼浓度为6×10-3时薄膜改性样品具有最低的表面粗糙度和磨损率,分别为35.2 nm和4.8× 10-7 mm3/(N·mm)(见图5b、图5c)。上述结果表明,掺硼浓度为6×10-3时制备的BDD薄膜具有最优的摩擦学性能,能够改善电极因井液冲蚀而发生的磨损失效。

3.1.4 导电性

测定BDD薄膜改性样品的电阻值以评估改性对导电能力的影响(见图5d),改性样品的电阻值略高于因瓦合金,随着掺硼浓度增大,BDD薄膜空穴数量和杂质相含量增加,薄膜电阻减小。整体上BDD薄膜改性样品与因瓦合金电阻值相近,表明BDD薄膜改性不会损害电极的导电能力,因此不会影响测量核心功能。

3.2 耐电化学腐蚀性能测试与分析

根据Nyquist曲线的实部阻抗曲线半径可以评估材料的耐电化学腐蚀性,曲线所在圆弧半径越大或者低频下Nyquist曲线的斜率越大,表明材料的阻抗越大,即具有更好的耐电化学腐蚀性[27]。5种自然时效下BDD薄膜和因瓦合金的Nyquist曲线对比显示(见图6),BDD薄膜Nyquist曲线实部阻抗圆弧半径均明显高于因瓦合金,表明BDD薄膜的耐电化学腐蚀性优于因瓦合金。随着时效时间的增加,BDD薄膜Nyquist曲线圆弧半径有所降低,这是由于随着存储时间的增加,空气对BDD薄膜的氧化作用造成薄膜自身耐电化学腐蚀性能弱化。但空气的氧化作用未严重破坏BDD 薄膜结构,其曲线半径显著高于因瓦合金,说明改性电极表现出稳定且良好的耐电化学腐蚀性能。
图6 因瓦合金与5种自然时效下BDD薄膜Nyquist曲线
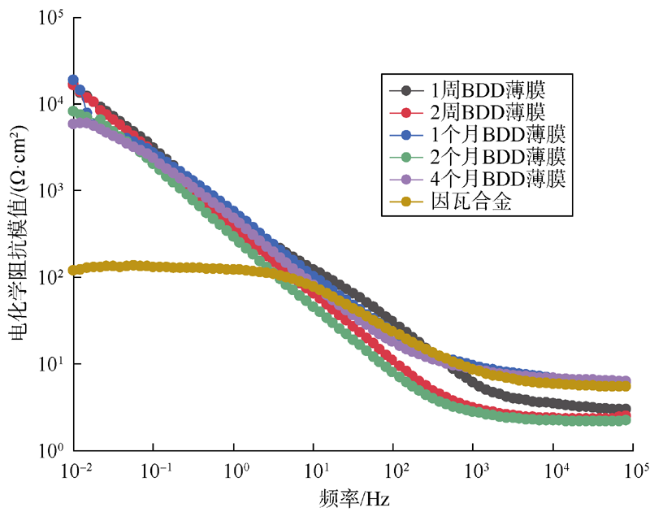
Bode阻抗曲线低频区0.01 Hz对应的电化学阻抗模值代表样品的整体阻抗,其模值越大,表明薄膜的耐电化学腐蚀性能越好[28]。5种自然时效下的BDD薄膜与因瓦合金Bode阻抗曲线图显示(见图7),因瓦合金的电化学阻抗模值为118.6 Ω·cm2,5种自然时效下(1周,2周,1个月,2个月,4个月)的BDD薄膜阻抗模值分别为1.68×104,1.63×104,1.85×104,0.82× 104,0.58×104 Ω·cm2。自然时效为1周、2周、1个月时BDD薄膜电化学阻抗模值高于1×104 Ω·cm2;自然时效为2个月和4个月时BDD薄膜的电化学阻抗模值略低于1×104 Ω·cm2,但仍明显高于改性前的样品。Bode阻抗曲线同样证实了BDD薄膜良好的耐电化学腐蚀性和耐久性,与Nyquist曲线结果共同表明BDD薄膜改性能够提高井下电导式传感器电极的耐电化学腐蚀性能,保障了其在井下环境中良好的电化学稳定性。
图7 因瓦合金与5种自然时效下BDD薄膜Bode曲线
BDD薄膜改性有效改善传感器电极耐电化学腐蚀性能得益于3个因素的综合作用:①BDD薄膜阻断了腐蚀介质的传播途径,避免电极与腐蚀介质直接接触;②BDD薄膜自身的电化学稳定性能够抵抗腐蚀介质的侵蚀作用;③BDD薄膜具有良好的耐侵蚀性,避免腐蚀缝隙和蚀坑的萌生。

3.3 疏油性能测试与分析

不同沉积时间下制备薄膜的表面形貌显示(见图8),随沉积时间延长,晶粒平均粒径逐渐增大,薄膜均质性先变好后变差。沉积时间4 h时(见图8a),晶粒平均尺寸较小、粒径差异较大,薄膜致密性和表面结构均质性较差;沉积时间6 h时(见图8b),薄膜致密性提高,平均晶粒尺寸增加,但晶粒无择优取向,粒径差异未改善;沉积时间8 h时(见图8c),表面晶粒尺寸继续增大,但仍呈现纳米晶形态,晶粒多呈尖锐四棱锥形,表现出择优取向,薄膜表面晶粒尺寸和分布均匀,薄膜均质性良好;沉积时间10 h时(见图8d),晶粒平均尺寸过大,表面起伏增加,薄膜均质性变差。
图8 不同沉积时间制备BDD薄膜的表面形貌

(a)沉积时间为4 h;(b)沉积时间为6 h;(c)沉积时间为8 h;(d)沉积时间为10 h

薄膜微观结构的变化是两方面因素共同作用的结果:①延长沉积时间,外界热源、碳源持续输入,促进晶粒形核和长大;②延长沉积时间,已生长的BDD晶粒晶界能下降,抑制晶粒生长过程。二者协同作用可形成均质的纳米晶BDD薄膜。沉积时间8 h制备的BDD薄膜沉积晶粒尺寸较小且分布均匀,表现出良好的微纳结构,最利于提高改性电极的疏油性能。
因瓦合金和4个不同沉积时间BDD薄膜的油液接触角检测结果显示(见图9),BDD薄膜改性有效改善了样品疏油能力。因瓦合金表现出强亲油性,接触角最小(26.58°),这是由于因瓦合金主要由Fe(64%)和Ni(36%)元素组成,原子间的强非极性金属键造成高表面能[29],油液极易在因瓦合金表面铺展。不同于因瓦合金,BDD薄膜的表面能较低,油液在薄膜表面的铺展能力下降,薄膜疏油性提高。随着沉积时间延长,BDD薄膜均质性提高,表面粗糙度增加,微纳结构对薄膜疏油性的贡献逐渐加大,沉积时间8 h的BDD薄膜的油液接触角达到56.70°,是因瓦合金的2倍以上,表明调控沉积时间可以有效改善BDD薄膜的疏油性能,进而提升改性电极的抗油污黏附能力。沉积时间继续延长至10 h后,BDD薄膜的油液接触角衰减至49.41°,这可归因于薄膜晶粒尺寸的增大。
图9 因瓦合金(沉积时间为零)和不同沉积时间BDD薄膜的接触角检测结果
氟化处理后BDD薄膜在不同放大倍率下的SEM图像显示(见图10a、图10b),整体晶粒形态未发生改变,但晶粒表面有灰色膜状物质附着,为新的纳米级凸起,这归结于氟化剂与金刚石官能团的交互作用和自组装过程。纳米级凸起的出现与氟化剂的引入能够降低薄膜表面能并赋予薄膜更强的疏油能力。氟化处理后薄膜改性样品的油滴接触角达97.5°,呈现出疏油效果(见图10c),这一结果为BDD薄膜改性提升电极抗油污黏附能力提供了直接证据。
图10 氟化处理对BDD薄膜润湿性的影响

(a)5 000倍SEM图像;(b)20 000倍SEM图像;(c)氟化处理样品接触角;(d)模拟井液环境下接触角

为进一步考察改性电极的疏油性能,以井下原油为目标物,测试改性电极在模拟井液环境下的原油接触角。将原油与水以1∶1的体积比混合后加热到60 ℃作为模拟井液,并置于玻璃槽中。将薄膜改性样品浸没于模拟井液,并将原油吸入注射器内。使用U形针头滴加原油至样品表面,采集照片后逆时针旋转180°,完成结果标定,如图10d所示。改性样品的原油接触角高达102°,是因瓦合金的近4倍,表现出优良的疏油效果。

4 模拟工程测试与传感器封装

为评估BDD改性薄膜策略的工程适用性,开展模拟实际工况下的性能测试。依次考察改性电极的耐冲蚀、耐电化学腐蚀以及抗油污黏附能力,并优化传感器的封装工艺,保障电极表面薄膜的完整性。通过在模拟工况下进行验证实验,对其结果进行分析评价。

4.1 耐冲蚀性能

模拟工况对象为含水率高、出砂量大的采油井,实验条件设定如下:配制体积比为1∶10的原油与水混合液500 mL作为井液,选用50 g平均粒径为3 mm的石英砂粒作为电极元件摩擦副,在100 r/min的速度下搅拌混合液模拟井液流动,将电极置于上述混合体系中进行加速实验。24 h后取出电极元件并用丙酮溶液超声清洗电极表面,氮气吹干后观测其表面宏观形貌。此外,利用摩擦磨损实验机对改性前后的电极元件进行实验以获得摩擦学性能指标。
图11为改性前后电极元件实物形貌。改性前电极元件表面有明显的砂粒磨痕形貌(见图11a),改性后电极表面无明显的砂粒磨痕,黑色薄膜覆盖良好,无脱落(见图11b)。电极改性前后摩擦系数分别为0.65,0.08,磨损率分别为24.2,5.1 mm3/(N·mm),BDD薄膜改性使得电极的摩擦系数和磨损率分别降低了约88%和79%,能够充分保障改性电极在模拟井液环境下的耐冲蚀磨损性能。
图11 改性前(a)和改性后(b)电极元件宏观冲蚀形貌

4.2 耐电化学腐蚀性能

配制腐蚀介质溶液,对改性前后的电极元件进行电化学腐蚀实验。实验温度为60 ℃,腐蚀介质溶液pH值为6.9,离子组成为:Cl-质量浓度为3 619.5 mg/L,CO32-质量浓度为673.5 mg/L,HCO3-质量浓度为1 604.8 mg/L,SO42-质量浓度小于5 mg/L。对改性前后的电极元件施加+0.5 V的电位值浸没于模拟井液中,用磁力搅拌机以100 r/min的速度搅拌混合液模拟井液流动进行加速实验,1 h后取出电极观测表面形貌。
改性前电极表面有明显的锈渍和不规则坑洞(见图12a)。改性后电极表面有少许锈渍,但并未出现明显坑洞(见图12b)。为了进一步观察改性前后电极元件表面腐蚀形貌,利用SEM对腐蚀区域进行微观形貌观测。改性前电极表面出现大量直径为1~10 µm的腐蚀坑,并伴有少量长度为3~25 µm的腐蚀微裂纹(见图12c)。改性后电极表面并未出现腐蚀坑洞和微裂纹,绝大部分BDD晶粒保存完好,少许晶粒表面附着直径约为100~500 nm的颗粒(见图12d),这些颗粒是遭受腐蚀破坏后的BDD晶粒,其宏观表现为图12b所示的锈渍。因此,改性电极耐电化学腐蚀性能优良,电极在加速腐蚀实验中未发生明显的电化学腐蚀,能够承受井液环境的电化学腐蚀。
图12 电极元件表面腐蚀形貌图

(a)未镀膜电极宏观腐蚀形貌;(b)镀膜电极宏观腐蚀形貌;(c)未镀膜电极微观腐蚀形貌;(d)镀膜电极微观腐蚀形貌

4.3 疏油性能

从时间稳定性和温度稳定性两方面共同评价BDD薄膜的疏油性能。BDD薄膜在空气环境下油液接触角随时间的变化图显示(见图13a),在空气温度25 ℃、最长暴露时间15 d条件下,随时间的延长,薄膜的油液接触角始终保持在90°左右,未发生大幅度衰减。将改性样品置于原油和水(体积比1∶3)的两相混合液中,加热至50 ℃模拟井液环境,同时高速搅拌混合液以模拟井液流动,随时间延长,样品原油接触角只发生了轻微衰减(见图13b)。两种环境下的测试表明薄膜表面状态和表面性质稳定,疏油性能持久。
图13 BDD薄膜改性电极抗油污黏附稳定性评价

(a)空气环境下油液接触角;(b)井液环境下原油接触角;(c)电极表面油液铺展情况,红色圆圈显示原油在改性电极表面的形态,紫色圆圈显示原油与水两相混合液在改性电极表面的形态;(d)电极内壁油液铺展情况,红色圆圈显示原油在改性电极表面的形态

对BDD薄膜改性电极进行疏油性能验证(见图13c、图13d),红色圆圈显示原油在改性电极表面的形态,紫色圆圈显示原油与水两相混合液在改性电极表面的形态。可以看出,原油和油水混合液均未在改性电极表面铺展,而是呈液滴形态,直观地展示了改性电极的良好疏油性能。同样,原油在改性电极内壁也表现出良好的疏油性能。
综上所述,在模拟工况测试中,BDD薄膜改性电极元件表现出良好的耐冲蚀磨损性能、耐电化学腐蚀性能以及疏油性能,具有长期适应井下测量环境的能力。

4.4 传感器封装

为了保障含水率传感器在井下复杂环境中的测量准确性和长期可靠性,采用了一体化结构和封装工艺,将3个电极环和导线一体注塑在传感器管壁内。
原有制造工艺使用一根锥形模具钢作为芯轴,在芯轴上根据电极设计间距从大到小依次加工出环形定位台阶以固定电极环,将外径一致、与定位台阶间隙配合的电极环套入芯轴,并与外模具固定(见图14a)。在380 ℃、130 MPa条件下注入聚醚醚酮(PEEK)材料,待工件降温冷却后,利用镗刀将工件芯轴部分掏空,使电极环内表面在工件内部露出,完成内加工。该制造工艺中,电极表面成型是在最后一道工序中由镗刀加工完成,并且在管内壁较深位置,BDD薄膜制备工艺无法实施。
图14 含水率传感器封装工艺对比及实物图
为了保障BDD薄膜改性电极表面的完整性,对封装工艺进行了优化改进。优化后的注塑模具为3层结构,包括芯轴、骨架和外模具(见图14b)。芯轴为圆柱型模具钢,设计有定位结构,将非金属绝缘材料的骨架环和改性后的电极环根据设计尺寸精准串联安装。骨架环与电极环之间涂刷偶联剂,起到防漏密封作用,骨架的定位结构与外模具定位安装。之后进行注塑,同样在380 ℃、130 MPa条件下进行,将电极安装后注入支撑材料,完成后降温冷却,利用工装将芯轴抽出,再进行退火处理。利用该工艺完成了传感器样机制造(见图14c)。实践表明,该封装工艺既能保障注塑工艺过程中传感器电极与支撑结构的紧密结合,还能够保障传感器敏感电极表面结构的完整性。

5 结论

井液冲蚀、电化学腐蚀和油液污染容易造成电导式含水率传感器电极的磨损、腐蚀及结垢,导致电极早期失效。利用BDD薄膜表面改性技术对电极表面进行处理,通过调控掺硼浓度和沉积时间,结合氟化处理可改善电极的耐磨性、耐电化学腐蚀性及疏油性。调整掺硼浓度可改善薄膜的表面微观形态,掺硼浓度为6×10-3时薄膜的高耐磨性和耐电化学腐蚀性赋予改性电极良好的耐冲蚀和抗腐蚀能力,沉积时间8 h制备的BDD薄膜沉积晶粒尺寸较小且分布均匀,表现出良好的微纳结构,最利于提高改性电极的疏油性能。
BDD薄膜改性电极在模拟工况下的应用实践表明,改性电极表现出优异的耐冲蚀磨损、耐电化学腐蚀以及抗油污黏附能力。传感器样机封装测试结果表明,优化封装工艺保障了改性电极与支撑结构紧密结合和电极表面结构的完整性。
BDD薄膜表面处理技术有望保障电导式含水率传感器在采油井复杂工况下的长期稳定工作,同时,该技术还可应用于其他井下传感器的表面改性,保障井下传感技术和器件的长期准确测量。
[1]
贾德利, 刘合, 张吉群, 等. 大数据驱动下的老油田精细注水优化方法[J]. 石油勘探与开发, 2020, 47(3): 629-636.

JIA Deli, LIU He, ZHANG Jiqun, et al. Data-driven optimization for fine water injection in a mature oil field[J]. Petroleum Exploration and Development, 2020, 47(3): 629-636.

[2]
宋红伟, 郭海敏, 郭帅, 等. 水平井油水两相分层流分相流量测量方法[J]. 石油勘探与开发, 2020, 47(3): 573-582.

SONG Hongwei, GUO Haimin, GUO Shuai, et al. Partial phase flow rate measurements for stratified oil-water flow in horizontal wells[J]. Petroleum Exploration and Development, 2020, 47(3): 573-582.

[3]
李明, 彭振洲, 孙志伟, 等. 分布式光纤传感器在油田水井注入剖面监测中的应用[J]. 科技和产业, 2020, 20(12): 242-246.

LI Ming, PENG Zhenzhou, SUN Zhiwei, et al. Application of distributed fiber optic sensors in oilfield water well injection profile monitoring[J]. Science Technology and Industry, 2020, 20(12): 242-246.

[4]
董鹏敏, 肖艳鹏, 管争荣, 等. 矿化度对微波含水率传感器测量精度影响的研究[J]. 自动化仪表, 2017, 38(11): 80-83.

DONG Pengmin, XIAO Yanpeng, GUAN Zhengrong, et al. Study on the influence of the salinity on the measurement accuracy of microwave moisture content sensor[J]. Process Automation Instrumentation, 2017, 38(11): 80-83.

[5]
尤波, 孙瑞达, 张天勇. 基于电导法的原油含水率测量改进方法[J]. 传感技术学报, 2019, 32(9): 1308-1312.

YOU Bo, SUN Ruida, ZHANG Tianyong. Method for optimizing moisture content of crude oil based on electric conductivity method[J]. Chinese Journal of Sensors and Actuators, 2019, 32(9): 1308-1312.

[6]
张峰, 赵晓, 贺嘉聪. 新型电化学阻抗谱在线润滑油含水率监测传感器的测试[J]. 润滑与密封, 2011, 36(5): 116-118, 121.

ZHANG Feng, ZHAO Xiao, HE Jiacong. A novel electrochemical impedance spectroscopy sensor for on-line measurement of water content in oil[J]. Lubrication Engineering, 2011, 36(5): 116-118, 121.

[7]
董鹏敏, 李晓辉, 田宝, 等. 温度对高含水原油含水率传感器检测精度影响的试验分析[J]. 化工自动化及仪表, 2017, 44(6): 568-571, 580.

DONG Pengmin, LI Xiaohui, TIAN Bao, et al. Experimental analysis of temperature influence on the moisture sensor accuracy in detecting crude oil with high water content[J]. Control and Instruments in Chemical Industry, 2017, 44(6): 568-571, 580.

[8]
刘合, 郑立臣, 杨清海, 等. 分层采油技术的发展历程和展望[J]. 石油勘探与开发, 2020, 47(5): 1027-1038.

LIU He, ZHENG Lichen, YANG Qinghai, et al. Development and prospect of separated zone oil production technology[J]. Petroleum Exploration and Development, 2020, 47(5): 1027-1038.

DOI

[9]
刘海华, 王永宁, 罗斌, 等. 不锈钢上离子镀硬铬层的性能研究[J]. 电镀与涂饰, 2014, 33(3): 108-110, 137.

LIU Haihua, WANG Yongning, LUO Bin, et al. Study on properties of hard chromium coating prepared by ion plating on stainless steel[J]. Electroplating & Finishing, 2014, 33(3): 108-110, 137.

[10]
蓝敏杰, 文庆珍, 朱金华. 自清洁涂层的制备及应用研究进展[J]. 材料保护, 2020, 53(3): 129-134.

LAN Minjie, WEN Qingzhen, ZHU Jinhua. Preparation and application of self-cleaning coating[J]. Materials Protection, 2020, 53(3): 129-134.

[11]
MACPHERSON J V. A practical guide to using boron doped diamond in electrochemical research[J]. Physical Chemistry Chemical Physics, 2015, 17(5): 2935-2949.

DOI PMID

[12]
HUANG Q, YU D L, XU B, et al. Nanotwinned diamond with unprecedented hardness and stability[J]. Nature, 2014, 510(7504): 250-253.

DOI

[13]
YANG N J, YU S Y, MACPHERSON J V, et al. Conductive diamond: Synthesis, properties, and electrochemical applications[J]. Chemical Society Reviews, 2019, 48(1): 157-204.

DOI PMID

[14]
樊尚春, 梁虹. 电容式固态物含水率传感器的模型[J]. 仪器仪表学报, 2004, 25(S1): 1022-1023.

FAN Shangchun, LIANG Hong. Mathematical model of capacitive-type moisture sensor[J]. Chinese Journal of Scientific Instrument, 2004, 25(S1): 1022-1023.

[15]
赖志伟, 吴俊良, 文玉华, 等. 新型奥氏体不锈钢的耐磨性研究[J]. 摩擦学学报, 2009, 29(2): 128-133.

LAI Zhiwei, WU Junliang, WEN Yuhua, et al. Study of a new type austenitic stainless steel with better wear resistance[J]. Tribology, 2009, 29(2): 128-133.

[16]
HE Y P, LIN H B, GUO Z C, et al. Recent developments and advances in boron-doped diamond electrodes for electrochemical oxidation of organic pollutants[J]. Separation and Purification Technology, 2019, 212: 802-821.

DOI

[17]
ZHAO Z Y, YU X, ZHANG Z Q, et al. Attempting AG-doped diamond-like carbon film to improve seal performance of hydraulic servo-actuator[J]. Materials, 2020, 13(11): 2618.

DOI

[18]
LI J, YU X, ZHANG Z Q, et al. Exploring a diamond film to improve wear resistance of the hydraulic drilling impactor[J]. Surface and Coatings Technology, 2019, 360: 297-306.

DOI

[19]
SCHWARZOVÁ-PECKOVÁ K, VOSÁHLOVÁ J, BAREK J, et al. Influence of boron content on the morphological, spectral, and electroanalytical characteristics of anodically oxidized boron-doped diamond electrodes[J]. Electrochimica Acta, 2017, 243: 170-182.

DOI

[20]
ZHOU Y F, LI L L, HU T S, et al. Role of TiC nanocrystalline and interface of TiC and amorphous carbon on corrosion mechanism of titanium doped diamond-like carbon films: Exploration by experimental and first principle calculation[J]. Applied Surface Science, 2021, 542: 148740.

DOI

[21]
ARIFFIN M M, AUNG M M, ABDULLAH L C, et al. Assessment of corrosion protection and performance of bio-based polyurethane acrylate incorporated with nano zinc oxide coating[J]. Polymer Testing, 2020, 87: 106526.

DOI

[22]
SCULLY J R, HENSLEY S T. Lifetime prediction for organic coatings on steel and a magnesium alloy using electrochemical impedance methods[J]. Corrosion, 1994, 50(9): 705-716.

DOI

[23]
LIU M J, WANG S T, WEI Z X, et al. Bioinspired design of a superoleophobic and low adhesive water/solid interface[J]. Advanced Materials, 2009, 21(6): 665-669.

DOI

[24]
ZHANG J, YU X, ZHANG Z Q, et al. Preparation of boron-doped diamond foam film for supercapacitor applications[J]. Applied Surface Science, 2020, 506: 144645.

DOI

[25]
PEI J X, YU X, ZHANG C, et al. Development of a boron-doped diamond electrode for the simultaneous detection of Cd2+ and Pb2+ in water[J]. International Journal of Electrochemical Science, 2019, 14(4): 3393-3407.

[26]
WANG X C, ZHANG J G, SHEN B, et al. Fracture and solid particle erosion of micro-crystalline, nano-crystalline and boron-doped diamond films[J]. International Journal of Refractory Metals and Hard Materials, 2014, 45: 31-40.

DOI

[27]
XU X, LU H F, LUO K Y, et al. Mechanical properties and electrochemical corrosion resistance of multilayer laser cladded Fe-based composite coatings on 4Cr5MoSiV1 steel[J]. Journal of Materials Processing Technology, 2020, 284: 116736.

DOI

[28]
RIBEIRO D V, ABRANTES J C C. Application of electrochemical impedance spectroscopy (EIS) to monitor the corrosion of reinforced concrete: A new approach[J]. Construction and Building Materials, 2016, 111: 98-104.

DOI

[29]
WEI K, YANG Q D, LING B, et al. Mechanical properties of Invar 36 alloy additively manufactured by selective laser melting[J]. Materials Science and Engineering: A, 2020, 772: 138799.

DOI

文章导航

/