油气田开发

油基钻井液体系轻烃组分分配系数计算及应用

  • Bacem Rabie Ben ABDALLAH , 1 ,
  • Riadh AHMADI 1 ,
  • Frederic LYNEN 2 ,
  • Farhat REKHISS 1
展开
  • 1 突尼斯斯法克斯国家工程学院LR3E实验室,斯法克斯 3000,突尼斯
  • 2 比利时根特大学有机与高分子化学系,根特 9000,比利时

ABDALLAH Bacem Rabie Ben(1989-),男,突尼斯人,斯法克斯国家工程学院在读博士研究生,主要从事油藏流体评价、岩石物理解释等方面的研究工作。地址:Laboratoire LR3E. Ecole Nationale d’Ingénieurs de Sfax, Rte Soukra km 3, Sfax 3000, Tunisia。E-mail:

Copy editor: 胡苇玮

收稿日期: 2021-07-13

  修回日期: 2022-06-08

  网络出版日期: 2022-07-25

Calculation and application of partition coefficients of light hydrocarbons in oil-based mud system

  • Bacem Rabie Ben ABDALLAH , 1 ,
  • Riadh AHMADI 1 ,
  • Frederic LYNEN 2 ,
  • Farhat REKHISS 1
Expand
  • 1 Laboratoire LR3E. Ecole Nationale d’Ingénieurs de Sfax, Rte Soukra km 3, Sfax, Tunisia
  • 2 Separation Science Group, Department of Organic and Macromolecular Chemistry, Ghent University, Krijgslaan 281-S4, B-9000 Ghent, Belgium

Received date: 2021-07-13

  Revised date: 2022-06-08

  Online published: 2022-07-25

摘要

采用一种基于静态顶空气相色谱技术的热力学方法研究了油基钻井液、地层流体和钻井液气体之间的关系,计算了两种油基钻井液-空气体系nC5—nC8范围内47种轻烃组分的分配系数,在热力学平衡条件下开展原始地层流体组分重构。研究表明,油基钻井液对钻井液气体中nC5—nC8范围内的地层流体组分的影响很小,对于低毒性合成油基钻井液,影响小于1%,对于柴油基钻井液,影响小于10%。对于多数轻烃组分,采用气相校准法和直接定量法确定的分配系数的误差小于10%,直接定量法计算的分配系数更准确。两种原油样品重构组分与真实组分之间的匹配度分别为91%和89%,证明利用nC5—nC8范围内轻烃组分分配系数通过静态顶空分析重构原始地层流体组分的可行性和准确性较高。

本文引用格式

Bacem Rabie Ben ABDALLAH , Riadh AHMADI , Frederic LYNEN , Farhat REKHISS . 油基钻井液体系轻烃组分分配系数计算及应用[J]. 石油勘探与开发, 2022 , 49(4) : 787 -797 . DOI: 10.11698/PED.20210470

Abstract

To find out the relationship between the oil-based mud, the formation fluid and the extracted gas, we use a thermodynamic approach based on static headspace gas chromatography technique to calculate the partition coefficients of 47 kinds of light hydrocarbons compounds between nC5 and nC8 in two kinds of oil-based mud-air systems, and reconstruct the original formation fluid composition under thermodynamic equilibrium. The oil-based drilling mud has little effect on the formation fluid compositions in the range of nC5-nC8 (less than 1% for low-toxicity oil-based mud and less than 10% for oil-based mud). For most light hydrocarbon compositions, the partition coefficients obtained by vapor phase calibration and the direct quantitative methods have errors of less than 10%, and the partition coefficients obtained by direct quantitative method are more accurate. The reconstructed compositions of the two kinds of crude oil have match degrees of 91% and 89% with their real compositions, proving the feasibility and accuracy of reconstructing the composition of original formation fluid by using partition coefficients of light hydrocarbon compositions between nC5 and nC8.

0 引言

在油气地球化学领域,轻烃组分作为烃源岩成熟度和物源、原油类型和衍生物、石油蚀变状态、油-油对比、气油比估算甚至烃源岩岩相影响分析的指标一直应用广泛[1-8]。虽然钻井液中轻烃组分提取与分析技术取得了进步,但在使用钻井液气测数据时大多仅局限于C1—nC5数据,而没有使用nC5—nC8数据。钻井液气测数据解释采用传统的Pixler图方法[9]、湿度平衡特性方法[10-11]和随钻气测方法[12]等,这些方法不适用于目前以较高质量提取的数据,如采用恒温定容设备提取的数据。尽管近几年钻井液气测数据解释方法有所发展,但仍局限于使用C1—nC5数据预测烃源岩成熟度[13]、天然气成因[14]以及在常规油气勘探过程中进行相关研究[15-16]。研究者尝试了许多定量方法来确定钻井液中气体的真实含量,这些方法主要基于钻井液脱气装置提取系数的计算[17-21]。还有一些研究者采用了热力学方法,这些研究也仅限于使用C1—nC5数据[22-23]。然而C1—nC5数据不足以表征地层流体,尤其是原油。为了明确钻井液中提取的轻烃组分在地层流体评价中的重要性以及油基钻井液对钻井液气测数据的影响,有必要采用封闭系统热力学方法开展研究。这种方法是在热力学平衡条件下对液相(钻井液和原油的混合物)和气相(从钻井液中提取的气体)之间的轻烃组分差异进行分析。热力学平衡条件下轻烃组分在气液两相中的分布用分配系数来表示。分配系数对于了解油基钻井液、地层流体和钻井液气体之间的真实关系至关重要。研究人员使用不同方法来确定分配系数,例如采用经验关系式[24]、改进的Redlich-Kwong状态方程[25],或者使用顶空气相色谱技术通过实验来测定分配系数[26-27]
本文旨在揭示钻井液对地层原油轻烃组分(nC5—nC8)的影响。此外,利用热力学方法,通过确定不同油基钻井液-空气体系中47种轻烃化合物(nC5—nC8)的分配系数,建立地层流体组分与地面钻井液轻烃组分之间的关系。基于两种原油样品,探讨分配系数在根据顶空轻烃组分进行原始地层流体组分重构中的应用潜力。

1 材料及方法

1.1 化学剂

从Sigma-Aldrich化学剂公司获取了正戊烷(nC5,相对密度0.626,纯度99%)、正己烷(nC6,相对密度0.66,纯度99%)、苯(Benz,相对密度0.879,纯度99%)、环己烷(CH,相对密度0.78,纯度99%)、正庚烷(nC7,相对密度0.68,纯度99%)、2,2,4-三甲基戊烷(TMP,相对密度0.692,纯度99%)、甲基环己烷(MCH,相对密度0.77,纯度99%)、甲苯(TOL,相对密度0.865,纯度99.8%)、正辛烷(nC8,相对密度0.703,纯度99%)。
使用nC5、nC6、Benz、CH、TMP、nC7、MCH、TOL和nC8制备两种混合原液(STK1和STK2)。原液中各轻烃组分含量如表1所示。两种原液均存储于4 ℃环境。然后,使用甲醇和乙醇的混合物(两者体积比为2∶1)对STK1和STK2进行稀释,分别得到标准溶液ESTD1和ESTD2-L1—ESTD2-L10。利用四步多重顶空提取技术[28]在140 ℃下使不同体积的ESTD1实现完全蒸发,制备用于顶空定量分析的标准蒸气EVST1—EVST6。ESTD1及不同标准蒸气中各轻烃组分含量如表1所示。标准溶液ESTD2-L1—ESTD2-L10的质量浓度分别为10,50,100,250,500,1 000,2 500,5 000,8 000,10 000 mg/L,每种溶液中各轻烃组分的含量相同。
表1 原液、标准溶液和标准蒸气中各轻烃组分的含量
溶液 不同溶液中某组分的含量/(µg·L-1)
类型 编号 nC5 nC6 Benz CH TMP nC7 MCH TOL nC8
原液 STK2 44900000.00 44900000.00 44900000.00 44900000.00 44900000.00 44900000.00 44900000.00 44900000.00 44900000.00
STK1 69600000.00 73300000.00 97700000.00 86700000.00 76900000.00 75600000.00 85600000.00 96100000.00 78100000.00
标准
溶液
ESTD1 278220.00 293330.00 390670.00 346670.00 307560.00 302220.00 342220.00 384440.00 312440.00
标准
蒸气
EVST1 14.06 14.82 19.74 17.51 15.54 15.27 17.29 19.42 15.78
EVST2 42.19 44.48 59.25 52.57 46.64 45.83 51.90 58.30 47.38
EVST3 168.98 178.16 237.28 210.55 186.80 183.56 207.85 233.50 189.77
EVST4 380.21 400.86 533.87 473.74 420.29 413.00 467.67 525.37 426.97
EVST5 1284.18 1353.93 1803.18 1600.10 1419.57 1394.96 1579.58 1774.46 1442.14
EVST6 2562.16 2701.32 3597.67 3192.47 2832.30 2783.18 3151.54 3540.37 2877.32

1.2 钻井液

本文选取两种常用的油基钻井液:一种是柴油基钻井液,另一种是低毒性合成油基钻井液。其组成和性质如表2所示。使用的原油为科罗拉多轻质原油COL1,相对密度为0.825,轻烃(nC5—nC8)含量超过23%。
表2 钻井液物性
种类 密度/
(g·cm-3)
漏斗
黏度/s
塑性黏度/
(mPa·s)
动切
力/Pa
初切
(终切)/Pa
固体体积
分数/%
油水比 氯含量/
(mg·L-1)
石灰含量/
(g·mL-1)
重晶石体积
分数/%
乳化
稳定性/%
含砂
量/%
润滑剂
含量/%
柴油基
钻井液
1.36
(28 ℃)
43 15 7.6 5.3
(6.2)
13.76 81∶19 81 521 18.24 950 0.2
低毒性合成
油基钻井液
1.23
(23 ℃)
75 23 5.3 6.7
(5.3)
14.52 79∶21 37 500 6.65 646 0.1 2.7
采用以下方法制备两类样品,以模拟钻井作业期间的真实油基钻井液。①将455 µL的ESTD1或原油注入装有45.5 mL钻井液(柴油基钻井液或低毒性合成油基钻井液)的容积为93 mL的不锈钢气密反应容器中,则ESTD1或原油的体积分数为1%,对应的相比值(气相、液相体积比)为1.041。将ESTD1或原油注入钻井液后,立即密封气密反应容器,然后使用磁力搅拌棒在20 ℃下以250 r/min的转速搅拌10 min,直到混合物达到平衡状态,从而制备得到钻井液溶液样品。②将46 mL钻井液加入容积为93 mL的气密反应容器中,不添加ESTD1或原油。然后,立即密封气密反应容器,使用磁力搅拌棒在20 ℃下以250 r/min的转速搅拌10 min,直到混合物达到平衡状态,从而制备得到钻井液背景样品。

1.3 静态顶空提取流程

采用自主设计的半自动顶空采样系统(见图1)提取和注入顶空气体。该系统基于压力/回路系统设计,可以在气密反应容器中处理较大体积(高达70 mL)的钻井液溶液。基于该系统,使用了两种不同的顶空采样技术:对于钻井液溶液样品和钻井液背景样品,采用静态顶空单次提取技术[26];对于标准溶液ESTD1,采用四步多重顶空提取技术[28]制备标准蒸气。两种技术应用的静态顶空条件相同,但在恒温温度、磁控和提取次数方面存在差异。在30 min的平衡时间内,装有样品的容器会自动加热到预设的恒温温度,静态顶空单次提取技术为40,60,80,90 ℃,多重顶空提取技术为140 ℃。静态顶空单次提取技术以1 200 r/min的转速进行磁导向提取,多重顶空提取技术不进行磁导向提取。顶空压力读数稳定后,即达到热力学平衡,使用载气将容器加压至200 kPa,低于进样器的入口压力。然后打开排气阀,在大气压下填充1 mL样品回路,将压力阀和排气阀关闭3 min,使样品回路达到平衡。最后,使用载气将样品注入气相色谱仪,整个系统排气至大气压。至此,单次提取过程结束。多重顶空提取时,再次关闭排气阀,使容器在相同的顶空条件下再次重新平衡,即开始新的提取过程,重复操作4次。
图1 基于压力/回路系统的半自动顶空采样系统示意图

1.4 气相色谱法

根据样品类型,将不同体积的样品注入气相色谱仪进样口。对于液体样品,通过配有10 µL注射器的Agilent 7683B系列自动进样器,将0.2 µL样品直接注入气相色谱仪进样口,且事先无需稀释。对于所有轻烃组分峰面积相对标准偏差小于1%的液体样品,按以上操作流程进样3次。对于所有轻烃组分峰面积相对标准偏差小于5%的气体样品,使用半自动顶空采样系统将1 mL气体样品注入气相色谱仪入口,进样两次。气体和液体进样采用相同的气相色谱分析条件。使用配备分流/不分流进样器、1 mL衬管、HP-PONA熔融石英毛细管(50 m×0.20 mm×0.50 µm)和火焰离子化检测器的Hewlett-Packard 6890系列气相色谱仪进行气相色谱分析。进样器和检测器的温度均设置为300 ℃。使用氦气作为载气,流量为1.0 mL/min,流速为25 cm/s。入口压力在35 ℃时为219 kPa,在300 ℃时为420 kPa。液体和气体样品的分流比均为50∶1,样品传输时间为2 min。烘箱温度最初设置为35 ℃,保持5 min,然后以3.5 ℃/min的速率升温至70 ℃,再以4.5 ℃/min的速率升温至160 ℃,最后以50 ℃/min的速率升温至300 ℃,气体样品保持5 min,液体样品保持10 min。火焰离子化检测器空气流量设定为300 mL/min,氢气流量设定为40 mL/min。
使用ASTM-D5134标准中的KOVATS保留指数对nC5—nC8组分进行了鉴定,鉴定结果与已发表文献中的数据[29]吻合,文中不再详述。
利用预制的标准溶液ESTD2-L1—ESTD2-L10,结合液体样品的峰面积之和,对轻烃组分nC5—nC8进行定量分析。为液体样品的每个轻烃组分建立多重顶空校准曲线。顶空定量分析时,基于表1所示的6种不同标准蒸气,使用四步多重顶空提取技术在140 ℃条件下进行校准。利用McAuliffe[30]和Suzuki等[31]最初提出且后期由Kolb和Ettre[28]验证的数学模型计算峰面积之和(对应各组分的总量):
$\sum\limits_{i=1}^{\infty }{{{A}_{i}}}=\frac{A_{1}^{*}}{1-{{\text{e}}^{-q}}}=\frac{A_{1}^{*}}{1-Q}$
(1)式中,q是lnAii-1关系曲线的斜率, $A_{1}^{*}$是lnAii-1关系曲线的截距,Q=e-q。lnAii-1关系曲线即为多重顶空校准曲线。
计算体积校正系数[26]并应用其校正多重顶空提取获得的峰面积之和,并将校正后的峰面积之和用于定量分析。本文计算的体积校正系数为1.960 21。为每个主要轻烃组分(nC5、nC6、Benz、CH、nC7、MCH、TOL、nC8)建立多重顶空校准曲线。
对于异构体的校准,计算了两个响应因子(F1F2),F1为MCH峰面积与nC7峰面积的比值,F2为TMP峰面积与nC8峰面积的比值。利用F1F2,即可基于具有相同碳数的正构烷烃的校准曲线估算支链环烷烃或支链烷烃的含量。本文计算的F1为1.034 1,F2为0.951 336。

1.5 分配系数确定方法

分配系数是静态顶空理论中的一个基本参数。它描述了在热力学平衡条件下挥发性化合物在气相和液相中的分布。本文使用两种方法确定分配系数,即直接定量法和气液相平衡法。

1.5.1 直接定量法

该方法基于Rohrschneider方法[32],使用下式计算分配系数:
${{K}_{j}}=\frac{1}{{{V}_{\text{l}}}}\left( \frac{{{m}_{\text{0,}j}}}{{{C}_{\text{g,}j}}}-{{V}_{\text{g}}} \right)$
实际操作中,使用真实原油样品COL1作为计算过程的参考标准。由于钻井液中的原油注入量已知,可以计算出COL1中每个轻烃组分的初始质量(m0,j)。然后,分别使用柴油基钻井液和低毒性合成油基钻井液制备两种钻井液背景样品,其相比值与钻井液溶液样品相同。再将体积分数为1%的COL1原油分别注入柴油基钻井液和低毒性合成油基钻井液,得到两种钻井液溶液样品。两种钻井液溶液样品都在80 ℃下采用相同的顶空提取条件和气相色谱分析条件进行热力学平衡。达到热力学平衡后,用钻井液溶液样品某一组分的峰面积减去钻井液背景样品该组分的峰面积,即可进一步计算得到该组分的质量浓度(Cg,j)。由于容器体积已知,即可根据(2)式计算分配系数。

1.5.2 气液相平衡法

气液相平衡法使用相同的顶空采样技术,因此可以用来计算分配系数。Jalbert等[27]对比分析了3种气液相平衡法,发现气相校准法在测量油中溶解气的分配系数时总体精度和准确度最高。因此,本文选用气相校准法。Kolb等[26]的研究指出,对于在特定溶剂中具有高溶解度的分析物(如油基钻井液中的轻烃组分),其分配系数可根据下式计算:
${{K}_{j}}=\frac{{{V}_{\text{t}}}{{A}_{\text{c,}j}}r-{{A}_{\text{s,}j}}{{V}_{\text{g}}}}{{{A}_{\text{s,}j}}{{V}_{\text{l}}}}$
其中 $r=\frac{{{V}_{\text{s}}}}{{{V}_{\text{c}}}}$
实验过程中,对气相校准法进行了两次修正,以确保结果的准确性。第1次修正与校准瓶制备有关。由于标准溶液的蒸气压超过了饱和蒸气压,且轻烃组分不可能完全蒸发,因此在制备校准瓶时使用了多重顶空提取技术,而非全气化技术。第2次修正与样品瓶实验和计算有关。在计算分配系数时,不直接使用钻井液溶液样品的峰面积,而是达到热力学平衡后用钻井液溶液样品组分j的峰面积(Ag,j)减去钻井液背景样品中该组分的峰面积(Am,j),则(3)式变为:
${{K}_{j}}=\frac{{{V}_{\text{t}}}{{A}_{\text{c,}j}}r-\left( {{A}_{\text{g,}j}}-{{A}_{\text{m,}j}} \right){{V}_{\text{g}}}}{\left( {{A}_{\text{g,}j}}-{{A}_{\text{m}}}_{\text{,}j} \right){{V}_{\text{l}}}}$
在应用修正气相校准法时,按照以下流程分别制备两种试剂瓶。
①样品瓶。针对每种钻井液,制备钻井液背景样品和钻井液溶液样品。制备钻井液溶液样品时,注入体积分数为1%的标准溶液ESTD1。两种钻井液样品在不同温度(40,60,80,90 ℃)下达到平衡。在每个温度条件下,使用两个样品瓶,分别装钻井液背景样品和钻井液溶液样品。在分析结束时,对于每个温度,获得了每个轻烃组分j的两个峰面积,即钻井液溶液样品峰面积(Ag,j)和钻井液背景样品峰面积(Am,j)。
②校准瓶。将60 µL标准溶液ESTD1加入93 mL的空瓶中,在140 ℃下使用四步多重顶空提取技术提取顶空气体。根据(1)式计算每个轻烃组分j的峰面积之和,即得到Ac,j

2 结果与讨论

2.1 油基钻井液-空气体系中nC5—nC8组分的分配系数

在确定分配系数之前,首先按照前文的样品制备流程,将体积分数为1%的标准溶液ESTD1与柴油基钻井液混合,制成5个钻井液溶液样品,然后利用这5个钻井液溶液样品检验半自动顶空采样系统的可重复性。根据重复性测试结果,除nC5峰面积的相对标准偏差为6.5%外,其余8种组分峰面积的相对标准偏差均小于3.0%,平均为2.28%。本文规定所有轻烃组分重复测试的相对标准偏差必须不超过10%才能视为结果合格,因此半自动顶空采样系统的可重复性合格。
气相校准法校准瓶阶段每个提取步骤的峰面积计算结果如表3所示,对应的lnAii-1关系曲线的线性回归分析结果如图2所示。可以看出,各组分的lnAii-1线性相关性较好(0.970<R2<0.999)。因此,根据斜率和截距可以确定q$A_{1}^{*}$,然后根据(1)式求得Ac,j,对应于样品中组分j的总量。此外,根据q可以求得Q,而1-Q即为提取效率。由表3可知,各组分的4次连续提取的平均提取效率在65%~75%。这意味着每次提取后,各组分仍有25%~35%处于液相。这种部分蒸发现象可以通过轻烃组分在气相中的部分冷凝原理来解释[26]。因此,对于多组分混合物,在气相校准法的校准瓶阶段或制备标准蒸气时应该使用多重顶空提取技术,而非全气化技术。
表3 140 ℃下93 mL容器中60 µL标准溶液ESTD1多重顶空提取测量和分析结果
组分 ESTD1中某组分的
含量/(mg·L-1)
顶空气体中某组分的
含量/(µg·L-1)
保留时间/
min
不同提取步骤的峰面积 q $A_{1}^{*}$ Q 提取效率
(1-Q)/%
R2 Ac
1 2 3 4
nC5 278.22 187.57 5.17 47.65 8.46 2.68 0.93 -1.30 39.30 0.27 72.61 0.985 3 54.12
nC6 293.33 195.81 8.04 58.60 7.48 2.39 0.85 -1.39 43.58 0.25 74.96 0.970 2 58.13
Benz 390.67 260.78 10.26 101.35 25.02 8.82 3.40 -1.12 89.47 0.33 67.47 0.991 7 132.62
CH 346.67 231.41 10.72 77.60 11.93 3.90 1.40 -1.32 60.73 0.27 73.19 0.977 2 82.98
TMP 307.56 205.31 12.34 70.11 11.53 3.79 1.36 -1.29 55.95 0.27 72.57 0.980 0 77.10
nC7 302.22 201.74 12.93 68.50 11.55 3.84 1.42 -1.27 54.73 0.28 72.02 0.979 5 75.99
MCH 342.22 228.45 14.09 81.32 15.47 5.23 1.95 -1.23 67.15 0.29 70.72 0.983 9 94.95
TOL 384.44 256.63 16.09 101.06 39.53 15.42 6.29 -0.93 100.24 0.40 60.43 0.999 9 165.87
nC8 312.44 208.57 18.83 74.88 17.93 6.44 2.50 -1.12 65.26 0.33 67.43 0.989 9 96.79
图2 气相校准法校准瓶阶段主要轻烃组分多重顶空提取线性回归
在气相校准法的样品瓶阶段,不同恒温温度(40,60,80,90 ℃)和钻井液类型(柴油基钻井液和低毒性合成油基钻井液)下(4)式中各参数的测量结果如表4表5所示,根据(4)式计算的分配系数如表6所示。各温度条件下,柴油基钻井液各轻烃组分峰面积的相对标准偏差为0.5%~8.0%,低毒性合成油基钻井液各轻烃组分峰面积的相对标准偏差为0.25%~10.0%。这些相对标准偏差都满足样品提取装置的重复性要求。使用(4)式计算的两种钻井液体系各轻烃组分的分配系数均较高(远大于1),尤其是在低温条件下。这主要与不同轻烃组分(溶质)在油基钻井液(有机溶剂)中的溶解度有关。
表4 气相校准法中各类体积参数的测量结果
钻井液
类型
温度/
Vt/
mL
Vg/
mL
Vl/
mL
Vs/
µL
Vc/
µL
r
柴油基
钻井液
40 91.87 46.863 45.003 449.56 60 7.493
60 93.41 47.640 45.776 457.76 60 7.629
80 91.53 46.700 44.836 448.00 60 7.467
90 92.47 47.170 45.306 453.00 60 7.550
低毒性
合成油基
钻井液
40 91.87 46.863 45.003 449.56 60 7.493
60 93.00 47.430 45.570 455.70 60 7.595
80 91.94 46.897 45.038 449.00 60 7.483
90 94.36 48.110 46.249 462.00 60 7.700
表5 气相校准法中各类峰面积的测量结果
组分 Am(柴油基钻井液) Am(低毒性合成油基钻井液) Ag(柴油基钻井液)
40 ℃ 60 ℃ 80 ℃ 90 ℃ 40 ℃ 60 ℃ 80 ℃ 90 ℃ 40 ℃ 60 ℃ 80 ℃ 90 ℃
nC5 0.181 0.304 13.738 23.072 42.835 58.402 1.403 1.956 13.738 23.072 42.835 58.402
nC6 0.829 1.581 6.119 11.673 25.117 35.378 1.351 1.908 6.119 11.673 25.117 35.378
Benz 0.123 0.239 5.305 10.260 23.678 33.155 21.669 27.320 5.305 10.260 23.678 33.155
CH 1.683 3.266 4.618 8.963 19.403 27.216 0.529 0.723 4.618 8.963 19.403 27.216
TMP 0.265 0.502 2.623 4.978 11.852 16.511 0.520 0.697 2.623 4.978 11.852 16.511
nC7 2.354 5.115 3.478 7.557 18.844 26.680 1.633 2.207 3.478 7.557 18.844 26.680
MCH 2.820 5.618 4.031 8.030 19.602 26.999 1.487 1.960 4.031 8.030 19.602 26.999
TOL 0.716 1.902 1.679 4.460 13.373 17.868 0.958 1.278 1.679 4.460 13.373 17.868
nC8 4.355 10.290 4.668 11.028 30.915 40.789 1.842 2.415 4.668 11.028 30.915 40.789
nC5 16.611 23.933 39.034 54.422 13.556 22.768 42.271 57.632 16.014 23.073 37.631 52.467
nC6 6.304 11.391 22.252 31.440 5.290 10.091 21.714 30.585 5.921 10.700 20.901 29.532
Benz 9.569 29.081 47.416 59.780 5.182 10.021 23.127 32.383 5.196 15.791 25.746 32.460
CH 4.626 8.779 17.568 23.997 2.935 5.697 12.333 17.299 4.487 8.515 17.039 23.275
TMP 2.632 5.448 11.507 15.423 2.358 4.476 10.655 14.844 2.513 5.202 10.986 14.726
nC7 2.065 5.033 11.273 15.236 1.124 2.441 6.088 8.619 1.765 4.304 9.640 13.029
MCH 2.368 5.034 10.640 14.018 1.211 2.412 5.887 8.109 2.037 4.330 9.153 12.058
TOL 0.911 3.130 7.707 10.284 0.963 2.558 7.669 10.248 0.798 2.741 6.750 9.007
nC8 0.631 1.942 5.025 6.586 0.312 0.738 2.069 2.729 0.400 1.230 3.183 4.172
表6 气相校准法分配系数的计算结果
组分 柴油基钻井液-空气体系分配系数 低毒性合成油基钻井液-空气体系分配系数
40 ℃ 60 ℃ 80 ℃ 90 ℃ 40 ℃ 60 ℃ 80 ℃ 90 ℃
nC5 60.025 35.968 18.475 13.430 50.652 35.318 20.930 15.166
nC6 167.054 88.642 39.766 28.248 149.130 83.171 41.447 29.885
Benz 390.397 204.983 86.363 62.064 389.344 129.131 77.645 63.142
CH 431.362 225.703 101.512 72.873 281.817 150.002 73.351 54.967
TMP 498.966 267.117 109.245 78.990 468.200 228.687 106.159 81.209
nC7 1 033.444 483.558 189.219 134.812 657.303 272.623 119.378 90.584
MCH 1 198.617 611.899 244.793 179.393 711.883 338.831 157.433 122.663
TOL 2 633.512 1 008.526 328.624 248.386 3 179.988 936.942 374.368 288.285
nC8 4 738.876 2 040.979 712.151 545.420 3 702.688 1 218.460 463.519 363.474
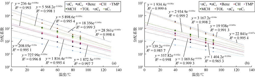
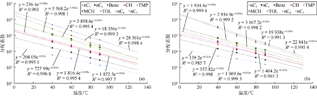
从柴油基钻井液-空气体系和低毒性合成油基钻井液-空气体系各轻烃组分分配系数与恒温温度的关系曲线(见图3)可知,各轻烃组分的分配系数均随着恒温温度的升高呈指数下降,对于大多数轻烃组分,恒温温度每升高20 ℃,分配系数下降近50%。根据道尔顿定律、拉乌尔定律和亨利定律[26],认为分配系数的这种指数效应与恒温温度升高引起的蒸气压指数增加有关,特别是对于同类型的烃[33]。由于分配系数与分析物蒸气压的倒数和活度系数成正比,蒸气压指数增加时,分配系数指数减小,则气相中分析物的浓度(或称顶空灵敏度)将增加。Kolb和Ettre[26]研究指出,顶空灵敏度取决于分配系数与相比值的相对值:如果分配系数远大于相比值(如柴油基钻井液/低毒性合成油基钻井液-空气体系),则温度对顶空灵敏度的影响很大,而相比值的影响很小或没有影响。因此,分配系数计算结果及其随恒温温度的升高呈指数下降的现象完全符合气液平衡物理化学关系的基本理论。这些结果也决定了优化柴油基钻井液/低毒性合成油基钻井液-空气体系顶空提取方法的最有效策略。
图3 不同温度下柴油基钻井液-空气体系(a)和低毒性合成油基钻井液-空气体系(b)主要轻烃组分分配系数与恒温温度的关系曲线
两种钻井液体系9种主要轻烃组分分配系数与恒温温度之间的相关性方程如表7所示。这些方程显示了分配系数和恒温温度之间的指数关系。对于柴油基钻井液-空气体系的轻烃组分,这种指数关系的相关系数(R2)为0.993~0.998,而对于低毒性合成油基钻井液-空气体系,相关系数为0.952~0.999。当钻井现场没有可用的特定钻井液类型分配系数数据时,可以利用这些方程进行预测。然而,应尽可能采用气相校准法或直接定量法确定分配系数。
表7 与恒温温度和钻井液类型有关的分配系数预测方程
组分 柴油基钻井液-空气体系 低毒性合成油基钻井液-空气体系
方程 R2 方程 R2
nC5 K=208.05 e-0.030T 0.996 3 K=139.20 e-0.024T 0.987 2
nC6 K=727.99 e-0.036T 0.997 5 K=557.82 e-0.032T 0.998 5
Benz K=1 816.4 e-0.038T 0.996 1 K=1 404.2 e-0.036T 0.952 4
CH K=1 872.5 e-0.036T 0.998 0 K=1 069.6 e-0.033T 0.999 0
TMP K=2 364.0 e-0.038T 0.994 3 K=1 934.4 e-0.036T 0.997 8
nC7 K=5 568.2 e-0.042T 0.997 4 K=3 167.2 e-0.040T 0.995 5
MCH K=5 898.6 e-0.039T 0.995 2 K=2 934.9 e-0.036T 0.996 7
TOL K=18 356 e-0.049T 0.993 5 K=19 938 e-0.049T 0.983 5
nC8 K=28 561 e-0.045T 0.993 5 K=22 841 e-0.047T 0.988 0
表8为恒温温度80 ℃条件下两种钻井液体系9种主要轻烃组分分配系数直接定量法的计算参数和计算结果及其与气相校准法计算结果的对比。对于两种钻井液体系,大多数组分两种方法计算结果相近。除了nC5的相对标准偏差超过30%,其他组分的相对标准偏差均小于10%,属于可接受范围。nC5两种方法的分配系数计算结果差异较大,主要与气相校准法中标准溶液ESTD1制备和注入时的实验误差有关。nC5在室温下具有高挥发性,这增加了气相校准法nC5计算结果的不确定性。而在直接定量法中,脱气原油样品含有低浓度的nC5,由于原油中不同烃类化合物之间的分子间相互作用力较大,nC5在液相中保持相对稳定。因此,使用直接定量法计算的nC5分配系数更准确。
表8 恒温温度80 ℃下气相校准法与直接定量法分配系数计算结果对比
组分 柴油基钻井液-空气体系 低毒性合成油基钻井液-空气体系
Cg/
(mg·L-1)
mg/µg m0/µg KQ KVPC 相对标准
偏差/%
Cg/
(mg·L-1)
mg/µg m0/µg KQ KVPC 相对标准
偏差/%
nC5 3.95 190.17 2 061.99 10.24 18.48 31.52 4.87 231.09 2 028.59 8.10 20.93 43.36
nC6 0.93 44.57 1 602.05 36.36 39.77 6.06 0.90 42.53 1 576.10 37.53 41.45 6.69
Benz 0.06 2.70 239.76 91.21 86.36 3.97 0.07 3.51 235.88 68.89 77.64 7.97
CH 0.17 8.28 870.90 108.32 101.51 4.74 0.23 10.98 856.79 80.20 73.35 6.60
nC7 0.23 10.92 2 199.69 208.52 189.22 7.21 0.35 16.71 2 164.06 133.78 119.38 8.53
MCH 0.24 11.49 2 997.57 270.45 244.79 7.41 0.37 17.41 2 949.01 175.28 157.43 8.02
TOL 0.06 2.97 858.07 299.38 328.62 6.29 0.05 2.55 844.17 343.26 374.37 5.88
nC8 0.06 2.93 1786.51 633.14 712.15 7.84 0.08 3.87 1 757.57 471.77 463.52 1.26
实验温度由60 ℃提高到80 ℃时,C7—C8峰面积增加明显(200%~300%),而温度由80 ℃提高到90 ℃,峰面积增加不明显,仅为30%~40%,因而,取80 ℃为最佳提取温度。鉴于上述分析,本文采用直接定量法确定最佳提取温度80 ℃下柴油基钻井液-空气体系和低毒性合成油基钻井液-空气体系中nC5—nC8范围内其他38种轻烃组分的分配系数。
采用直接进样-气相色谱法测定COL1原油nC5—nC8组分,气相色谱图如图4所示。首先,利用多重顶空校准曲线获得COL1原油nC5—nC8组分初始质量浓度(C0,j),如表9所示。然后,结合注入钻井液溶液样品中的COL1原油的实际体积(约455 µL),即可确定各组分的初始质量(m0,j)。最后,在80 ℃热力学平衡条件下对顶空中所有轻烃组分的质量浓度(Cg,j)进行定量计算后,使用(2)式计算各组分的分配系数,结果如表9所示。可以看出,分配系数与碳数之间存在明显的相关性。对于同一类型轻烃,分配系数随着碳数和沸点的增加而增加。沸点与相对分子质量有关,能够表征将轻烃分子从液相中分离出来所需的能量。这解释了轻烃类型相同时分配系数随着相对分子质量的增加而增加以及随着碳数的增加顶空灵敏度降低的原因。
图4 COL1原油样品中nC5—nC8组分的气相色谱

1—正戊烷;2—2,2-二甲基丁烷;3—环戊烷;4—2,3-二甲基丁烷;5—2-甲基戊烷;6—3-甲基戊烷;7—正己烷;8—2,2-二甲基戊烷;9—甲基环戊烷;10—2,4-二甲基戊烷;11—2,2,3-三甲基丁烷;12—苯;13—3,3-二甲基戊烷;14—环己烷;15—2-甲基己烷;16—2,3-二甲基戊烷;17—1,1-二甲基环戊烷;18—3-甲基己烷;19—顺式-1,3-二甲基环戊烷;20—反式-1,3-二甲基环戊烷;21—反式-1,2-二甲基环戊烷;22—正庚烷;23—甲基环己烷;24—2,2-二甲基己烷;25—乙基环戊烷;26—2,5-二甲基己烷+2,2,3-三甲基戊烷;27—顺式-1,反式-2,顺式-4-三甲基环丁烷;28—3,3-二甲基己烷;29—顺式-1,反式-2,顺式-3-三甲基环丁烷;30—2,3,4-三甲基戊烷;31—甲苯;32—1,1,2-三甲基环丁烷;33—2,3-甲基-乙基戊烷+2,3-二甲基己烷;34—2-甲基庚烷;35—4-甲基庚烷+3,3-甲基乙基戊烷+3,4-二甲基己烷;36—顺式-1,顺式-2,反式-4-三甲基环丁烷;37—顺式-1,3-二甲基环己烷;38—顺式-1,顺式-2,反式-3-三甲基环丁烷+3-甲基庚烷;39—3-乙基己烷;40—反式-1,4-二甲基环己烷;41—1,1-二甲基环己烷;42—反式-1,3-乙基-甲基环戊烷+2,2,5-三甲基己烷;43—顺式-1,3-乙基-甲基环戊烷;44—反式-1,2-乙基-甲基环戊烷;45—1,1-乙基-甲基环戊烷+2,2,4-三甲基己烷;46—反式-1,2-二甲基环己烷;47—正辛烷

表9 采用直接定量法得到的80 ℃下两种油基钻井液-空气体系nC5—nC8组分分配系数
组分
编号
轻烃
类型
沸点/
C0/
(mg·L-1)
KQ
柴油基钻井液-
空气体系
低毒性合成油基
钻井液-空气体系
1 P5 36.07 4 453.55 10.24 8.10
2 I6 49.73 26.74 32.65 29.88
3 N5 49.26 502.07 38.87 31.79
4 I6 57.98 173.19 32.83 28.33
5 I6 60.26 2 001.47 35.13 27.86
6 I6 63.27 1 211.54 50.06 37.28
7 P6 68.73 3 460.15 36.36 37.53
8 I7 79.19 43.47 128.29 109.91
9 N6 71.81 2 724.69 65.59 49.82
10 I7 80.49 154.74 128.18 108.41
11 I7 80.88 3.11 61.97 53.76
12 A6 80.09 517.84 91.21 68.89
13 I7 86.06 25.91 126.16 72.52
14 N6 80.72 1 880.99 108.32 80.20
15 I7 90.05 1 099.60 129.53 106.90
16 I7 91.31 412.38 162.48 103.27
17 N7 87.84 432.87 142.16 116.71
18 I7 91.84 1 261.37 128.08 115.40
19 N7 90.77 758.35 140.89 116.31
20 N7 91.72 822.61 146.93 120.55
21 N7 91.87 1 119.32 153.70 126.29
22 P7 98.43 4 750.95 208.52 133.78
23 N7 96.01 6 474.23 270.45 175.28
24 I8 106.84 482.07 380.61 307.50
25 N7 103.47 292.60 365.89 278.91
26 I8 109.11 196.25 376.56 295.40
27 N8 109.11 445.15 490.00 388.30
28 I8 112.70 33.01 128.51 334.77
29 N8 116.85 423.96 528.41 409.68
30 I8 113.50 50.27 413.15 349.32
31 A7 110.62 1 853.27 299.38 343.26
32 N8 113.75 149.67 518.56 388.66
33 I8 115.61 177.50 515.66 387.09
34 I8 116.80 1 482.88 382.48 279.12
35 I8 116.80 344.66 604.96 450.46
36 N8 116.85 86.70 534.88 389.64
37 N8 120.00 930.53 699.94 467.72
38 N8 118或120 85.96 539.85 389.27
39 N8 119.41 1 708.94 503.93 345.03
40 N8 121.52 717.46 783.81 603.82
41 N8 123.42 178.63 647.09 490.48
42 N8 123.00 72.19 494.67 439.17
43 N8 121.45 65.40 501.88 420.66
44 N8 123.47 145.48 678.11 442.70
45 N8 123.47 44.44 538.45 551.79
46 N8 122.45 879.05 765.32 718.33
47 P8 125.67 3 858.55 633.14 471.77

注:P5,P6,P7,P8—碳数为5,6,7,8的正构烷烃;I6,I7,I8—碳数为6,7,8的异构烷烃;N5,N6,N7,N8—碳数为5,6,7,8的环烷烃;A6,A7—碳数为6,7的芳香烃

表9还可以看出,与具有相同碳数的其他类型轻烃相比,芳香烃和环烷烃的分配系数较高。因此,可以推断芳香烃和环烷烃在油基钻井液中的溶解度较高。而异构烷烃的分配系数较低,最易蒸发或最易形成气相。针对C7异构体,Thompson[2]也得出了相同结论,且得到了Cañipa-Morales等[34]的证实。本文关于分配系数与烃类型关系的研究结果与前人研究和基本理论一致。
对于异构烷烃或环烷烃,增加甲基支链的数量会使其分配系数降低,提高它们在气相中的挥发性。例如,在低毒性合成油基钻井液-空气体系中,正庚烷(编号22)的分配系数为134,3-甲基己烷(编号18)的分配系数为115,2,2-二甲基戊烷(编号8)的分配系数为110,而2,2,3-三甲基丁烷(编号11)的分配系数为54(见表9)。这些结论与Cañipa-Morales等[34]对C7异构体的研究结论一致。化合物的支链越多,其形态越接近球形,因而表面积越小,分子间吸引力越小。因此,三支链异构体比双支链和单支链异构体更易蒸发。
综合上述分析,使用直接定量法计算的分配系数结果符合分子化学的基本理论。47种nC5—nC8组分的分配系数与其沸点、碳数、烃类型之间的关系具有一致性。通过与气相校准法计算结果的对比可以看出,直接定量法计算精度也在可接受范围内。表9所示的柴油基钻井液-空气体系和低毒性合成油基钻井液-空气体系nC5—nC8组分分配系数可用作钻井现场相似钻井液体系的分配系数估算。如果使用其他类型钻井液,为了确保结果的准确性,需要按照本文中方法确定特定钻井液体系的轻烃组分分配系数。分配系数有多种用途,特别是可在钻井期间使用钻井液气测数据进行地层流体评价。若钻井液体系分配系数已知,则可以实现井场随钻气测数据的校正。此外,使用基于分配系数的热力学方法代替通常用于钻井液气测数据定量校正的脱气装置提取效率系数[17-21],结果将更加直接、准确。根据Rohrschneider[32]以及Kolb和Ettre[26]的研究结果,基于(2)式,可以利用分配系数重构原始地层流体组分,如(5)式所示。在分离器条件下,重构的流体nC5—nC8组分与真实原油相当。这些发现可以为适用于原油的地球化学解释模型开辟新的应用领域。
${{m}_{\text{0,}j}}=\frac{\left( {{K}_{j}}+\beta \right){{m}_{\text{g,}j}}}{\beta }$

2.2 钻井液对地层流体和钻井液气测数据的影响

尽管分配系数应用效果较好,但钻井液对地层流体组分的影响尚不清楚。因此,首先分析了两种钻井液的油相组分。使用离心机以10 000 r/min的转速运转10 min,分别从柴油基钻井液和低毒性合成油基钻井液中提取油相。在前文所述的气相色谱分析条件下,将提取的油相直接注入气相色谱-火焰离子化检测器。两种油相的气相色谱如图5a和图5c所示,可以看出,这两种钻井液的油相主要由C9以上的烃类组成。柴油基钻井液油相富含nC12—nC23组分,而低毒性合成油基钻井液油相主要含nC11—nC14组分。两种钻井液油相中C5—C9组分的含量都比C11—C23组分低。两种钻井液中C11+的存在使油相具有较好的稳定性,从而使整个钻井液系统具有较好的稳定性。这主要是由于较高的沸点使C11—C23组分能够在地面和井下(高压高温)条件下保持液态。因此,用于油藏钻井作业的大多数油基钻井液具有类似的C11—C23组分。此外,在两种油基钻井液中,C5—C9组分含量较低,在钻遇含油气储集层时钻井液与油气间干扰较小。
图5 两种油基钻井液的烃组分分析
在80 ℃条件下使用静态顶空气相色谱法对两种钻井液的钻井液背景样品指纹图谱进行研究,提取和分析条件与前文相同。柴油基钻井液和低毒性合成油基钻井液的顶空钻井液指纹图谱分别如图5b和图5d所示。在热力学平衡条件下,顶空中的钻井液气相仅包含nC5—nC13组分。柴油基钻井液的nC9和nC10、低毒性合成油基钻井液的苯信号幅度最高。nC13+组分的沸点非常高,保留在液相中,在气相中未发现nC13+组分。
图6对比了恒温温度80 ℃下原油体积分数为1%的柴油基钻井液溶液样品与柴油基钻井液背景样品的静态顶空组成。可以清楚地看出,钻井液背景样品的C5—C8组分逐渐增加(见图6a),在nC9之后钻井液背景样品与钻井液溶液样品的静态顶空的烃峰逐渐重叠(见图6b)。对图6中各组分进行定量分析(见表10),发现在原油体积分数为1%时,对于最易挥发的组分(nC5—nC6),钻井液背景样品静态顶空中该组分的峰面积与钻井液溶液样品静态顶空中该组分的峰面积的重叠率(简称重叠率)低于1%,中间的C6—C7组分重叠率在2%~10%,从nC8的32%开始,重叠率呈指数增加,直到nC10的87%。此外,在原油体积分数较低(0.1%)时,重叠率较高,C9以上组分完全重叠,但C8以下组分重叠率仍低于10%。对于低毒性合成油基钻井液,也对比了恒温温度80 ℃下原油体积分数为1%的钻井液溶液样品与钻井液背景样品的静态顶空组成。结果显示,C5—C8组分的重叠率低于1%,nC9的重叠率为20%,nC10的重叠率为63%。
图6 恒温温度80 ℃下原油体积分数为1%的柴油基钻井液溶液样品与柴油基钻井液背景样品的静态顶空组成对比
表10 图6中各组分的定量分析统计
组分 钻井液背景样品静态
顶空中某组分的峰面积
钻井液溶液样品静态
顶空中某组分的峰面积
两个峰面积
重叠率/%
nC5 2.5 875.4 0.29
nC6 3.4 373.4 0.91
Benz 2.5 114.3 2.19
CH 2.1 45.5 4.62
nC7 7.7 151.1 5.10
MCH 8.7 164.0 5.30
TOL 4.7 50.5 9.31
nC8 21.0 64.7 32.46
nC9 48.4 63.0 76.83
nC10 57.4 65.7 87.37
定量分析结果表明:两种类型的油基钻井液都不会显著地污染顶空中的原油组分;对于同一轻烃组分,通过简单地从该组分的钻井液溶液样品峰面积中减去钻井液背景样品峰面积,可以从顶空流体组分中去除钻井液背景气,从而准确地预测真实的地层流体组分;低毒性合成油基钻井液对地层流体C5—C8组分的污染程度小于柴油基钻井液。
定性和定量研究表明,两种油基钻井液均不会污染地层流体的nC5—nC8组分。油基钻井液似乎起到了有机溶剂的作用,在室温条件下将烃组分保留在液相中。改善提取条件可以提高顶空灵敏度,从而使更多地层流体轻烃组分存在于气相中。在热力学平衡状态下,顶空中轻烃组分的变化反映了地层流体轻烃组分的变化。研究也证实,油基钻井液对钻井液气组分影响不大,增强了钻井液气测数据轻烃解释的可信度。

2.3 分配系数的应用

确定钻井液-空气体系中的轻烃组分分配系数后,可以在钻井过程中根据(5)式进行原始地层流体轻烃组分的重构。使用两种真实原油样品制备了两种柴油基钻井液溶液样品,两种原油分别为相对密度0.802的撒哈拉混合北非原油NA10和相对密度0.835的北海布伦特原油NS20。按照与COL1原油样品相同的顶空条件,在80 ℃下让两个钻井液溶液样品进行平衡。达到热力学平衡后,将顶空气体注入带有半自动顶空采样系统的气相色谱仪入口,气相色谱分析条件与前文相同。根据多级顶空校准曲线确定顶空中各轻烃组分质量浓度后,利用(5)式计算原油样品中各轻烃组分的初始质量。对比了顶空气体中各轻烃组分质量分数、重构出的原油样品中各轻烃组分质量分数以及真实原油样品中各轻烃组分的质量分数,如图7所示。可以看出,与真实原油样品相比,顶空中的nC7—nC8组分非常少。这可能与恒温温度和轻烃组分沸点之间的差值有关。该值为正,则轻烃组分更多地存在于顶空中;该值为负,则大部分轻烃组分仍处于液相中。因此,顶空中组分含量不仅取决于原始地层流体组分含量,还取决于提取条件,即恒温温度与轻烃组分沸点间差值。利用式(5)对顶空中组分含量进行热力学校正,重构出的原油轻质组分与真实原油轻烃组成非常接近,NA10和NS20原油样品重构组分与真实组分之间的匹配度分别为91.35%和88.76%。这证明了本文方法的有效性,也表明在钻井过程中需要采用热力学方法校正钻井液气测数据,从而确定地层流体轻烃组分的真实含量。
图7 重构的原油样品轻烃组分与钻井液溶液样品顶空中组分及真实原油样品中组分的对比(由于其计算结果不确定性高,图中不含编号为1的nC5组分)

3 结论

利用气相校准法和直接定量法可确定油基钻井液-空气体系nC5—nC8范围内9种主要轻烃组分的分配系数,其中直接定量法计算的nC5分配系数更准确,更适用于油基钻井液-空气体系nC5—nC8组分分配系数的计算。利用直接定量法计算了柴油基钻井液/低毒性合成油基钻井液-空气体系nC5—nC8范围内47种轻烃组分的分配系数。两种油基钻井液对地层流体顶空气体nC5—nC8组分影响很小。油基钻井液能对地层流体轻烃组分起到有机溶剂的作用。地层流体组分的变化会反映在顶空气体组成中。
基于油基钻井液-空气体系nC5—nC8范围内47种轻烃组分的分配系数,可以通过静态顶空分析重构原始地层流体组分。NA10和NS20原油样品重构组分与真实组分之间的匹配度分别为91%和89%。这些结果证实了地层流体组分和地面钻井液气体组分之间的相关性。这种相关性可以促进随钻钻井液气测数据在地层流体评价方面的应用。本文提出的地层流体组分重构方法为油气公司开展常规和非常规储集层地层流体实时评价提供了一种经济、高效的解决方案。
符号注释:
Ai——第i个提取步骤的峰面积; $A_{1}^{*}$——lnAii-1关系曲线的截距;Ac,j,As,j——校准瓶、样品瓶中组分j的峰面积;Ag,j——钻井液溶液样品中组分j的峰面积;Am,j——钻井液背景样品中组分j的峰面积;C0,j——直接定量法注入原油中组分j的初始质量浓度,mg/L;Cg,j——直接定量法中根据顶空校准曲线量化的气相中组分j的质量浓度,mg/L;F1,F2——响应因子;i——提取步骤序号;j——组分编号;Kj——组分j的分配系数,无因次;KQ,KVPC——由直接定量法、气相校准法确定的分配系数;m0,j——直接定量法由注入原油确定的组分j的初始质量,μg;mg,j——直接定量法气相中组分j的质量,μg;q——lnAii-1关系曲线的斜率;T——恒温温度,℃;Vc,Vs——校准瓶、样品瓶中分析物的体积,μL;Vg,Vl——气相、液相的体积,mL;Vt——空瓶的体积,mL;β——相比值,无因次。

致谢

感谢Frederic Lynen教授对本研究的大力支持。感谢肯特大学有机与高分子化学系分离科学组为本研究提供了所有实验材料、设备及标准。感谢Pieter Surmont先生为本研究实验过程提供的技术支持和建议,感谢Ons Masmoudi先生对本文英文的修改校正。

[1]
THOMPSON K F M. Light hydrocarbons in subsurface sediments[J]. Geochimica et Cosmochimica Acta, 1979, 43(5): 657-672.

DOI

[2]
THOMPSON K F M. Gas-condensate migration and oil fractionation in deltaic systems[J]. Marine and Petroleum Geology, 1988, 5(3): 237-246.

DOI

[3]
MANGO F D. The origin of light cycloalkanes in petroleum[J]. Geochimica et Cosmochimica Acta, 1990, 54(1): 23-27.

DOI

[4]
MANGO F D. The light hydrocarbons in petroleum: A critical review[J]. Organic Geochemistry, 1997, 26(7/8): 417-440.

DOI

[5]
MAGNIER C, TRINDADE L A F. Light hydrocarbon analyses in reservoir geochemistry[J]. Revista Latino Americana de Geoquímica Organica, 1999, 5(1): 25-37.

[6]
OBERMAJER M, OSADETZ K G, FOWLER M G, et al. Light hydrocarbon (gasoline range) parameter refinement of biomarker- based oil-oil correlation studies: An example from Williston Basin[J]. Organic Geochemistry, 2000, 31(10): 959-976.

DOI

[7]
WEVER H E. Petroleum and source rock characterization based on C7 star plot results: Examples from Egypt[J]. AAPG Bulletin, 2000, 84(7): 1041-1054.

[8]
JARVIE D M. Williston Basin petroleum systems: Inferences from oil geochemistry and geology[J]. The Mountain Geologist, 2001, 38(1): 19-41.

[9]
PIXLER B O. Formation evaluation by analysis of hydrocarbon ratios[J]. Journal of Petroleum Technology 1969, 21(6): 665-670.

DOI

[10]
HAWORTH J H, SELLENS M, WHITTAKER A. Interpretation of hydrocarbon shows using light (C1-C5) hydrocarbon gases from mud-log data[J]. AAPG Bulletin, 1985, 69(8): 1305-1310.

[11]
WHITTAKER A, SELLENS G. Normalization of gas shows improves evaluation[J]. Oil and Gas Journal, 1987, 85(16): 26-32.

[12]
MITCHELL A, BARRAUD B, BEDA G, et al. Gas while drilling (GWD): A real time geologic and reservoir interpretation tool[R]. SPWLA 1999-D, 1999.

[13]
DADI K, AHMADI R, OUALI J A. The use of gas data while drilling for the assessment of organic matter in Ghadames Basin (North Africa)[J]. Arabian Journal of Geosciences, 2021, 14(21): 2232.

DOI

[14]
MILKOV A V, ETIOPE G. Revised genetic diagrams for natural gases based on a global dataset of >20,000 samples[J]. Organic Geochemistry, 2018, 125: 109-120.

DOI

[15]
BAKLOUTI S, AHMADI R, BOUGI M S M, et al. Surface geochemical prospection for hydrocarbons in the oriental platform: The case of Guebiba oilfield, Sfax region, Tunisia[J]. Journal of Petroleum Science and Engineering, 2017, 159: 830-840.

DOI

[16]
MILKOV A V. Reporting the expected exploration outcome: When, why and how the probability of geological success and success-case volumes for the well differ from those for the prospect[J]. Journal of Petroleum Science and Engineering, 2021, 204: 108754.

DOI

[17]
LESSI J. Method for determining the content of a plurality of compounds contained in a drilling fluid: US 2011/0303463 A1[P]. 2011-12-15.

[18]
GUERRIERO N, LESSI J. Method of calibration intended to be used in a process of determining the content of a plurality of compounds contained in a drilling fluid: US 2014/0067307 A1[P]. 2014-03-06.

[19]
PICKELL M D, LAW D, BRUMBOIU A, et al. Gas extraction calibration system and methods: US 2017/0268333[P]. 2017-09-21.

[20]
COLOMBEL E, GUERRIERO N, RINGER M. Real-time quantitative composition of formation fluids while drilling[R]. SPE 189688-MS, 2018.

[21]
MARUM D M, AFONSO M D, OCHOA B B. Optimization of the gas-extraction process in a new mud-logging system[J]. SPE Drilling & Completion, 2020, 35(1): 1-13.

[22]
DONINELLI D, RIZZOLA J, GRONCHI P, et al. Advances in the hydrocarbon gas-liquid equilibrium understanding in water and oil-based drilling fluids[R]. OMC 2015-262, 2015.

[23]
ROWE M, MUIRHEAD D. Dynamic and static extraction efficiency[R]. SPE 188067-MS, 2017.

[24]
GUO B Y, GHALAMBOR A. Natural gas engineering handbook[M]. 2nd ed. Houston: Gulf Publishing Company, 2012.

[25]
SOAVE G. Equilibrium constants from a modified Redlich-Kwong equation of state[J]. Chemical Engineering Science, 1972, 27(6): 1197-1203.

DOI

[26]
KOLB B, ETTRE L S. Static headspace-gas chromatography: Theory and practice[M]. 2nd ed. Hoboken: John Wiley & Sons, Inc., 2006.

[27]
JALBERT J, GILBERT R, EL KHAKANI M A. Comparative study of vapor-liquid phase equilibrium methods to measure partitioning coefficients of dissolved gases in hydrocarbon oils[J]. Chromatographia, 2002, 56(9): 623-630.

DOI

[28]
KOLB B, ETTRE L S. Theory and practice of multiple headspace extraction[J]. Chromatographia, 1991, 32(11): 505-513.

DOI

[29]
SONG D F, WANG T G, DENG W L, et al. Application of light hydrocarbons (C5-C7) in Paleozoic marine petroleum of the Tarim Basin, NW China[J]. Journal of Petroleum Science and Engineering, 2016, 140: 57-63.

DOI

[30]
MCAULIFFE C. Gas chromatographic determination of solutes by multiple phase equilibrium[J]. Chemical Technology, 1971, 1: 46-51.

[31]
SUZUKI M, TSUGE S, TAKEUCHI T. Gas chromatographic estimation of occluded solvents in adhesive tape by periodic introduction method[J]. Analytical Chemistry, 1970, 42(14): 1705-1708.

DOI

[32]
ROHRSCHNEIDER L. Solvent characterization by gas-liquid partition coefficients of selected solutes[J]. Analytical Chemistry, 1973, 45(7): 1241-1247.

DOI

[33]
HERINGTON E F. Vapour phase chromatography[R]. London: 1956 London Symposium, 1956.

[34]
CAÑIPA-MORALES N K, GALÁN-VIDAL C A, GUZMÁN-VEGA M A, et al. Effect of evaporation on C7 light hydrocarbon parameters[J]. Organic Geochemistry, 2003, 34(6): 813-826.

DOI

文章导航

/